LLM을 활용한 노트로, 잘못된 정보가 있을 수 있습니다.
2024 3회
22. 모선 보호에 사용되는 계전방식이 아닌 것은?
① 위상 비교방식 ② 선택접지 계전방식 ③ 방향거리 계전방식 ④ 전류차동 보호방식
발.변전소 모선 보호 방식
- 전류차동 계전방식: 각 모선에 접속된 CT의 2차 회로를 차동접속시켜 과전류계전기로 고장 검출
- 전압차동 계전방식: 각 모선에 접속된 CT의 2차 회로를 차동접속시켜 전압계전기로 고장 검출
- 위상 비교 방식: 각 모선에 접속된 회선의 전류위를 비교하여 모선 내 고장인지 외부 고장인지 판별
- 방향 비교 방식: 각 모선에 접속된 회선에 전력방향계전기(또는 거리방향계전기)를 설치하여 모선 내 고장인지 외부 고장인지 판별
26. 파동임피던스가 300[Ω]인 가공송전선 1[km]당의 인덕 턴스는 몇 [mH/km]인가? (단, 저항과 누설 콘덕턴스는 무시한다.)
원래 공식은 Z = 루트(L/C)
커패시턴스가 주어지지 않았으므로 알아내야하는데, 저항과 누설 콘덕턴스를 무시하면 전파 속도는 광속과 유사하여
전파속도 v = 3 * 10^8임. v = 1 / 루트(LC)이므로, C = 1/ v^2L 임
따라서 원래 공식에 넣으면 Z = vL = 3*10^8 * L = 300 이므로 L은 1 mh/Km
28. 전력선과 통신선 사이에 그림과 같이 차폐선을 설치 하며, 각 선사이의 상호임피던스를 각각 Z12, Z1s, Z2s라 하고 차폐선 자기임피던스를 Zs라 할 때 저감계수를 나타낸 식은?
1 - ((Z1s * Z2s) / (Zs * Z12))
31. 그림과 같은 배전선이 있다. 급전점 O점의 전압을 110[V]라 하면 C점의 전압은? (단, 선로 OA, AB, BC간 의 저항은 각각 0.2[Ω]이며, 부하역률은 100[%]이다.)
① 92[V] ② 97[V] ③ 99[V] ④ 104[V]

OA = 5 + 15+ 10 = 30AB = 15 + 10 = 25BC = 10 = 10
각각 저항 곱해주고, 전압에 뺴주면 97
33. 교류송전방식과 비교하여 직류송전방식의 설명이 아 닌 것은?
① 전압변동률이 양호하고 무효전력에 기인하는 전력손실 이 생기지 않는다.
② 안정도의 한계가 없으므로 송전용량을 높일 수 있다.
③ 전력변환기에서 고조파가 발생한다.
④ 고전압, 대전류의 차단이 용이하다.
① 전압변동률이 양호하고 무효전력에 기인하는 전력손실이 생기지 않는다.
- 맞는 설명입니다.
- 직류송전(HVDC)은 무효전력 개념이 없고, 전압변동률이 양호하여 전력손실이 적습니다.
② 안정도의 한계가 없으므로 송전용량을 높일 수 있다.
- 맞는 설명입니다.
- 교류 송전은 안정도 문제가 존재하지만, 직류 송전은 안정도 문제에서 자유롭고 장거리 송전이 유리합니다.
③ 전력변환기에서 고조파가 발생한다.
- 맞는 설명입니다.
- 직류송전 시스템은 교류-직류 변환 과정에서 고조파(harmonics)가 발생하며, 이를 억제하기 위해 필터가 필요합니다.
④ 고전압, 대전류의 차단이 용이하다.
- 틀린 설명입니다.
- 직류는 영전압(0V) 상태가 없기 때문에 차단기가 작동하기 어려우며, 교류보다 차단이 더 어렵습니다.
- 교류는 한 주기 동안 전압이 0이 되는 순간이 있어서 차단이 비교적 쉽지만, 직류는 지속적으로 전류가 흐르기 때문에 차단이 어렵고, 특수한 DC 차단기가 필요합니다.
36. 피뢰기의 구조는 다음 중 어느 것인가?
① 특성요소와 직렬갭 → 정답
- 피뢰기의 전형적인 구조입니다.
- 직렬갭: 평소에는 절연 상태를 유지하다가 이상 전압이 발생하면 절연을 파괴하여 전류를 흐르게 함.
- 특성요소(Varistor 등): 이상 전압을 흡수하고 대지로 방전 후, 정상 전압이 되면 절연 회복.
40. 출력 2,000[kW]의 수력발전소를 설치하는 경우 유효 낙차를 15[m]라고 하면 사용수량은 몇 [m/s]가 되는가? (단, 수차효율 86[%], 발전기 효율 96[%]이다.)
출력 = 9.8 * 낙차 * 수량 * 수차효율 * 발전기 효율
P = 9.8*H*Q*ng * nt
2022년 4회
24. 조상설비에 대한 설명
① 송·수전단 전압을 일정하게 유지하도록 조정하는 설비 이다.
② 역률을 개선하여 전력손실을 경감시키는 설비이다.
③ 이상전압으로부터 선로 및 기기를 보호하는 설비이다.
④ 전력계통의 안정도를 향상시킨다.
26. 원자로의 냉각재가 갖추어야 할 조건이 아닌 것은?
① 열용량이 적을 것
② 중성자의 흡수가 적을 것
③ 열전도율 및 열전달계수가 클 것
④ 방사능을 띠기 어려울 것
원자로의 냉각재는 반응로에서 발생하는 열을 효과적으로 흡수하고 전달하는 역할을 합니다. 따라서 냉각재가 갖추어야 할 조건은 다음과 같습니다.
- 열용량이 클 것 → 냉각재는 많은 열을 저장할 수 있어야 하므로 열용량이 커야 합니다.
- 중성자의 흡수가 적을 것 → 중성자를 많이 흡수하면 연쇄반응에 방해가 되므로, 냉각재는 중성자 흡수를 최소화해야 합니다.
- 열전도율 및 열전달계수가 클 것 → 열을 효과적으로 전달해야 하므로, 열전도율과 열전달계수가 커야 합니다.
- 방사능을 띠기 어려울 것 → 냉각재가 방사능을 띠면 유지보수와 안전성에 문제가 생기므로 방사능을 띠기 어려운 것이 좋습니다.
35. 전압 66,000[V], 주파수 60[Hz], 길이 15[km], 심선 1선당 작용정전용량 0.3587[F/km]인 한 선당 지중전선 로의 3상 무부하 충전전류는 약 몇 [A]인가? (단, 정전용 량 이외의 선로정수는 무시한다.)

37. 3상용 차단기의 용량은 그 차단기의 정격전압과 정격차단 전류와의 곱을 몇 배 한 것인가? => 루트3
40. 송전선에 코로나가 발생하면 전선이 부식된다. 다음의 무엇에 의하여 부식되는가? => 오존
2022.04.24
21. 직접접지방식에 대한 설명으로 틀린 것은?
① 1선 지락 사고시 건전상의 대지 전압이 거의 상승하지 않는다.
② 계통의 절연수준이 낮아지므로 경제적이다.
③ 변압기의 단절연이 가능하다.
④ 보호계전기가 신속히 동작하므로 과도안정도가 좋다.
직접접지방식은 전기 시스템에서 문제가 생겼을 때, 땅(대지)으로 전기를 쉽게 흘려보내는 방식입니다. **"직접접지방식"**은 말 그대로 전기 시스템이 문제가 생겼을 때, 전선을 땅(대지)에 바로 연결해서 전류를 흘려보내는 방식이기 때문에 **"직접"**이 붙은 거예요. 반대로 **"간접접지방식"**도 있는데, 이건 전류가 바로 땅으로 가지 않고, 저항이나 다른 장치를 거쳐서 흘러가는 방식이에요.
직접접지: 전류가 문제 생기면 바로 땅으로!
지락사고: 전기가 새서 땅으로 흘러가는 사고.
건전상: 멀쩡한 전선.
계통: 전기 시스템 전체.
과도 안정도: 문제 생긴 뒤 얼마나 빨리 안정되느냐.
단절연: 전기 설비에서 한쪽(특정 부위)만 절연하는 방식을 말해요.
"1선 지락 사고 시 건전상의 대지 전압이 거의 상승하지 않는다."
쉽게 말해, 전선 하나에 문제가 생겨도 나머지 전선에는 영향을 거의 안 줍니다. 이건 맞는 말이에요.
"계통의 절연수준이 낮아지므로 경제적이다."
절연이라는 건 전기선이 전기를 새지 않게 보호하는 기술인데, 이걸 약하게 만들어도 되니까 비용이 적게 든다는 뜻이에요. 이건 맞는 말입니다.
"변압기의 단절연이 가능하다."
변압기를 보호하는 기술(절연)을 간단하게 해도 괜찮아서 돈이 덜 들어요. 이건 맞는 말이에요.
"보호계전기가 신속히 동작하므로 과도안정도가 좋다."
문제가 생겼을 때 전기 시스템이 빨리 안정되느냐의 문제인데, 직접접지방식은 사고 전류가 너무 커서 오히려 시스템이 불안정해질 수 있습니다. 그래서 이건 틀린 말이에요.
또한, 다른 접지방식에 비하여 개폐 이상전압이 낮다. 그리고 중성점 전압이 항상 0이므로 변압기의 가격과 중량을 줄일 수 있다
22. 전력계통의 안정도에서 안정도의 종류에 해당하지 않는 것은?
① 정태 안정도
② 상태 안정도
③ 과도 안정도
④ 동태 안정도
**"전력계통 안정도의 종류"**는 전기 시스템이 얼마나 잘 안정적으로 유지되는지에 대한 분류를 말합니다.
여기서 안정도의 종류는 아래 3가지로 나눌 수 있습니다:
정태 안정도 (Static Stability)
- 전기 시스템이 정상 상태에서 작은 변화가 생겼을 때 안정성을 유지할 수 있는 능력.
(예: 부하가 조금 변했을 때도 계통이 안정적인가?)
과도 안정도 (Transient Stability)
- 전기 시스템에 큰 변화가 생겼을 때(예: 사고 발생, 발전기 탈락) 계통이 안정적으로 돌아오는 능력.
(예: 큰 사고 후 시스템이 정상으로 복귀 가능한가?)
동태 안정도 (Dynamic Stability)
- 전기 시스템이 시간이 지나면서 점진적으로 변화할 때 안정성을 유지하는 능력.
(예: 부하가 점진적으로 증가할 때 계통이 안정적인가?)
23. 수차의 캐비테이션 방지책으로 틀린 것은?
① 흡출수두를 증대시킨다.
② 과부하 운전을 가능한 한 피한다.
③ 수차의 비속도를 너무 크게 잡지 않는다.
④ 침식에 강한 금속재료로 러너를 제작한다.
수차: 물로 터빈을 돌려 에너지를 만드는 기계.
캐비테이션(Cavitation): 물이 빠르게 흐를 때 압력이 낮아지면서 기포가 발생하고, 이 기포가 터지면서 수차의 러너(날개)에 손상을 주는 현상입니다. 즉, 수차의 효율이 떨어지고 수명이 단축되는 문제를 일으킵니다.
비속도(특유속도): "수차가 물의 낙차와 흐름에 얼마나 효율적으로 맞추어 작동하는지"를 나타내는 숫자.
👉 낮으면 높은 낙차, 적은 물에 적합.
👉 높으면 낮은 낙차, 많은 물에 적합.
"흡출수두를 증대시킨다."
- 틀린 말입니다.
캐비테이션 방지를 위해서는 **흡출수두(수차 출구에서 물이 배출되는 높이 차이)**를 줄여야 합니다.
흡출수두를 높이면 물의 압력이 더 낮아져 캐비테이션이 더 심해질 수 있습니다.
"과부하 운전을 가능한 한 피한다."
- 맞는 말입니다.
과부하 운전은 수차의 부하를 증가시켜 캐비테이션이 발생하기 쉬운 조건을 만듭니다. 이를 피해야 합니다.
"수차의 비속도를 너무 크게 잡지 않는다."
- 맞는 말입니다.
비속도가 너무 크면 캐비테이션 발생 가능성이 높아지기 때문에, 적절한 비속도를 유지해야 합니다.
"침식에 강한 금속재료로 러너를 제작한다."
- 맞는 말입니다.
캐비테이션이 완전히 없애기 어려운 경우, 침식에 강한 재료를 사용하여 손상을 줄일 수 있습니다.
24. 보호계전기의 반한시ㆍ정한시 특성은?
반한시: **"한계를 거스르는 시간"**이라는 뜻으로, 전류가 커질수록 동작 시간이 짧아지는 특성을 표현합니다.
정한시: **"시간을 일정하게 정한다"**는 뜻으로, 전류 크기에 관계없이 항상 일정한 시간에 동작한다는 특성을 표현합니다.
순한시: 최소 동작전류 이상의 전류가 흐르면 즉시 동작하는 특성
26. 밸런서의 설치가 가장 필요한 배전방식은?
밸런서는 전력 시스템에서 전압이나 전류의 불균형을 조정하는 장치입니다. 전력 품질을 높이고, 시스템 안정성을 유지하는 데 필수적입니다.
단상 2선식: 부하 불균형 자체가 없으므로 밸런서 필요 없음.
단상 3선식: 부하 불균형이 발생할 수 있으므로 밸런서 필요.
3상 3선식: 부하가 균형을 이루기 쉽기 때문에 일반적으로 밸런서가 필요하지 않습니다.
3상 4선식: 중성선만으로 균형 유지 가능하므로 밸런서 필요 없음.
27. 직렬콘덴서를 선로에 삽입할 때의 이점이 아닌 것은?
① 선로의 인덕턴스를 보상한다.
② 수전단의 전압강하를 줄인다.
③ 정태안정도를 증가한다.
④ 송전단의 역률을 개선한다.
직렬콘덴서: 전력선로에 **직렬(전선과 같은 선상에)**로 연결하는 **콘덴서(커패시터)**입니다. 전력선로에서 발생하는 인덕턴스(코일 효과)를 보상해주고, 전압 강하를 줄이며 전력 흐름을 더 효율적으로 만들어 줍니다.
병렬콘덴서: 전력선로에 **병렬(전선과 분리된 선상에)**로 연결하는 콘덴서입니다. 역률 개선, 무효전력 감소.
인덕턴스: 전류가 흐를 때 생기는 자기장으로 인해 전압이 지연되는 현상.
수전단: 전기를 받는 곳.
송전단: 전기를 보내는 곳.
역률: 전기가 얼마나 효율적으로 쓰이는지 나타내는 값. (1에 가까울수록 좋음)
선로의 인덕턴스를 보상한다.
- 선로에는 인덕턴스(코일 성질)가 존재하여 전압 강하와 전력 손실을 증가시킵니다.
- 직렬콘덴서는 이러한 인덕턴스 성분을 상쇄하여 전력 흐름을 더 효율적으로 만듭니다.
수전단의 전압강하를 줄인다.
- 직렬콘덴서를 선로에 삽입하면 선로의 인덕턴스가 보상되기 때문에 전압 강하가 줄어들고, 수전단에서는 원하는 전압을 안정적으로 받을 수 있게 됩니다.
정태안정도를 증가한다.
- 정태안정도는 전력 시스템이 작은 부하 변화에 대해 안정적으로 유지될 수 있는 능력입니다.
- 직렬콘덴서를 사용하면 선로의 인덕턴스를 보상해, 전압과 전력의 안정성을 증가시킵니다.
송전단의 역률을 개선한다.
- 송전단의 역률 개선은 병렬콘덴서를 통해 이루어집니다.
- 직렬콘덴서는 송전단의 역률보다는 전압 강하 보상과 안정도 향상에 초점을 맞추기 때문에 이 내용은 틀립니다.
28. 배기가스의 여열을 이용해서 보일러에 공급되는 급수를 예열함으로써 연료 소비량을 줄이거나 증발량을 증가시키기 위해서 설치하는 여열회수 장치는?
① 과열기
② 공기 예열기
③ 절탄기
④ 재열기
과열기 (Superheater)
- 보일러에서 발생한 **포화증기(수증기)**를 더 가열하여 고온의 건조증기를 만드는 장치입니다.
- 주로 증기 터빈의 효율을 높이기 위해 사용되며, 연료 소비량을 줄이는 목적과는 거리가 있습니다.
공기 예열기 (Air Preheater)
- 보일러에서 연소용 공기를 배기가스의 열로 예열하여 연료 연소 효율을 높이는 장치입니다.
절탄기 (Economizer)
- 보일러에 공급되는 급수를 배기가스의 열로 예열하여 연료 소비량을 줄이고 증발량을 증가시키는 장치입니다.
재열기 (Reheater)
- 터빈을 통과한 증기를 다시 가열하여 증기의 에너지 밀도를 높이는 장치입니다.
- 터빈 효율을 증가시키는 역할을 하며, 급수를 예열하는 장치가 아니므로 정답이 아닙니다.
29. 저압뱅킹 배전방식에서 캐스케이딩현상을 방지하기 위하여 인접 변압기를 연락하는 저압선의 중간에 설치하는 것으로 알맞은 것은?
① 구분퓨즈
② 리클로저
③ 섹셔널라이저
④ 구분개폐기
저압뱅킹은 여러 변압기나 배전선로를 연결하여 전기를 분배하는 방식.
연락은 변압기들을 전기적으로 연결하는 것.
캐스케이딩(Cascading) 현상은 한 변압기에서 발생한 고장이 인접 변압기로 전파되어 여러 변압기가 연쇄적으로 고장 나는 현상을 말합니다.
구분퓨즈 (Sectional Fuse)
- 구분퓨즈는 변압기 간 저압선에 설치하여 캐스케이딩 현상(한 변압기의 고장이 다른 변압기에 영향을 주는 현상)을 방지하기 위해 사용됩니다.
- 변압기에 이상이 발생했을 때, 구분퓨즈가 해당 변압기만 차단하여 고장이 다른 변압기로 전파되지 않도록 합니다.
리클로저 (Recloser)
- 리클로저는 고압 배전선로에서 사용되며, 고장 발생 시 자동으로 선로를 차단한 후 다시 연결을 시도합니다. 저압 배전방식에서의 캐스케이딩 방지와는 관련이 없습니다.
섹셔널라이저 (Sectionalizer)
- 섹셔널라이저는 고압 배전선로에서 고장 구간을 분리하는 역할을 합니다. 리클로저와 함께 사용되며, 저압선로 캐스케이딩 방지에는 적합하지 않습니다.
구분개폐기 (Sectional Switch)
- 구분개폐기는 선로를 수동으로 개폐하는 장치로, 주로 고장 구간을 분리하거나 점검 시 사용됩니다.
30. 전력용 콘덴서에 비해 동기조상기의 이점으로 옳은 것은?
① 소음이 적다.
② 진상전류 이외에 지상전류를 취할 수 있다.
③ 전력손실이 적다.
④ 유지보수가 쉽다.
동기조상기는 커다란 전동기처럼 생긴 장치예요. 이 장치는 전력 시스템에서 전기를 보내주거나 흡수하면서 균형을 맞춰줘요. 특히, **진상전류(전력을 더 효율적으로 쓰게 해주는 전류)**와 **지상전류(전력 균형을 맞추기 위해 흡수하는 전류)**를 둘 다 조정할 수 있어요.
전력용 콘덴서는 고정된 장치로, 전기 시스템에 진상전류만 공급할 수 있어요. 단순하고 유지보수 쉬움.
전기에는 **일하는 전력(유효전력)**과 **헛도는 전력(무효전력)**이 있어요.
무효전력을 조정하는 방식이 진상전류와 지상전류입니다.
진상전류: 진(進): 앞으로 나아가다로 "전류가 전압보다 앞서 나아가는 전류"로 전압을 올려서 시스템 효율을 높임. (전력용 콘덴서, 동기조상기)
지상전류: 지(遲): 느리다, 뒤처지다로 "전류가 전압보다 늦게 따라오는 전류" 로 전압이 너무 높으면 낮춰서 균형을 맞춤. (동기조상기만 가능)
"소음이 적다."
- 동기조상기는 회전 기계이기 때문에 소음이 발생할 가능성이 높습니다.
- 반면, 전력용 콘덴서는 기계적인 회전 부분이 없어서 소음이 적습니다.
"진상전류 이외에 지상전류를 취할 수 있다."
- 동기조상기는 동기 전동기로 동작하며, 계자전류를 조정하여 진상 전류(무효전력 공급)뿐만 아니라 지상 전류(무효전력 흡수)도 조정할 수 있습니다.
- 전력용 콘덴서는 진상 전류만 공급할 수 있기 때문에, 동기조상기의 큰 장점은 양방향으로 무효전력을 조정 가능하다는 점입니다.
"전력손실이 적다."
- 동기조상기는 회전 기계이기 때문에 마찰, 회전자 손실 등이 발생합니다.
- 전력용 콘덴서는 회전 기계가 아니므로 동기조상기보다 전력손실이 적습니다.
"유지보수가 쉽다."
- 동기조상기는 기계적인 회전 장치로 인해 유지보수가 필요하며, 정기적인 점검과 부품 교체가 필요합니다.
- 전력용 콘덴서는 고정형 장치이기 때문에 유지보수가 더 간단합니다.
31. 전선의 굵기가 균일하고 부하가 균등하게 분산되어 있는 배전선로의 전력손실은 전체 부하가 선로 말단에 집중되어 있는 경우에 비하여 어느 정도가 되는가?
부하가 선로 말단에 집중된 경우:
- 전체 부하 전류가 전체 선로를 통과하므로, 전류의 크기가 일정하게 큽니다.
- 따라서 전력손실이 가장 크게 발생합니다.
부하가 균등하게 분산된 경우:
- 선로의 앞부분에는 많은 부하가 흐르고, 뒤로 갈수록 흐르는 부하 전류가 점점 줄어듭니다.
- 전류 크기의 평균이 감소하므로, 전체 전력손실이 크게 줄어듭니다.
전력은 1/3
전압은 1/2
32. 피뢰기의 충격방전 개시전압은 무엇으로 표시하는가?
충격방전 개시전압이 충격파의 최대치로 표시되는 이유:
- 낙뢰와 같은 전압 상승은 순간적으로 매우 높은 최대 전압을 나타내기 때문에, 피뢰기의 동작 기준은 충격파의 최대 전압 값으로 설정됩니다.
- 이는 시스템에서 발생할 수 있는 최악의 상황(최대치)을 기준으로 설계하여 안정성을 확보하기 위함입니다.
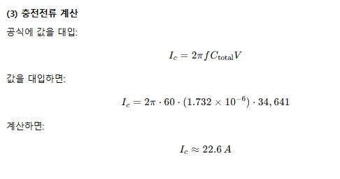
34. 정전용량 0.01μF/km, 길이 173.2km, 선간전압 60kV, 주파수 60Hz인 3상 송전선로의 충전전류는 약 몇 A 인가?
정전용량은 전선이 전기를 저장할 수 있는 크기을 나타내는 값입니다. (물탱크의 크기).
선간전압은 3상 전력 시스템에서 전선 간의 전압을 의미합니다. (물길의 높이 차이).
충전전류는 송전선로가 **전기를 저장(축적)**할 때 흐르는 전류입니다.
전선은 전압이 가해지면 콘덴서처럼 전기를 모으고, 이 과정에서 전류가 흐르게 됩니다. 이 전류를 충전전류라고 합니다.
이 전류는 송전선로의 길이, 주파수, 정전용량, 그리고 전압 크기에 따라 달라집니다. (물을 채우는 흐름).


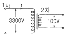
35. 승압기에 의하여 전압 Ve에서 Vh로 승압할 때, 2차 정격전압 e, 자기용량 W인 단상 승압기가 공급할 수 있는 부하용량은?
*승압기(Boost Transformer)**는 전압을 낮은 수준에서 더 높은 수준으로 올려주는 변압기입니다. 전력 시스템에서 송전이나 부하 공급 시, 전압을 더 높여 전력 전달을 효율적으로 만들어줍니다.
정격전압: 승압기가 안전하게 출력할 수 있는 기준 전압.
자기용량: 승압기가 처리할 수 있는 전력의 기본 크기.
부하용량: 승압기를 통해 실제로 부하에 공급되는 전력.
W: 승압기의 자기용량(Transformer Capacity).
- 승압기가 처리할 수 있는 최대 전력 용량입니다.
Vh: 승압기의 출력 전압(High Voltage).
- 승압된 전압(2차 전압)입니다.
e: 승압기의 2차 정격전압.
- 승압기의 2차 전압에서의 기준값입니다.
부하용량= (고압측전압/승압전압)×자가용량
36. 배전선로의 역률 개선에 따른 효과로 적합하지 않은 것은?
① 선로의 전력손실 경감
② 선로의 전압강하의 감소
③ 전원측 설비의 이용률 향상
④ 선로 절연의 비용 절감
**역률(Power Factor)**은 전력 시스템에서 전력을 얼마나 효율적으로 사용하는지를 나타내는 값입니다.
역률이 개선되면, 전력 시스템에서 흐르는 전류가 줄어들어 전력 손실(I^2R)이 감소합니다.
역률이 낮으면 전류가 크고, 이로 인해 선로에서의 전압강하가 큽니다.
역률이 높아지면, 같은 설비로 더 많은 부하를 공급할 수 있어 이용률이 증가합니다.
역률이 높아지면 무효전력이 줄어들기 때문에 선로를 흐르는 전류가 감소합니다.
37. 송전단 전압 161kV, 수전단 전압 154kV, 상차각 35°, 리액턴스 60Ω 일 때 선로 손실을 무시하면 전송전력(MW)은 약 얼마인가?
송전선로의 전송 전력은 다음 공식을 사용합니다:


38. 송전선로에 매설지선을 설치하는 목적은?
① 철탑 기초의 강도를 보강하기 위하여
② 직격뇌로부터 송전선을 차폐보호하기 위하여
③ 현수애자 1연의 전압 분담을 균일화하기 위하여
④ 철탑으로부터 송전선로로의 역섬락을 방지하기 위하여
매설지선은 송전선로의 철탑을 통해 땅에 매설된 지선입니다. 매설지선은 철탑의 접지저항을 낮추어 역섬락을 방지하는 역할을 합니다.
역섬락은 철탑으로부터 송전선로로 흐르는 전류가 땅으로 흘러들어가지 못하고 송전선로에 흐르는 현상을 말합니다. 역섬락이 발생하면 송전선로의 절연이 파괴되어 큰 사고가 발생할 수 있습니다
39. 1회선 송전선과 변압기의 조합에서 변압기의 여자 어드미턴스를 무시하였을 경우 송수전단의 관계를 나타내는 4단자 정수 C0는? (단, A0 = A + CZts, B0 = B + AZtr + DZts + CZtr Zts, D0 = D + CZtr 여기서, Zts 는 송전단변압기의 임피던스이며, Ztr 은 수전단변압기의 임피던스이다.)
1. 송전선로의 4단자 정수란?
- 송전선로와 변압기를 사용해서 전력을 보낼 때, **송전단(보내는 쪽)**과 수전단(받는 쪽) 사이의 전압과 전류 관계를 수학적으로 나타내는 방법이에요.
- 이 관계를 설명하는 값들이 바로 4단자 정수입니다.

2. 문제의 조건
- 변압기의 **여자 어드미턴스(여자전류의 전도 성분)**를 무시한다고 했습니다.
- 무시한다는 의미: 복잡한 영향을 생략하고 단순화합니다.
- 이 조건에서, C0를 구하려면:
- 문제에서 A0, B0, D에 대해 관계식을 주었으나, C0는 언급이 없습니다.
- 이때 C0는 변압기와 송전선로의 본래 값 **C**와 같습니다.
- 송수전단 관계에서 C는 송전선로의 전류와 수전단 전압 사이의 관계를 나타내는 고정된 값입니다.
40. 단락 보호방식에 관한 설명으로 틀린 것은?
① 방사상 선로의 단락 보호방식에서 전원이 양단에 있을 경우 방향 단락 계전기와 과전류 계전기를 조합시켜서 사용한다.
② 전원이 1단에만 있는 방사상 송전선로에서의 고장 전류는 모두 발전소로부터 방사상으로 흘러나간다.
③ 환상 선로의 단락 보호방식에서 전원이 두 군데 이상 있는 경우에는 방향 거리 계전기를 사용한다.
④ 환상 선로의 단락 보호방식에서 전원이 1단에만 있을 경우 선택 단락 계전기를 사용한다.
방사식(수지식,트리식) 선로
- 모양: 나무 가지처럼 한 방향으로 뻗어나가는 선로예요.
(전원이 한쪽 끝에 있고, 그 전력을 선로를 따라 여러 곳으로 분배하는 구조) - 특징:
- 전기가 "한 방향"으로만 흐릅니다.
- 고장이 나면 고장 구간 뒤쪽으로는 전기가 다 끊겨요.
- 특수한 경우에 전원이 양단에 있을 수도 있음
- 전력 수요 증가 시 간선이나 분기선을 연장하여 쉽게 공급이 가능하다.
- 이것은 초기 투자비를 적게 하고, 시스템 자체가 단순해서 증설하기가 편리
- 전압강하나 전력손실도 크고, 전압변동률이 크다는 단점
환상식(루프식) 선로
- 모양: 선로가 동그랗게 이어진 구조예요.
(전원이 여러 군데에 연결되어 있고, 전기가 여러 방향으로 흐를 수 있음) - 특징:
- 고장이 나도 다른 방향으로 전력을 공급할 수 있어요.
- 전압 변동 및 전력손실이 작다.
- 사고 발생 시 다른 간선으로의 전환이 쉽다.
- 안정적이지만 복잡해서 보호 장치가 더 필요해요.
- 신뢰도가 높은 방식이다.

방향 단락 계전기(DSCR; Directional Short Circuit Relay)
1) 어느 일정방향으로 일정값 이상의 단락전류가 흘렀을 때 동작
2) 이 경우 일반적으로 동시에 전력조류가 반대로 되기때문에 역전력계전기라 불리고 있음
특정 방향으로 일정한 크기 이상의 고장 전류(비정상적인 전류)가 흐를 때 "어? 고장 났네!" 하고 작동해요.
이 계전기가 작동하면 전력의 흐름(전류 방향)이 반대로 바뀌어요. 고장이 난 부분을 바로잡기 위해서죠.
선택 단락계전기(SS; Selective Short Circuit Relay)
1) 병행 2회선 송전선로에서 한 쪽의 1회선에 단락고장이 발생한 경우 2중 방향동작의 계전기를 사용하여 고장회선의 선택차단
2) 방향단락 계전기에 의한 것, 또는 양회선의 전류차로 동작하는 계전기 등을 사용
병렬로 연결된 두 송전선 중 한쪽이 고장 나면, "아, 이쪽이 문제네!" 하고 고장 난 선을 골라내는 장치예요. 찾는 방법은
방향 단락 계전기처럼 방향을 보고 고장 선로를 찾아내는 방법.
두 송전선의 전류 차이를 비교해서 고장 난 선을 찾아내는 방법.
1) 거리계전기(Distance Relay ; Z)의 동작특성에 방향성을 갖게 한 계전기
2) 복잡한 계통에서 방향 단락계전기의 대용으로도 적용 가능
고장이 난 지점이 얼마나 떨어져 있는지 알려주는 거리 계전기에 "방향을 보는 기능"을 추가한 거예요.
시스템이 복잡해질수록 고장 방향을 더 정확히 파악해야 하니까 방향 단락 계전기 대신 쓰는 경우가 많아요.
① 방사상 선로의 단락 보호방식에서 전원이 양단에 있을 경우 방향 단락 계전기와 과전류 계전기를 조합시켜서 사용한다.
- 방사상 선로에 전원이 양단(두 군데)에 있으면 고장 전류의 방향을 구별해야 하므로 방향 단락 계전기를 사용해야 합니다. 과전류 계전기도 함께 사용해 고장 전류를 감지합니다.
② 전원이 1단에만 있는 방사상 송전선로에서의 고장 전류는 모두 발전소로부터 방사상으로 흘러나간다.
- 전원이 한쪽에만 있다면 고장 전류는 전원이 있는 쪽에서만 공급됩니다. 고장 전류가 발전소에서 방사상으로 흘러나가는 것이 맞습니다.
③ 환상 선로의 단락 보호방식에서 전원이 두 군데 이상 있는 경우에는 방향 거리 계전기를 사용한다.
- 환상 선로는 전원이 여러 곳에서 공급되며 고장 위치를 정확히 판단해야 합니다. 이를 위해 방향 거리 계전기를 사용하는 것이 맞습니다.
④ 환상 선로의 단락 보호방식에서 전원이 1단에만 있을 경우 선택 단락 계전기를 사용한다.
- 환상 선로에서 전원이 1단에만 있는 경우 선택 단락 계전기를 사용하지 않습니다. 선택 단락 계전기는 병렬 선로에서 고장 구간을 선택하는 데 사용되므로, 환상 선로에서는 해당되지 않습니다.
2022.03.05
21. 3상 1회선 송전선을 정삼각형으로 배치한 3상 선로의 자기인덕턴스를 구하는 식은? (단, D는 전선의 선간거리(m), r은 전선의 반지름(m)이다.)
자기인덕턴스는 전선에 전류가 흐를 때 전류 변화에 의해 자기장이 만들어지고, 이 자기장이 다시 전류의 흐름에 영향을 주는 현상을 나타내는 값이에요.
조금 더 쉽게 설명하면:
- 기차가 지나갈 때 생기는 바람을 상상해보세요. 기차가 빨리 움직이면 더 큰 바람이 생기고, 이 바람은 주변 물체에 영향을 줍니다.
- 여기서 기차가 전류, 바람이 자기장이라고 생각하면 돼요. 기차(전류)가 움직일 때 생긴 바람(자기장)이 다시 기차(전류)의 움직임에 영향을 주는 게 자기인덕턴스예요.
즉, 전선에서 전류가 흐를 때 만들어지는 자기장이 얼마나 전류의 변화에 영향을 미치는지 측정한 값이라고 생각하면 됩니다.
이 값은 송전선이나 전력 시스템 설계에서 중요해요, 왜냐하면 전류의 변화를 안정적으로 제어하려면 이 자기인덕턴스를 잘 계산해야 하거든요.
L = 0.05 + 0.46051 × log₁₀(D / r) (H/km)
22. 3상 송전선로가 선간단락(2선 단락)이 되었을 때 나타나는 현상으로 옳은 것은?
① 역상전류만 흐른다.
② 정상전류와 역상전류가 흐른다.
③ 역상전류와 영상전류가 흐른다.
④ 정상전류와 영상전류가 흐른다.
1선지락/2선지락 -> 정상, 역상, 영상
2선(선간)단락 -> 정상, 역상
3상단락 -> 정상
선간단락(2선 단락)이란? 송전선로에는 보통 전기를 보내기 위해 3개의 전선(3상)이 있어요. 그런데 3개 중 2개의 전선이 서로 닿거나 연결(단락)되면 문제가 생기죠. 이걸 선간단락(2선 단락)이라고 불러요.
예를 들어, 전봇대에 전선이 매달려 있는데 바람에 흔들려서 2개의 전선이 붙는 상황을 상상해보세요. 그럼 전기가 잘못된 길로 흐르면서 과전류나 이상한 전류가 생겨요.
전선에 이상이 생기면, 정상적으로 흐르는 전류 말고도 다른 종류의 전류가 섞여서 흐를 수 있어요. 문제는, 선간단락이 생겼을 때 흐르는 전류 종류가 무엇인지 묻는 거예요.
3상 송전선로에서 선간단락(2선 단락)이 발생하면 두 선 사이에 단락이 생기기 때문에 정상적인 전류와 역상전류만 흐르게 됩니다. 이를 설명하자면:
- 정상전류: 선로의 정상적인 3상 전류 중 하나입니다. 정상전류는 대칭 3상 전력 시스템에서 주로 나타납니다.
- 역상전류: 단락으로 인해 비대칭 상태가 되어 일부 역상전류가 흐르게 됩니다.
- 영상전류: 영상전류는 접지 단락(땅으로 연결되는 경우)에만 생기는 거라서 여기선 해당되지 않아요
따라서 선간단락의 경우에는 정상전류와 역상전류가 혼합되어 흐르게 되는 현상이 맞습니다.
추가로 선간전압이 0이 됩니다. 선간단락은 두 전선이 직접 연결되거나 닿는 상황이기 때문에 두 선 사이의 전압 차이가 사라집니다. 따라서 선간전압이 0이 되는 것이 맞습니다.
23. 송전단 전압이 100V, 수전단 전압이 90V인 단거리 배전선로의 전압강하율(%)은 약 얼마인가?
전압강하율(%) = [(송전단 전압 - 수전단 전압) / 송전단 전압] × 100
24. 중거리 송전선로의 4단자 정수가 A = 1.0, B = j190, D = 1.0 일 때 C의 값은 얼마인가?
4단자 정수의 검산식
AD - BC = 1
4단자 정수(A, B, C, D)는 송전선로의 전압과 전류 관계를 수식으로 나타낸 값이에요. 송전선로는 전력을 보내는 쪽(송전단)과 받는 쪽(수전단)이 있고, 이 두 지점의 전압과 전류의 관계를 수식으로 간단히 표현하기 위해 사용하는 모델이에요.
A: 송전단 전압과 수전단 전압의 비율 (전압 증폭 특성)
B: 송전단 전압과 수전단 전류의 관계 (선로의 임피던스 특성)
C: 송전단 전류와 수전단 전압의 관계 (선로의 컨덕턴스 특성)
D: 송전단 전류와 수전단 전류의 비율 (전류 증폭 특성)

25. 다음 중 재점호가 가장 일어나기 쉬운 차단전류는?
① 동상전류
② 지상전류
③ 진상전류
④ 단락전류
재점호(restriking)는 차단기의 접점이 열렸을 때, 전압이 다시 상승하면서 아크가 재발생하는 현상을 말합니다. 차단기가 제대로 작동하지 못하고 다시 전류가 흐르게 되는 상황이에요.
진상전류에서 재점호가 가장 잘 일어나는 이유는 다음과 같습니다:
- 진상전류는 전압보다 앞서 흐릅니다. 진상전류는 전압보다 위상이 앞서 있는 전류로, 차단기가 접점을 끊는 순간 전압이 높아져 아크가 다시 생길 가능성이 큽니다.
- 아크를 끄기 어려운 특성으로 진상전류는 빠르게 전류가 변화하며, 차단기 내부의 전압 회복 속도가 빨라져 재점호가 발생하기 쉽습니다.
동상전류는 전압과 전류가 같은 위상에 있어 비교적 안정적으로 차단이 가능합니다. 재점호 가능성이 낮습니다.
지상전류는 전압보다 전류가 뒤처져 흐르는 경우로, 진상전류에 비해 아크를 끄기가 더 쉽습니다.
단락전류는 단락전류는 크기가 매우 크지만, 위상 특성상 재점호 발생 가능성은 진상전류보다 낮습니다.
26. 송전전력, 선간전압, 부하역률, 전력손실 및 송전거리를 동일하게 하였을 경우 단상 2선식에 대한 3상 3선식의 총 전선량(중량)비는 얼마인가? (단, 전선은 동일한 전선이다.)
전선중량비(전력손실비) 문제임
단상 2선식 = 1
단상 3선식 = 0.375 (3/8)
3상 3선식 = 0.75 = (3/4)
3상 4선식 = 0.333 = (1/3)
27. 배전전압을 √2배로 하였을 때 같은 손실률로 보낼 수 있는 전력은 몇 배가 되는가?
전압강하는 n배 줄어들고
전압강하율, 전력손실률, 전선의 단면적/굵기는 n^2배로 줄어들고
공급전력은 n^2배로 늘어남
송전 전력(P)은 다음과 같습니다:
P=V⋅I⋅pf
V: 전압
I: 전류
pf: 역률
즉, 전압을 √2배 하면, I는 반대로 1/√2 로 줄어듬
전력 손실은 다음 식으로 계산 됨
P손실=I^2R
I가 1/√2 되었으니 I^2하면 1/2이므로, P손실은 절반이 됨
따라서 전력은 2배
28. 교류발전기의 전압조정 장치로 속응 여자방식을 채택하는 이유로 틀린 것은?
① 전력계통에 고장이 발생할 때 발전기의 동기화력을 증가시킨다.
② 송전계통의 안정도를 높인다.
③ 여자기의 전압 상승률을 크게 한다.
④ 전압조정용 탭의 수동변환을 원활히 하기 위함이다.
속응 여자방식은 발전기가 전압을 잘 유지하고, 문제가 생겼을 때 빠르게 반응하도록 도와주는 방식이야. 발전기 안에서는 자기장을 만들어주는 자기 여자(Excitation)라는 장치가 있는데, 이 장치를 매우 빠르게 조절해서 발전기의 전압이나 전류가 안정적으로 유지되도록 해주는 게 속응 여자방식이야.
전력계통에 고장이 발생할 때 발전기의 동기화력을 증가시킨다.
맞아! 발전기가 문제를 해결하려면 스스로 힘을 내야 하는데, 속응 여자방식이 바로 이 힘을 빠르게 키워줘.
송전계통의 안정도를 높인다.
맞아! 속응 여자방식은 전기가 더 안정적으로 흐르도록 도와줘서 전선이나 장비가 안전하게 전기를 보낼 수 있어.
여자기의 전압 상승률을 크게 한다.
맞아! 이 장치는 전압을 빠르게 올려야 할 때, 그 속도를 크게 만들어줘서 상황을 빨리 해결할 수 있어.
전압조정용 탭의 수동변환을 원활히 하기 위함이다.
이건 틀렸어. 속응 여자방식은 전압을 자동으로 조정해주는 장치지, 사람이 손으로 전압을 바꾸는 탭 변환과는 관계가 없어.
30. 다음 중 동작속도가 가장 느린 계전 방식은?
① 전류 차동 보호 계전 방식
② 거리 보호 계전 방식
③ 전류 위상 비교 보호 계전 방식
④ 방향 비교 보호 계전 방식
전류의 크기를 직접 측정하는 방법 (거리 보호 계전 방식)
거리 보호 계전 방식은 고장 지점까지의 전기적 거리를 계산하기 위해 전류의 크기를 직접 측정합니다.
- 이 방식은 고장전류의 크기를 정확하게 측정할 수 있지만, 측정하고 처리하는 데 시간이 오래 걸립니다.
- 따라서 거리 보호 계전 방식은 동작 속도가 느린 계전 방식에 해당합니다.
전류의 크기를 추정하는 방법
전류 차동 보호, 전류 위상 비교 보호, 방향 비교 보호 계전 방식은 전류의 크기를 직접 측정하지 않고, 주로 전류의 위상, 방향, 또는 두 지점 간의 차이를 비교해서 고장을 판단합니다.
- 이 방식은 빠르게 동작할 수 있지만, 전류 크기를 정확히 측정하는 거리 보호 계전 방식에 비해 정확도는 떨어질 수 있습니다.
전류 차동 보호 계전 방식: 고장 지점에서 흐르는 전류를 양쪽에서 비교하여 고장을 판별합니다. 비교 즉시 동작하기 때문에 속도가 빠릅니다.
거리 보호 계전 방식: 고장 지점까지의 전기적 거리를 계산하여 고장을 판별합니다. 계산 과정과 설정된 기준에 따라 동작하므로 다른 방식보다 속도가 느립니다.
전류 위상 비교 보호 계전 방식: 두 지점의 전류 위상을 비교하여 고장을 판단합니다. 비교 과정이 단순해 동작 속도가 빠릅니다.
방향 비교 보호 계전 방식: 고장이 발생한 전류의 방향을 비교하여 고장을 판별합니다. 이 방식도 계산이 단순하므로 빠르게 동작합니다.
31. 어느 발전소에서 40000kWh를 발전하는데 발열량 5000㎉/㎏의 석탄을 20톤 사용하였다. 이 화력발전소의 열효율(%)은 약 얼마인가?
1kwh = 860kcal
34.4%
32. 소호리액터를 송전계통에 사용하면 리액터의 인덕턴스와 선로의 정전용량이 어떤 상태로 되어 지락전류를 소멸시키는가?
① 병렬공진
② 직렬공진
③ 고임피던스
④ 저임피던스
소호리액터는 전선에 발생한 "지락전류(땅으로 흐르는 전류)"를 없애는 장치야. 이 장치가 제대로 작동하려면, 전선의 정전용량(전기를 저장하려는 성질)과 소호리액터의 인덕턴스(자기장을 만드는 성질)가 서로 맞춰져야 해. 이게 바로 "병렬공진" 상태야. 병렬공진이 되면 지락전류가 자연스럽게 없어지게 돼.
병렬공진
소호리액터와 전선의 성질이 서로 잘 맞아 조화를 이루는 상태야. 이 상태가 되면 지락전류가 사라지기 때문에 소호리액터가 제 역할을 할 수 있어. 그래서 정답이야.
직렬공진
이건 소호리액터와 전선이 직렬로 연결돼서 함께 공진하는 상태야. 이렇게 되면 전류가 더 많이 흐를 수 있어서, 지락전류를 없애는 데 도움이 되지 않아. 그래서 정답이 아니야.
고임피던스
임피던스는 전류가 흐르는 데 방해하는 정도를 말해. 고임피던스는 방해가 심해서 전류가 잘 못 흐르는데, 이건 소호리액터의 작동 원리와 관련이 없어. 정답이 아니야.
저임피던스
반대로 저임피던스는 전류가 아주 쉽게 흐르게 만드는 상태야. 이 상태에서는 지락전류가 더 커질 수 있기 때문에 소호리액터에 적합하지 않아. 그래서 정답이 아니야.
33. 현수애자에 대한 설명이 아닌 것은?
① 애자를 연결하는 방법에 따라 클레비스(Clevis)형과 볼 소켓형이 있다.
② 애자를 표시하는 기호는 P이며 구조는 2~5층의 갓 모양의 자기편을 시멘트로 접착하고 그 자기를 주철재 base로 지지한다.
③ 애자의 연결개수를 가감함으로써 임의의 송전전압에 사용할 수 있다.
④ 큰 하중에 대하여는 2련 또는 3련으로 하여 사용할 수 있다.
① 애자를 연결하는 방법에 따라 클레비스(Clevis)형과 볼 소켓형이 있다.
이 설명은 맞습니다. 현수애자는 송전선로에서 많이 사용되며, 연결 방식에 따라 클레비스형(갈고리형)과 볼 소켓형으로 나뉩니다.
② 애자를 표시하는 기호는 P이며 구조는 2~5층의 갓 모양의 자기편을 시멘트로 접착하고 그 자기를 주철재 base로 지지한다.
이 설명은 핀애자에 대한 설명입니다. 핀애자는 전선을 지지하기 위해 기둥에 고정되는 형태이며, 기호는 P로 표시됩니다. 현수애자와는 다른 구조입니다.
③ 애자의 연결개수를 가감함으로써 임의의 송전전압에 사용할 수 있다.
이 설명은 맞습니다. 현수애자는 여러 개를 연결하여 사용하며, 필요 전압에 따라 개수를 늘리거나 줄일 수 있습니다. 22.9kV는 2개, 66kV는 4개, 154kV는 10개 내외, 345kV는 20개 내외, 765kV는 40개 내외 입니다.
④ 큰 하중에 대하여는 2련 또는 3련으로 하여 사용할 수 있다.
이 설명도 맞습니다. 현수애자는 하중이 큰 경우 여러 개를 묶어(련으로) 사용하여 더 강한 지지력을 제공합니다.
34. 초호각(Arcing horn)의 역할은?
초호각(소호각)은 선로의 섬락(뇌격 등으로 인해 전류가 애자를 통해 방전되는 현상)이 발생했을 때, 애자가 파손되지 않도록 보호하는 것입니다. 따라서 정답은 ③ 선로의 섬락 시 애자의 파손을 방지한다입니다.

35. 불평형 부하에서 역률(%)은?
평형부하든 불평형 부하든 피상전력의 합은 산술합이 아니라 벡터합

36. 부하회로에서 공진 현상으로 발생하는 고조파 장해가 있을 경우 공진 현상을 회피하기 위하여 설치하는 것은?
① 진상용 콘덴서
② 직렬 리액터
③ 방전코일
④ 진공 차단기
공진 현상이란, 전기회로에서 특정 주파수의 전류나 전압이 크게 커지는 현상이야. 이게 문제가 되는 이유는 고조파(불필요한 전류)가 생겨서 회로를 망가뜨리거나 장비를 손상시킬 수 있기 때문이야. 부하회로에서 공진 현상으로 인해 발생하는 고조파 장해를 회피하려면 직렬 리액터를 설치해야 합니다. 직렬 리액터는 회로의 인덕턴스를 조정하여 공진 주파수를 변경하거나 고조파 전류를 억제하는 데 사용됩니다. 따라서 정답은 ② 직렬 리액터입니다.
다른 선택지들은 공진 문제를 해결하는 데 적합하지 않아:
- 진상용 콘덴서는 진상용 콘덴서는 역률을 개선하기 위해 사용하는 장치입니다. 하지만 콘덴서 자체가 공진 현상을 유발할 수 있기 때문에 고조파 장해를 해결하기 위한 직접적인 대책이 될 수 없습니다.
- 방전코일은 전기선에 남은 잔류 전기를 없애는 장치고, 공진과는 관계가 없어.
- 진공 차단기는 회로를 끊어주는 스위치 같은 역할을 해서 공진을 막지는 못해.
그래서 공진 문제를 해결하려면 직렬 리액터를 설치해야 해!
참고
직렬 콘덴서는 전압을 높이고 전류를 더 쉽게 흐르게 만들어.
직렬 리액터는 고조파를 억제하거나 공진을 막기 위해 전류의 흐름을 조절해.
38. 경간이 200m인 가공 전선로가 있다. 사용전선의 길이는 경간보다 몇 m 더 길게 하면 되는가? (단, 사용전선의 1m 당 무게는 2㎏, 인장하중은 4000㎏, 전선의 안전율은 2로 하고 풍압하중은 무시한다.)
허용장력 T = 인장하중 / 전선의 안전율
처짐 F = W * L^2 / 8 T
전선길이 = L + 8 F^2 / 3 L


39. 유효낙차 90m, 출력 104500㎾, 비속도(특유속도) 210m·㎾인 수차의 회전속도는 약 몇 rpm인가?

40. 차단기의 정격차단시간에 대한 설명으로 옳은 것은?
① 고장 발생부터 소호까지의 시간
② 트립코일 여자로부터 소호까지의 시간
③ 가동 접촉자의 개극부터 소호까지의 시간
④ 가동 접촉자의 동작 시간부터 소호까지의 시간
**트립코일(Trip Coil)**은 차단기 내부에 있는 전자석으로 구성된 장치로, 차단기를 동작시키는 핵심적인 역할을 합니다. 간단히 말하면, 차단기를 열어서 전류를 끊도록 신호를 전달하는 장치라고 볼 수 있어요.
트립코일이 활성화된 시점을 기준으로 차단기가 작동하여 고장 전류를 완전히 차단하기까지의 시간을 나타내며, 정격차단시간의 적절한 설명입니다.
2021.09.12
21. 3상 수직배치인 선로에서 오프셋을 주는 주된 이유는?
① 유도장해 감소
② 난조 방지
③ 철탑 중량 감소
④ 단락 방지
오프셋의 의미: 전선을 수직으로 배치할 때, 전선들 간에 "수직 거리의 차이"를 만들기 위해 약간의 위치 변화를 주는 것을 말해요.
오프셋을 두는 이유: 바람, 온도 변화, 전선의 흔들림 등으로 인해 전선이 서로 부딪치거나 접촉하면 단락(합선) 사고가 날 위험이 있어요. 이를 방지하려고 전선들을 약간씩 위치를 어긋나게 해서 안정성을 확보하는 거예요.

22. 3상 변압기의 단상 운전에 의한 소손 방지를 목적으로 설치하는 계전기는?
① 단락계전기
② 결상계전기
③ 지락계전기
④ 과전압계전기
단상 운전은 원래 3상으로 동작해야 하는 기기(예: 3상 변압기나 모터)가 3개의 선 중 하나(혹은 두 개)가 끊어져서 1상만 동작하는 상태를 말해요. 3상 기기는 전력을 고르게 분배받아야 정상적으로 작동하는데, 단상 운전이 발생하면 전력이 불균형하게 되고, 특정 부하에 과부하가 걸리거나 기기가 제대로 작동하지 못하게 됩니다.
단락계전기는 회로에서 단락(합선)이 발생했을 때 이를 감지하고 보호 장치를 작동시키는 계전기입니다. 단상 운전과는 직접적인 관련이 없습니다.
결상계전기는 3상 전력 중 한 상이 끊어지거나(결상) 이상이 생겼을 때 이를 감지하는 계전기입니다. 단상 운전이 발생하면 변압기가 불균형 상태에 놓이고 과열로 소손될 수 있으므로 이를 방지하는 데 필수적입니다.
지락계전기는 전선이 대지(땅)와 접촉하는 지락 사고를 감지하는 장치로, 결상과는 다른 문제를 다룹니다.
과전압계전기는 회로의 전압이 허용치를 초과할 때 이를 감지해 보호 장치를 작동시키는 장치로, 단상 운전과는 관련이 없습니다.
23. 선로정수를 평형되게 하고, 근접 통신선에 대한 유도장해를 줄일 수 있는 방법은?
① 연가를 시행한다.
② 전선으로 복도체를 사용한다.
③ 전선로의 이도를 충분하게 한다.
④ 소호리액터 접지를 하여 중성점 전위를 줄여준다.
선로정수(4상정수)는 전선(송전선로)에서 전기가 흐를 때의 전기적 특성을 나타내는 주요 값들로, 전력 시스템에서 전압, 전류, 그리고 전력 손실을 결정하는 데 중요한 역할을 합니다. 선로정수는 크게 다음 네 가지로 구성됩니다:
- 저항(R):
전선의 저항으로, 전기가 흐를 때 열로 변환되어 손실이 발생하는 부분을 의미합니다. 전선의 재질, 길이, 두께에 따라 저항값이 달라집니다. - 인덕턴스(L):
전선 주위의 자기장에 의해 발생하는 전기적 성질로, 교류 전류가 흐를 때 전압에 영향을 미칩니다. 특히, 선로의 배치(전선 간 거리 등)에 따라 인덕턴스 값이 달라집니다. - 정전용량(C):
전선과 대지 사이에 축적될 수 있는 전하의 양을 나타내는 값입니다. 전선의 높이, 간격, 그리고 절연 상태가 정전용량에 영향을 줍니다. - 누설컨덕턴스(G):
전선에서 절연체를 통해 새어나가는 전류를 나타내며, 절연체의 품질이 나쁘면 누설 전류가 커집니다.
선로정수를 평형되게 한다는 건, 전기가 흐르는 3개의 선이 모두 비슷한 전기적 특성을 가지도록 설계해서 송전 효율을 높이고 문제를 줄이는 걸 의미합니다.
연가를 시행한다
연가는 전선의 배치를 주기적으로 바꾸는 방법으로, 3상 전선이 각기 다른 위치(상하좌우 등)에 배치되어 발생하는 전기적 불평형을 해소하기 위한 방법입니다. 이를 통해 선로정수를 평형되게 만들고, 근처 통신선에 발생할 수 있는 유도장해(통신선에 전력이 간섭을 주는 문제)를 줄일 수 있습니다.
연가의 주요 목적 4가지는 다음과 같습니다:
- 직렬 공진 방지
- 선로 정수 평형 유지
- 임피던스 평형
- 유도장해 감소
전선으로 복도체를 사용한다
복도체는 송전선의 전류 용량을 늘리고 코로나 방전을 줄이기 위한 방법으로, 선로의 정수 평형이나 유도장해와는 직접적인 관련이 적습니다.
전선로의 이도를 충분하게 한다
이도는 전선이 늘어지는 정도를 의미하며, 송전선의 물리적 안전과 관련이 있습니다. 이도를 충분히 한다고 해서 유도장해나 선로정수와는 큰 관계가 없습니다.
소호리액터 접지를 하여 중성점 전위를 줄여준다
소호리액터는 지락 사고(대지와 접촉하는 문제)를 줄이기 위한 장치로, 선로정수 평형이나 통신선 유도장해 문제와는 관련이 없습니다.
24. 송전단, 수전단 전압을 각각 Es, Er이라 하고 4단자 정수를 A, B, C, D라 할 때 전력원선도의 반지름은?
전력 원선도는 전력 송전 시스템에서 송전단(발전소 쪽)과 수전단(부하 쪽) 간의 전압, 전류 관계를 원(circle) 형태의 그래프로 나타낸 것입니다. 이 그래프는 송전선로의 전기적 특성을 분석하고, 송전 시스템의 안정성을 평가하는 데 사용됩니다.

원의 반지름 (최대전력) = EsEr/B
전력원선도의 가로축과 세로축 : 유효전력과 무효전력
원선도로부터 알 수 있는 사항
- 필요한 전력을 보내기 위한 송, 수전단 전압간의 상차각
- 송, 수전할 수 있는 최대 전력
- 선로 손실과 송전 효율
- 수전단의 역률
- 조상 용량
원선도로부터 알 수 없는 사항
- 과도 안정 극한 전력
- 코로나 손실
- 도전율
25. 가공선 계통을 지중선 계통과 비교할 때 인덕턴스 및 정전 용량은 어떠한가?
가공선 계통
- 가공선 계통은 전선이 공중에 설치된 송전 또는 배전 계통을 말합니다.
- 전선이 전봇대, 철탑 등에 매달려 있으며, 전선 주변은 공기(자연 환경)가 절연체 역할을 합니다.
- 우리가 흔히 길가에서 볼 수 있는 전봇대에 매달린 전선이 가공선 계통입니다.
- 전선 간의 자기장이 넓게 퍼져 인덕턴스가 크고, 대지와의 거리가 멀어 정전용량이 작습니다.
지중선 계통
- 지중선 계통은 전선을 땅속에 매설하여 송전하거나 배전하는 계통을 말합니다.
- 전선은 절연체(케이블 피복)로 보호되며, 물리적으로 지하에 묻혀 있어서 외부 환경으로부터 영향을 덜 받습니다.
- 주로 도시 지역이나 환경 보호가 중요한 지역에서 사용됩니다. 전봇대가 보이지 않고 전선이 땅속에 있는 경우가 지중선 계통입니다.
- 전선 간 거리가 가까워 자기장이 좁아져 인덕턴스는 작아지고, 전선 간 전기장이 강해져 정전용량은 커집니다.
구분가공선 계통지중선 계통
| 구분 | 가공선 계통 | 지중선 계통 |
| 설치 위치 | 공중 (전봇대, 철탑) | 지하 (매설된 케이블) |
| 절연체 | 공기 | 케이블 절연체 |
| 설치 비용 | 저렴 | 고가 |
| 유지보수 | 비교적 쉬움 | 복잡 (지하 작업 필요) |
| 기후 영향 | 많음 (바람, 번개 등) | 거의 없음 |
| 전기적 특성 | 인덕턴스 큼, 정전용량 작음 | 인덕턴스 작음, 정전용량 큼 |
26. 전력계통에서 전력용 콘덴서와 직렬로 연결하는 리액터로 제거되는 고조파는? (단, 기본주파수에서 리액턴스 기준으로 콘덴서 용량의 이론상 4% 높은 리액터 값을 적용한다.)
① 제2고조파
② 제3고조파
③ 제4고조파
④ 제5고조파
전력용 콘덴서:
- 전압을 조정하고, 역률을 개선하기 위해 사용하는 장치입니다.
- 하지만, 콘덴서가 고조파를 증폭시킬 가능성이 있기 때문에 리액터를 함께 사용합니다.
리액터:
- 리액터는 인덕턴스를 제공하는 장치로, 고조파와 같은 특정 주파수를 걸러내는 역할을 합니다.
고조파 제거 원리:
- 기본 주파수(60Hz)에 대해, 리액터와 콘덴서의 조합으로 특정 고조파 주파수에서 공진을 일으켜 해당 고조파를 계통에서 제거합니다.
- 문제에서 언급된 4% 리액터는 전력용 콘덴서와 조합되어 **5차 고조파(300Hz)**를 제거하도록 설계됩니다.
제2고조파(120Hz): 직류 성분에 가까운 고조파로, 전력계통에서 잘 발생하지 않습니다.
제3고조파(180Hz): 비대칭 부하나 변압기 등에서 발생하며, 주로 중성선에 영향을 미칩니다.
제4고조파(240Hz): 특정 조건에서 발생하지만, 전력계통에서 큰 문제가 되는 고조파는 아닙니다.
제5고조파(300Hz): 계통 안정성과 전력 품질에 큰 영향을 미치며, 전력용 콘덴서와 리액터를 이용해 제거하는 주요 대상입니다.
27. 취수구에 제수문을 설치하는 목적은?
① 낙차를 높이기 위해
② 홍수위를 낮추기 위해
③ 모래를 배제하기 위해
④ 유량을 조정하기 위해
취수구는 강물이나 댐의 물을 끌어오는 "입구"이고,
제수문은 취수구나 수로에 설치되어 물의 흐름(유량)을 조절하거나 차단하는 장치입니다.
- 필요할 때 물을 흘려보내고, 필요하지 않을 때는 물을 막는 기능을 합니다.
- 홍수 시 물의 흐름을 제어하거나, 구조물을 보호하는 역할도 합니다.
- 유량 조절: 필요한 만큼 물을 흘려보내거나 차단.
- 과잉 유량 차단: 홍수나 과도한 유량이 발생했을 때 수로를 보호.
- 유지관리: 취수구로 들어오는 물의 양을 조정하여 구조물을 안정적으로 관리.
낙차를 높이는 것은 보나 댐 같은 구조물에서 주로 다뤄지는 기능으로, 제수문의 주된 역할과는 관련이 없습니다.
홍수 시 물을 방출하거나 홍수위를 조절하는 것은 배수문(수문)의 역할입니다. 제수문은 물을 취수구로 들이거나 막는 데 중점을 둡니다.
모래나 부유물 제거는 별도의 모래 배출 장치나 침사지 같은 구조물을 사용하며, 제수문의 주된 역할은 아닙니다.
28. 송전계통의 중성점 접지용 소호리액터의 인덕턴스 L은? (단, 선로 한 선의 대지정전용량을 C라 한다.)
소호리액터: 중성점 접지에 설치되어 지락 전류를 줄이고 아크를 소멸시키는 장치
소호리액터의 인덕턴스는, 소호리액터가 지락 사고 시 발생하는 **대지정전용량 전류(용량성 전류)**를 상쇄하기 위해 필요한 인덕턴스 값을 의미합니다. 이 인덕턴스 값은 시스템의 대지정전용량 및 전력계통의 주파수에 따라 결정됩니다.

29. 송전선로의 개폐 조작에 따른 개폐서지에 관한 설명으로 틀린 것은?
① 회로를 투입할 때보다 개방할 때 더 높은 이상전압이 발생 한다.
② 부하가 있는 회로를 개방하는 것보다 무부하를 개방할 때 더 높은 이상전압이 발생한다.
③ 이상전압이 가장 큰 경우는 무부하 송전선로의 충전전류를 차단할 때이다.
④ 이상전압의 크기는 선로의 충전전류 파고값에 대한 배수로 나타내고 있다.
개폐서지는 전기를 켜고 끌 때 순간적으로 발생하는 튀는 전기 같은 거야.
회로를 투입한다는 건 전기를 켠다는 뜻이야. 전기가 흐르도록 스위치를 올리는 거라고 생각하면 돼.
회로를 개방한다는 건 전기를 끈다는 뜻이야. 전기가 흐르지 못하도록 스위치를 내리는 거라고 보면 돼.
회로를 투입할 때보다 개방할 때 더 높은 이상전압이 발생한다는 내용은 일반적으로 맞습니다. 회로를 개방할 때 아크가 발생하면서 이상전압이 더 커질 수 있기 때문입니다.
부하가 있는 회로를 개방하는 것보다 무부하를 개방할 때 더 높은 이상전압이 발생한다는 내용도 맞습니다. 부하가 없는 상태에서는 선로의 충전 전류가 전압의 변동에 더 민감하게 반응하므로 이상전압이 더 크게 나타날 수 있습니다.
이상전압이 가장 큰 경우는 무부하 송전선로의 충전전류를 차단할 때라는 설명도 맞습니다. 무부하 상태에서 충전전류를 끊으면 전압 변화에 의한 서지가 가장 크게 발생합니다.
이상전압의 크기를 선로의 충전전류 파고값에 대한 배수로 나타낸다는 내용은 틀렸습니다. 이상전압은 충전전류의 파고값보다는 전압 변동에 따라 발생하며, 그 크기를 배수로 나타내는 방식은 정확하지 않습니다. 이상전압의 크기는 일반적으로 파고값, 전압 상승 정도, 시간적 변화 등으로 표현됩니다.
30. 가공 송전선로의 정전용량이 0.005㎌/㎞이고, 인덕턴스는 1.8mH/㎞이다. 이때 파동임피던스는 몇 Ω 인가?
파동 임피던스 = √(인덕턴스 / 정전용량)
Z = √(L / C)
(참고)
위상 속도 = 1 / √(인덕턴스 * 정전용량)
v= 1 / √ (LC)
예를 들어, 파동임피던스는 전기가 전선에서 멀리 이동하면서 얼마나 잘 전달되는지를 결정해. 만약 이 값이 크면 전기가 전달되면서 더 많은 저항을 받는다고 볼 수 있어. 반대로 값이 작으면 전기가 덜 방해받고 잘 흐른다고 보면 돼.
파동임피던스(Z)는 정전용량(C)과 인덕턴스(L)를 이용해 계산할 수 있어. 공식은 다음과 같아:
31. 원자로에 사용되는 감속재가 구비하여야 할 조건으로 틀린 것은?
① 중성자 에너지를 빨리 감속시킬 수 있을 것
② 불필요한 중성자 흡수가 적을 것
③ 원자의 질량이 클 것
④ 감속능 및 감속비가 클 것
감속재는 원자로에서 중성자의 속도를 줄여주는 역할을 하는 물질로, 핵반응을 효율적으로 유지하기 위해 몇 가지 중요한 조건을 만족해야 합니다.
1번은 "중성자의 에너지를 빨리 줄일 수 있어야 한다"는 거야. 즉, 빠르게 날아다니는 중성자를 멈추기 위해서는 감속재가 효과적으로 작동해야 한다는 의미야. 이건 맞는 조건이야.
2번은 "중성자를 쓸데없이 흡수하지 않아야 한다"는 거야. 감속재가 중성자를 흡수해버리면 핵반응에 필요한 중성자가 없어질 수 있기 때문에, 흡수를 최소화해야 해. 이것도 맞는 조건이야.
3번은 "감속재를 이루는 원자의 질량이 커야 한다"는 거야. 하지만 이건 틀린 조건이야. 사실, 중성자를 효과적으로 멈추려면 질량이 작고 가벼운 원자로 되어 있는 물질이 더 좋아. 무거운 원자는 중성자를 잘 멈추지 못해.
4번은 "감속재의 감속 능력과 효율이 좋아야 한다"는 거야. 쉽게 말해, 중성자를 감속시키는 데 뛰어나야 한다는 거지. 이건 당연히 맞는 조건이야.
그래서 정답은 3번이야. "질량이 커야 한다"는 감속재로는 부적합하다는 뜻이야.
감속재에는 주로 중성자를 감속시키는 역할을 하는 물질들이 사용되는데, 다음과 같은 것들이 있어:
- 물 (H₂O)
물은 가장 흔히 쓰이는 감속재야. 특히 경수로라는 원자로에서 사용되는데, 물에 포함된 수소 원자가 중성자와 충돌하면서 에너지를 효과적으로 줄여줘. 단점은 중성자를 조금 흡수하기 때문에 완벽하진 않아. - 중수 (D₂O)
중수는 물과 비슷하지만, 수소 대신 중수소(수소의 동위원소)가 포함된 물이야. 중수소는 물보다 중성자를 훨씬 적게 흡수해서 더 효율적인 감속재로 쓰여. 주로 중수로에서 사용돼. - 흑연 (Graphite)
탄소로 이루어진 흑연도 감속재로 많이 쓰여. 중성자를 잘 감속시키면서 흡수는 거의 하지 않아. 하지만 순수한 흑연이 필요하기 때문에 관리가 중요해. - 베릴륨 (Beryllium)
베릴륨은 무겁지 않고 중성자 감속 능력도 좋아서 감속재로 사용되기도 해. 하지만 비용이 비싸서 많이 쓰이진 않아.
32. 송전단 전압 6600V, 길이 2㎞의 3상3선식 배전선에 의해서 지상역률 0.8의 말단부하에 전력이 공급되고 있다. 부하단 전압이 6000V를 내려가지 않도록 하기 위해서 부하를 최대 몇 ㎾까지 허용할 수 있는가? (단, 선로 1선당 임피던스는 Z=0.8+j0.4 Ω/㎞이다.)




33. 저압 망상식(Network) 배선방식의 장점이 아닌 것은?
① 감전사고가 줄어든다.
② 부하 증가 시 적응성이 양호하다.
③ 무정전 공급이 가능하므로 공급 신뢰도가 높다.
④ 전압변동이 적다.
저압 망상식 배선방식은 여러 개의 전력 공급 경로를 통해 전력을 분산 공급하는 방식으로, 주로 신뢰성이 중요한 곳에서 사용됩니다. 선택지에 대한 설명은 다음과 같습니다:
감전사고가 줄어든다는 저압 망상식 배선방식의 직접적인 장점이 아닙니다. 망상식 배선은 전기 공급 신뢰성과 안정성을 높이는 데 초점이 맞춰져 있으며, 감전사고와는 관련이 없습니다.
부하 증가 시 적응성이 양호하다는 맞는 설명입니다. 망상식 배선은 여러 경로에서 전력을 분산 공급하기 때문에 부하 증가에 유연하게 대응할 수 있습니다.
무정전 공급이 가능하므로 공급 신뢰도가 높다는 정확한 장점입니다. 망상식은 한쪽 경로에 문제가 생겨도 다른 경로로 전력을 공급할 수 있어 신뢰도가 높습니다.
전압변동이 적다는 망상식 배선방식의 또 다른 장점입니다. 다양한 경로로 전력을 분산 공급하기 때문에 전압 변동을 최소화할 수 있습니다.
1. 가지식 배선 방식
- 설명: 전력 공급이 한쪽 방향으로만 이루어지는 방식으로, 나뭇가지처럼 메인 전선에서 분기선을 뻗어나가는 형태야.
- 장점: 설계와 시공이 간단하고 비용이 적게 든다.
- 단점: 한 곳에서 문제가 발생하면 그 이후의 전력 공급이 모두 끊기기 때문에 신뢰성이 낮다.
2. 환상식 배선 방식
- 설명: 전선이 고리(환상) 형태로 연결된 방식으로, 전력이 순환 경로를 통해 공급돼.
- 장점: 한쪽이 끊겨도 다른 쪽으로 전력을 공급할 수 있어 안정성이 높다.
- 단점: 설치와 유지 관리 비용이 가지식에 비해 높다.
3. 뱅킹 방식
- 설명: 여러 개의 변압기를 병렬로 연결해서 부하를 분산시키는 방식이야.
- 장점: 변압기 하나가 고장 나더라도 다른 변압기들이 전력을 공급할 수 있어 신뢰성이 높고, 부하에 유연하게 대응할 수 있다.
- 단점: 초기 설치 비용이 크고, 변압기의 효율적인 관리가 필요하다.
4. 망상식 배선 방식
- 설명: 여러 전력 공급 경로가 그물망(망상)처럼 연결된 방식으로, 신뢰성이 가장 높은 배선 형태야.
- 장점: 한 경로에 문제가 생겨도 다른 경로로 전력을 공급할 수 있어 무정전 공급이 가능하고, 전압 변동이 적다. 부하의 증가에 대한 융통성이 크다.
- 단점: 설계와 시공이 복잡하고 비용이 많이 든다.
34. 배전선로에서 사고범위의 확대를 방지하기 위한 대책으로 옳지 않은 것은?
① 선택접지계전방식 채택
② 자동고장 검출장치 설치
③ 진상콘덴서 설치하여 전압보상
④ 특고압의 경우 자동구분개폐기 설치
배전선로에서 사고범위의 확대를 방지하기 위한 대책은 사고가 발생했을 때 영향을 최소화하고, 문제 구간을 신속히 분리하는 데 초점이 맞춰져 있습니다. 선택지에 대한 설명은 아래와 같습니다:
- 선택접지계전방식 채택: 사고 지점을 정확히 탐지하고 해당 구간만 차단하여 다른 구간의 전력 공급을 유지할 수 있는 방식입니다. 사고범위 확대를 방지하는 데 적합한 대책입니다.
- 자동고장 검출장치 설치: 고장을 자동으로 감지하여 빠르게 대처할 수 있게 하는 장치로, 사고범위 확대를 막는 데 효과적입니다.
- 진상콘덴서 설치하여 전압보상: 진상콘덴서는 주로 전력손실 감소나 역률 개선, 전압 보상 등을 위해 사용되며, 사고범위 확대를 방지하는 직접적인 대책과는 관련이 없습니다. 따라서 이 선택지는 부적절합니다.
- 특고압의 경우 자동구분개폐기 설치: 고압선로에서 고장 발생 시, 자동으로 고장 구간을 분리하여 사고범위를 줄이는 데 유용한 장치입니다. 사고를 제한하는 적절한 대책입니다.
① 변압기 용량
② 수전계약용량
③ 공급 측 단락용량
④ 부하설비용량
수변전 설비 (受變電設備)는 수도 시설에서 전력 회사로부터 고압의 전기를 공급받아 변전한 후 세부 시설로 공급하는 설비.
변압기 1차측에 설치하는 차단기의 용량은 공급 측 단락용량에 의해 결정됩니다. 이유와 함께 각 선택지를 설명하자면 다음과 같습니다:
- 변압기 용량: 변압기의 용량은 차단기 용량을 간접적으로 참고할 수는 있지만, 차단기의 실제 용량은 변압기 용량만으로 결정되지 않습니다. 주된 기준은 아니므로 틀렸습니다.
- 수전계약용량: 수전계약용량은 사용자가 전력 회사와 계약한 전력 사용량을 뜻하며, 차단기의 용량 결정과 직접적인 관련은 없습니다. 따라서 정답이 아닙니다.
- 공급 측 단락용량: 차단기는 사고(단락) 시 전류를 안전하게 차단해야 하므로, 공급 측 단락용량(단락 전류를 견딜 수 있는 능력)을 기준으로 용량을 정합니다. 따라서 정답입니다.
- 부하설비용량: 부하설비의 용량은 차단기가 보호해야 할 설비의 크기와 관계가 있지만, 단락 시 발생하는 전류를 견디는 차단기의 용량 결정 기준이 아닙니다. 따라서 정답이 아닙니다.
결론적으로, 차단기의 용량은 사고 시 발생할 수 있는 공급 측 단락 전류를 기준으로 선정되므로 ③ 공급 측 단락용량이 정답입니다.
36. 각 수용가의 수용설비용량이 50㎾, 100㎾, 80㎾, 60㎾, 150㎾이며, 각각의 수용률이 0.6, 0.6, 0.5, 0.5, 0.4이다. 이때 부하의 부등률이 1.3이라면 변압기 용량은 약 몇 kVA가 필요한가? (단, 평균 부하역률은 80%라고 한다.)
수용가는 전기를 쓰는 사람(예: 가정, 공장).
수용설비용량은 그 사람이 최대한 쓸 수 있는 전기 양.
부등률은 전기를 동시에 쓰는지, 아니면 시간대를 나눠서 쓰는지를 나타내는 지표. 높을 수록, 시간대 나눠서 쓴다.
부하역률은 전기를 쓸 때 효율적으로 쓰는지, 낭비가 있는지를 나타내는 지표.

37. 변류기의 비오차는 어떻게 표시되는가? (단, a는 공칭변류비이고 측정된 1, 2차 전류는 각각 I1, I2 이다.)
비오차는 변류기가 이론적으로 정해진 공칭변류비와 실제 측정된 변류비 간의 차이를 백분율로 나타낸 값입니다. 변류기가 이상적으로 작동하면 비오차는 **0%**가 되어야 하지만, 현실에서는 약간의 오차가 존재합니다.
- 비오차가 작을수록 변류기의 변환 정확도가 높다는 것을 의미합니다.
- 비오차는 변류기의 성능 평가와 전력 설비에서의 신뢰도를 판단하는 데 사용됩니다.

38. 부하전력 및 역률이 같을 때 전압을 n배 승압하면 전압 강하율과 전력손실은 어떻게 되는가?
전압강하는 n배 줄어들고
전압강하율, 전력손실률, 전선의 단면적/굵기는 n^2배로 줄어들고
공급전력은 n^2배로 늘어남
39. 어떤 화력 발전소의 증기조건이 고온열원 540℃, 저온열원 30℃일 때 이 온도 간에서 움직이는 카르노 사이클의 이론 열효율(%)은?
카르노 사이클의 열효율은 고온열원과 저온열원의 온도 차이에 따라 결정되며, 공식은 다음과 같습니다: 카르노 사이클의 열효율
절대온도 273.15를 더하자

40. 복도체를 사용하는 가공전선로에서 소도체 사이의 간격을 유지하여 소도체 간의 꼬임 현상이나 충돌 현상을 방지하기 위하여 설치하는 것은?
① 아모로드
② 댐퍼
③ 스페이서
④ 아킹혼
복도체란 한 회선(전력 전달 경로)에 두 개 이상의 도체를 병렬로 연결하여 사용하는 송전 방식을 말해. 주로 고압(특고압) 송전선로에서 사용되며, 전력을 효율적으로 전달하기 위한 기술이야. 복도체를 구성하는 각각의 개별 전선을 소도체라고 불러. 복도체는 이러한 소도체 여러 개로 구성돼.
복도체는 송전선로의 안정도를 높이는 데 유리합니다. 이는 전압 강하를 줄이고 송전 효율을 높이는 효과가 있기 때문입니다.
복도체는 단도체에 비해 더 많은 자재(여러 개의 도체)를 필요로 하고, 시공 과정도 더 복잡하기 때문에 공사비가 증가하고 시공이 어려워지는 단점이 있습니다.
복도체는 전선 표면에서 전위경도를 낮추어 코로나 방전이 덜 발생하게 하고, 코로나 임계전압을 높이는 데 효과적입니다.
복도체는 선로의 인덕턴스를 줄이고, 정전용량을 증가시켜 더 많은 전력을 송전할 수 있도록 합니다.
아모로드(Armour rod): 주로 고압 가공 송전선로에서 전선을 지지하는 절연체와 연결되는 금속 막대입니다. 소도체 간 간격을 유지하거나 꼬임을 방지하는 역할은 하지 않습니다.

댐퍼: 전선의 진동(특히 풍진동)을 방지하기 위해 설치하는 장치입니다. 주로 전선의 피로와 손상을 막기 위한 용도로 사용되며, 소도체 간 간격 유지와는 관련이 없습니다.

스페이서: 복도체에서 소도체 간의 간격을 일정하게 유지하고, 소도체가 꼬이거나 충돌하는 것을 방지하기 위해 사용됩니다. 복도체의 안정성을 유지하는 주요 장치입니다.

아킹혼: 고압 송전선로에서 발생할 수 있는 섬락(방전 현상)을 방지하기 위해 사용하는 장치입니다. 절연체와 관련된 보호 장치이며, 소도체 간 간격 유지와는 무관합니다.

2021.05.15
21. 컴퓨터에 의한 전력조류 계산에서 슬랙(slack)모선의 초기치로 지정하는 값은? (단, 슬랙 모선을 기준 모선으로 한다.)
① 유효 전력과 무효 전력
② 전압 크기와 유효 전력
③ 전압 크기와 위상각
④ 전압 크기와 무효 전력
슬랙 모선은 전력계통에서 기준 모선으로 지정되는 모선으로, 전력조류 계산 시 시스템의 전체 전력 균형을 유지하기 위해 필요한 전력(유효 전력과 무효 전력)을 공급하거나 흡수하는 역할을 합니다.
왜 전압 크기와 위상각을 초기값으로 지정하나요?
- 슬랙 모선은 기준이 되는 모선이기 때문에 전압 크기와 위상각을 이미 알고 있다고 가정합니다.
- 나머지 다른 모선(부하 모선이나 발전기 모선)의 전압 크기와 위상각은 계산에 의해 결정되지만, 슬랙 모선은 기준점이므로 고정값으로 초기값을 지정합니다.
- 슬랙 모선의 유효 전력과 무효 전력은 전력조류 계산이 끝난 뒤에 시스템 균형을 맞추기 위해 결정됩니다.
발전기 모선은 발전기가 연결된 모선으로, 발전기의 출력 전력(유효 전력)과 전압 크기가 고정된 상태로 설정됩니다.
부하 모선은 전력을 소비하는 부하가 연결된 모선으로, 일반적으로 부하의 유효 전력과 무효 전력이 고정된 상태로 설정됩니다.
슬랙 모선: 기준이 되는 "참조점".
발전기 모선: 전력을 생산하며 "출력을 조절"하는 발전소.
부하 모선: 전력을 소비하는 "공장이나 가정"처럼 전력을 사용하는 곳.
| 모선유형 | 고정값 | 계산 결과 |
| 슬랙 모선 | 전압 크기, 위상각 | 유효 전력, 무효 전력 |
| 발전기 모선 | 유효 전력, 전압 크기 | 위상각, 무효 전력 |
| 부하 모선 | 유효 전력, 무효 전력 | 전압 크기, 위상각 |
22. 전력계통에서 내부 이상전압의 크기가 가장 큰 경우는?
① 유도성 소전류 차단 시
② 수차발전기의 부하 차단 시
③ 무부하 선로 충전전류 차단 시
④ 송전선로의 부하 차단기 투입 시
이상전압은 정상적인 전압 범위를 초과하는 비정상적으로 높은 전압을 말해. 전력계통이나 전기 설비에서 갑작스럽게 나타나는 현상으로, 회로나 장비에 큰 손상을 줄 수 있어. 쉽게 말해, 원래 계획된 전압보다 훨씬 높은 전압이 순간적으로 발생하는 거야.
무부하 상태란 부하가 없는 상태에서는 회로에 흐르는 전류가 거의 없거나 아주 미세한 수준이야. 하지만 이 상태에서도 전원 장치나 변압기의 코일에는 자기장이 형성돼 있어.
무부하 상태에서 선로의 충전전류를 차단할 때, 선로의 정전용량에 저장된 에너지가 급격히 방출되면서 정전기 유도 작용에 의해 매우 높은 이상전압이 발생해. 특히, 긴 송전선로의 경우 이런 충전전류가 더 커지기 때문에 이상전압의 크기도 더 커질 수 있어.
25. 그림과 같은 송전계통에서 S점에 3상 단락사고가 발생했을 때 단락전류(A)는 약 얼마인가? (단, 선로의 길이와 리액턴스는 각각 50km, 0.6Ω/km 이다.)

이 문제는 전기 시스템에서 **송전선(S점)**에 사고(단락)가 났을 때, 흐르게 되는 단락전류(엄청나게 큰 전류)가 얼마나 되는지 계산하는 거야. 단락전류는 시스템을 보호하기 위해 꼭 알아야 하는 중요한 값이야.
단락 전류 = 정격 전류 / %리액턴스 => I단락 = I정격 * %Z
정격 전류 = 용량 / 전압 => I정격 = C / V
%Z(퍼센트 임피던스)
전기 시스템(발전기, 변압기, 송전선 등)에는 전기를 방해하는 저항 같은 게 있어. 이걸 임피던스라고 해. 퍼센트 임피던스는 "이 장치가 전류를 얼마나 막느냐"를 %로 나타낸 거야.
총 %Z=전동기 %Z+변압기 %Z+선로 %Z
1. 전동기 리액턴스

2. 변압기 리액턴스
변압기는 전압을 바꾸는 장치인데, 여기에도 전류를 막는 특성인 리액턴스가 있어.
- 문제에서 변압기 리액턴스는 **8%**라고 주어져 있어.이 값은 따로 계산하지 않아도 돼.
3. 선로 리액턴스


전동기(G1, G2): 전기를 만드는 장치, 저항 역할을 20% 함.
변압기(T): 전압을 바꾸는 장치, 저항 역할을 8% 함.
송전선: 전기를 보내는 선로, 저항 역할을 약 9.917% 함.
이걸 합치면 시스템 전체가 전류를 막는 비율은 **37.917%**야
4. 기준전류 계산

5. 단락전류 계산
이제 전체 %Z(37.917%)로 나누기만 하면 돼:

26. 3상 3선식 송전선로에서 각 선의 대지정전용량이 0.5096μF 이고, 선간정전용량이 0.1295μF 일 때, 1선의 작용정전용량은 약 몇 μF 인가?
3상 3선식
C작용=C대지+3⋅C선간
단선 2선식
C작용=C대지+2⋅C선간
27. 배전용 변전소의 주변압기로 주로 사용되는 것은?
① 강압 변압기
② 체승 변압기
③ 단권 변압기
④ 3권선 변압기
강압(체강) 변압기
높은 전압을 낮은 전압으로 변환하는 변압기로, 배전용 변전소에서 가장 많이 사용돼. 송전선로에서 오는 고압을 낮춰 가정이나 공장에 알맞은 전압으로 공급해. 배전용 변전소의 역할은 고압(송전 전압)을 낮은 전압으로 변환하여 배전선로에 공급하는 것이야. 이를 위해 주로 강압 변압기(step-down transformer)가 사용돼. 강압 변압기는 높은 전압을 낮추는 데 적합하고, 배전 시스템에서 꼭 필요한 장치야.
체승(승압) 변압기
낮은 전압을 높은 전압으로 변환하는 변압기야. 주로 발전소나 전압 상승이 필요한 경우에 사용돼. 배전용 변전소에는 적합하지 않아.
단권 변압기
1차와 2차 권선이 전기적으로 연결된 구조로, 강압과 체승 모두 가능하지만, 절연 특성이 약해서 배전용 변전소에서는 잘 사용되지 않아.
3권선 변압기
1차, 2차, 3차 권선을 가진 변압기로, 주로 대형 변전소에서 여러 전압을 동시에 변환해야 할 때 사용돼. 배전용 변전소보다는 특수한 경우에 사용돼.
체승 변압기, 단권 변압기, 3권선 변압기는 송전용 변압기 입니다.
29. 500kVA의 단상 변압기 상용 3대(결선 △-△), 예비 1대를 갖는 변전소가 있다. 부하의 증가로 인하여 예비 변압기까지 동원해서 사용한다면 응할 수 있는 최대부하(kVA)는 약 얼마인가?
- 기존의 Δ-Δ 결선에서 3대의 단상 변압기가 사용 중이며, 각 변압기의 용량은 500kVA.
- 예비 변압기까지 포함해 총 4대의 단상 변압기가 있음.
- V-V 결선은 3대 중 1대가 고장났을 때, 나머지 2대로 3상 부하를 공급하는 결선 방식이야.
- V-V 결선의 특징:
- 변압기 용량의 이용률: 86.6%
- Δ-Δ 결선에서 2대만 사용하는 경우 변압기 용량은 원래 1대 용량의 sqrt{3}배로 계산.
- V-V 결선에서 2대의 변압기로 3상 부하를 공급할 때, 총 용량은 다음과 같이 계산돼

30. 3상용 차단기의 정격 차단 용량은?
① √3 × 정격 전압 × 정격 차단 전류
② 3√3 × 정격 전압 × 정격 전류
③ 3 × 정격 전압 × 정격 차단 전류
④ √3 × 정격 전압 × 정격 전류

왜 sqrt{3}이 필요한가?
3상 전력 계산은 3개의 선이 전달하는 전력을 합산해야 하는데, 이때 각 상의 위상 차이 때문에 sqrt{3}이 들어가게 돼. 따라서 단상과 다르게 3상에서는 sqrt{3}을 곱해야 실제 차단 용량을 구할 수 있어.
33. 단상 2선식 배전선로의 말단에 지상역률 cosθ인 부하 P(kW)가 접속되어 있고 선로 말단의 전압은 V(V)이다. 선로 한 가닥의 저항을 R(Ω)이라 할 때 송전단의 공급전력(kW)은?
이 상황을 물을 파이프로 보내는 경우로 비유해 볼게
- 말단에서 필요한 물(P)은 일정량이야.
- 하지만 파이프의 저항(선로 저항 R) 때문에 물이 중간에 새거나 손실돼.
- 그래서 물을 보내는 쪽(송전단)에서는 이 손실분까지 계산해서 더 많은 물을 보내야 해.
이걸 전기에 적용하면, 손실된 전력 Ploss를 더해서 송전단의 총 전력을 계산해야 하는 거야!


한 가닥의 저항이라는 표현이 없었다면, 2R이 아니고 R임
34. 전력계통의 전압을 조정하는 가장 보편적인 방법은?
① 발전기의 유효전력 조정
② 부하의 유효전력 조정
③ 계통의 주파수 조정
④ 계통의 무효전력 조정
유효전력: 실제로 "일"을 하는 에너지.
예를 들어, 전등이 빛을 내거나, 선풍기가 돌거나, 냉장고가 작동하는 데 사용되는 에너지야.
무효전력: 일을 하지는 않지만 전압과 전류를 유지하거나 전압을 조정하는 데 필요한 보조 에너지.
발전기의 유효전력 조정
유효전력은 실질적으로 일을 하는 전력입니다. 유효전력을 조정하면 전력 공급량에는 영향을 줄 수 있지만, 전압 조정에는 직접적으로 큰 영향을 주지 않아요.
부하의 유효전력 조정
부하가 소비하는 유효전력을 조정하는 것도 전압에 미미한 영향을 줄 수 있지만, 전압을 효과적으로 조정하기 위한 방법은 아니에요.
계통의 주파수 조정
주파수 조정은 주로 계통의 발전기와 부하의 유효전력 균형을 맞추는 데 사용돼요. 주파수는 전압 조정보다 전력의 안정성에 더 영향을 미칩니다.
계통의 무효전력 조정
무효전력은 전압을 올리거나 낮추는 데 가장 큰 영향을 미칩니다. 무효전력을 늘리면 전압이 상승하고, 무효전력을 줄이면 전압이 감소하는 특성이 있어요.
예를 들어:
- 커패시터(capacitor): 무효전력을 공급하여 전압을 올림.
- 리액터(reactor): 무효전력을 소비하여 전압을 내림.
35. 증기터빈내에서 팽창 도중에 있는 증기를 일부 추기하여 그것이 갖는 열을 급수가열에 이용하는 열사이클은?
① 랭킨사이클
② 카르노사이클
③ 재생사이클
④ 재열사이클
재생사이클은 **증기터빈에서 팽창 중인 증기를 일부 추출(추기)**해서, 이 증기의 열에너지를 **급수가열기(Feedwater Heater)**에서 급수를 데우는 데 사용하는 사이클이에요. 이렇게 하면 열효율을 높일 수 있어!
작동 원리
- 터빈 안에서 증기가 팽창하면서 일을 하지만, 일부 증기를 중간 단계에서 급수가열기로 보내서 데워줌.
- 데워진 급수는 다시 보일러로 보내지기 때문에 보일러에서 사용하는 연료를 절약할 수 있음.
- 결과적으로 열효율이 개선돼.
랭킨사이클
열기관의 기본 사이클로, 물이 보일러에서 증기로 가열되고, 터빈에서 팽창하며 일을 하고, 다시 응축기로 돌아가는 순환 사이클이에요. 하지만 급수가열 과정은 포함하지 않음.
카르노사이클
이상적인 열기관 사이클로, 모든 과정이 가역적(열손실이 없음)인 이론적 사이클이에요. 현실에서 구현이 불가능하며, 급수가열 과정과는 관련이 없음.
재생사이클
터빈에서 일부 증기를 추출해 급수를 가열하는 과정이 포함된 사이클로, 열효율 향상을 목적으로 함. 정답.
재열사이클
터빈에서 증기를 한 번 팽창시킨 뒤, 다시 보일러에서 재가열하고 추가 팽창시키는 방식으로, 고온·고압에서 작업을 하여 열효율을 높이는 방법이에요. 급수가열과는 관련이 없음.
36. 직격뢰에 대한 방호설비로 가장 적당한 것은?
① 복도체
② 가공지선
③ 서지흡수기
④ 정전방전기
직격뢰란 송전선로, 건축물, 설비 등에 번개가 직접 떨어지는 현상을 말합니다. 이를 방지하거나 보호하기 위해 사용하는 가장 적절한 방호설비는 **가공지선(Overhead Ground Wire)**입니다.
가공지선의 역할
- 송전선로 위에 접지된 금속선을 설치해 번개가 떨어졌을 때 가공지선이 먼저 충격을 흡수하고, 이를 지면으로 안전하게 방출합니다.
- 송전선로에 직접 낙뢰가 닿지 않게 해주는 일종의 보호막 역할을 합니다.
복도체
송전선로에서 코로나 방전을 줄이고 송전 효율을 높이는 데 사용되는 방식입니다. 직격뢰와는 직접적인 관련이 없습니다.
가공지선
송전선 위에 설치해 번개의 충격을 흡수하고 접지로 방출하여 송전선을 보호합니다. 직격뢰 방호설비로 가장 적합합니다.
서지흡수기
서지흡수기는 낙뢰로 인한 **간접적인 과전압(서지)**를 방지하는 데 사용됩니다. 직접 낙뢰를 방호하는 장치는 아닙니다.
정전방전기
전기적으로 충전된 장치나 물질의 정전기를 제거하는 장치로, 번개와 같은 고전압 충격을 직접적으로 방호하는 기능은 없습니다.

37. 역률 0.8(지상)의 2800kW 부하에 전력용 콘덴서를 병렬로 접속하여 합성역률을 0.9로 개선하고자 할 경우, 필요한 전력용 콘덴서의 용량(kVA)은 약 얼마인가?
역률 0.8(지상)인 2800kW 부하를 역률 0.9로 개선하기 위해 필요한 **전력용 콘덴서의 용량(kVA)**을 계산하자.
전력용 콘덴서는 **무효전력(Q)**를 보상해서 역률을 개선하는 역할을 해. 계산은 다음 단계를 따라가면 돼.
유효전력과 무효전력의 관계
- 유효전력(P)은 실제로 일을 하는 전력(2800kW).
- 무효전력(Q)은 전기를 사용하지 않고 "왔다 갔다"만 하는 전력인데, 이걸 줄여야 전기를 효율적으로 쓸 수 있어.
- 무효전력은 삼각형의 높이(빗변과 수평선 사이의 세로선)로 표현할 수 있어.


38. 비등수형 원자로의 특징에 대한 설명으로 틀린 것은?
① 증기 발생기가 필요하다.
② 저농축 우라늄을 연료로 사용한다.
③ 노심에서 비등을 일으킨 증기가 직접 터빈에 공급되는 방식이다.
④ 가압수형 원자로에 비해 출력밀도가 낮다.
| 특징 | 가압수형 원자로 (Pressurized Water Reactor) | 비등수형 원자로 ( Boilind Water Reactor ) |
| 냉각수 상태 | 가압된 냉각수가 끓지 않고 액체 상태로 순환 | 냉각수가 원자로 내부에서 끓어서 증기 발생 |
| 증기 발생기 | 필요함 (냉각수를 2차 계통으로 전달하여 증기 생성) | 필요 없음 (냉각수가 직접 증기로 변환 후 터빈 공급) |
| 열 전달 계통 | 1차 계통(냉각수)과 2차 계통(증기)으로 분리 | 1차 계통과 터빈이 직접 연결됨 |
| 연료 종류 | 저농축 우라늄 (농축도 약 3~5%) | 저농축 우라늄 (농축도 약 3~5%) |
| 출력 밀도 | 출력밀도가 높음 | 출력밀도가 상대적으로 낮음 |
| 운전 압력 | 고압 (약 150기압) | 중압 (약 70기압) |
| 구조 복잡성 | 증기 발생기가 있어 구조가 더 복잡 | 증기 발생기가 없어 구조가 비교적 단순 |
| 방사선 관리 | 방사능 물질이 2차 계통으로 넘어갈 가능성이 낮음 | 냉각수가 직접 터빈으로 가므로 방사선 관리가 더 중요 |
| 효율성 | 효율이 높음 | 상대적으로 효율이 낮음 |
| 사용 예 | 대부분의 원자로 설계에서 사용 | 일부 설계에서 사용 |
**비등수형 원자로(BWR, Boiling Water Reactor)**는 원자로 내부의 **냉각수가 직접 비등(끓는 것)**하여 생성된 증기가 터빈으로 바로 공급되는 방식이에요. 따라서 **증기 발생기(Steam Generator)**가 필요하지 않습니다.
증기 발생기가 필요하다
틀린 설명입니다. 비등수형 원자로는 냉각수 자체가 터빈을 돌리기 위한 증기를 생성하기 때문에 별도의 증기 발생기가 필요하지 않습니다. 증기 발생기는 **가압수형 원자로(PWR)**에서 사용됩니다.
저농축 우라늄을 연료로 사용한다
맞는 설명입니다. 비등수형 원자로에서는 저농축 우라늄(농축도 약 3~5%)을 연료로 사용합니다. 이는 다른 상업용 원자로들과 마찬가지입니다.
노심에서 비등을 일으킨 증기가 직접 터빈에 공급되는 방식이다
맞는 설명입니다. 비등수형 원자로의 핵심 특징으로, 노심에서 끓은 냉각수가 증기로 변해 터빈으로 직접 전달됩니다.
가압수형 원자로에 비해 출력밀도가 낮다
맞는 설명입니다. 비등수형 원자로는 설계 특성상 가압수형 원자로(PWR)에 비해 출력밀도가 낮습니다.
39. 저압배전선로에 대한 설명으로 틀린 것은?
① 저압 뱅킹 방식은 전압변동을 경감할 수 있다.
② 밸런서(balancer)는 단상 2선식에 필요하다.
③ 부하율(F)와 손실계수(H) 사이에는 1≥F≥H≥F2≥0의 관계가 있다.
④ 수용률이란 최대수용전력을 설비용량을 나눈 값을 퍼센트로 나타낸 것이다.
**밸런서(Balancer)**는 단상 3선식 배전선로에서 양쪽의 부하를 균등하게 분배하기 위해 사용하는 장치입니다.
저압 뱅킹 방식은 전압변동을 경감할 수 있다
맞는 설명입니다.
저압 뱅킹 방식은 여러 변압기의 출력을 병렬로 연결하여 공급하는 방식으로, 전압 변동을 줄이고 부하의 변동에 유연하게 대응할 수 있습니다.
부하율(F)와 손실계수(H) 사이에는 1≥F≥H≥F2≥0의 관계가 있다.
맞는 설명입니다.
부하율과 손실계수는 배전선로의 손실과 효율을 나타내는 척도로, 이 관계식은 일반적으로 적용됩니다.
수용률이란 최대수용전력을 설비용량으로 나눈 값을 퍼센트로 나타낸 것이다
맞는 설명입니다.
수용률은 설비를 얼마나 효율적으로 사용하는지를 나타내는 지표로, 최대수용전력과 설비용량의 비율을 퍼센트로 나타냅니다.
40. 선로, 기기 등의 절연 수준 저감 및 전력용 변압기의 단절연을 모두 행할 수 있는 중성점 접지방식은?
① 직접접지방식
② 소호리액터접지방식
③ 고저항접지방식
④ 비접지방식
직접접지방식
- 중성점을 직접 대지에 연결하는 방식.
- 과전압 억제 효과가 뛰어나서 선로와 기기의 절연 수준을 낮출 수 있음.
- 전력용 변압기에서 단절연 방식을 사용할 수 있음.
- 정답
소호리액터접지방식
- 중성점에 소호리액터(Arc Suppression Coil)를 연결하여 접지하는 방식.
- 주로 1선 지락사고 시 아크 소멸을 목적으로 사용하며, 절연 수준을 저감하는 용도로는 적합하지 않음.
고저항접지방식
- 중성점에 고저항을 연결해 접지하는 방식.
- 주로 과전압 제한보다는 지락 사고 전류를 억제하는 데 사용되며, 절연 수준 저감과는 관련이 적음.
비접지방식
- 중성점을 접지하지 않는 방식.
- 주로 소규모 계통에 사용되며, 과전압 억제 능력이 낮아 절연 수준 저감에는 부적합함.
2021.03.07
21. 다음과 같은 유황곡선을 가진 수력지점에서 최대사용 수량 0C로 1년간 계속 발전하는데 필요한 저수지의 용량은?

유량곡선은 수력발전소에서 사용되고, 횡축에 1년 365일을 종축에 유량을 표시하며, 유량이 큰 것부터 순차적으로 배열하여 이들 점을 연결한 것이다.
유량곡선은 강, 하천, 또는 수력발전소에서 일정 기간 동안의 유량 변화를 그래프로 나타낸 곡선이에요. 물이 얼마나 흐르고, 얼마나 모일 수 있는지 보여주는 중요한 자료야. 쉽게 말해, **시간에 따라 물의 흐름(유량)**을 기록한 그래프야. 비가 많이 오는 시기에는 유량이 많아져 곡선이 위로 올라감. 가뭄이나 건조한 시기에는 유량이 줄어들어 곡선이 아래로 내려감.
매일 필요한 유량은 C인데, PCD는 넘치기 때문에 괜찮지만, DEB는 C의 기준을 넘지 못해, 유량이 부족함. 따라서 DEB만큼의 저수지 용량이 필요
22. 통신선과 평행인 주파수 60Hz의 3상 1회선 송전선이 있다. 1선 지락때문에 영상전류가 100A 흐르고 있다면 통신선에 유도되는 전자유도전압(V)은? (단, 영상전류는 전 전선에 걸쳐서 같으며, 송전선과 통신선과의 상호 인덕턴스는 0.06mH/km, 그 평행길이는 40km이다.)


24. 3상 3선식 송전선에서 한 선의 저항이 10Ω, 리액턴스가 20Ω이며, 수전단의 선간전압이 60kV, 부하역률이 0.8인 경우에 전압강하율이 10%라 하면 이 송전선로는 약 몇 kW까지 수전할 수 있는가?
전압강하율(%) = [(송전단 전압 - 수전단 전압) / 송전단 전압] × 100
수전단 전압(Vr): 문제에서 주어진 값으로 60kV.
전원단 전압(Vs): 전압 강하율 10%를 이용해 계산된 값으로 66kV.
전압 강하(ΔV)는 Vs−Vr=66−60=6 kV
한 선의 저항 R=10 Ω, 리액턴스 X=20 Ω, 부하 역률은 cosθ=0.8
문제를 풀기 위해 두 가지 계산이 필요해:
- 송전선로를 흐르는 전류 I 계산.
- 송전선로가 수전할 수 있는 수전력 P 계산.


25. 기준 선간전압 23kV, 기준 3상 용량 5,000kVA, 1선의 유도 리액턴스가 15Ω일 때 % 리액턴스는?
%리액턴스 = 리액턴스 / 기준 임피던스
기준 임피던스 = 전압의 제곱 / 기준용량
즉 %리액턴스는 "리액턴스 × 기준 용량 ÷ 전압의 제곱"을 계산하는 거야! 😊
%X = X / Z
Z = V^2 / S
%X = X / (V^2 / S) = X*S / V^2 나 엑스스몰 입는다? 쩔지 v^^v
% 리액턴스는 주어진 리액턴스가 기준 용량과 기준 전압에 비해 얼마나 큰지를 퍼센트로 나타내는 거야.


27. 화력발전소에서 증기 및 급수가 흐르는 순서는?
① 절탄기 → 보일러 → 과열기 → 터빈 → 복수기
② 보일러 → 절탄기 → 과열기 → 터빈 → 복수기
③ 보일러 → 과열기 → 절탄기 → 터빈 → 복수기
④ 절탄기 → 과열기 → 보일러 → 터빈 → 복수기
절대보지마 과격하게 피터지는 복수 영화야.
1. 절탄기 (Economizer)
- 위치: 보일러에 들어가기 전.
- 역할: 보일러에 들어가기 전에 급수를 미리 데워주는 장치.
- 연료를 절약하고 보일러 효율을 높이기 위해 설치돼.
2. 보일러 (Boiler)
- 위치: 절탄기 다음.
- 역할: 물을 끓여서 고온·고압의 증기를 만들어냄.
- 연료를 태워 발생한 열로 물을 증기로 변환해.
3. 과열기 (Superheater)
- 위치: 보일러 다음.
- 역할: 보일러에서 만들어진 증기를 더 가열해 고온·고압의 건식 증기로 변환.
- 증기가 물방울을 포함하면 터빈에 손상을 줄 수 있기 때문에 완전히 건조한 증기를 만들어줘.
4. 터빈 (Turbine)
- 위치: 과열기 다음.
- 역할: 과열기에서 나온 고온·고압의 증기가 터빈을 돌리면서 기계적 에너지를 만들어냄.
- 이 기계적 에너지는 발전기를 통해 전기 에너지로 변환돼.
5. 복수기 (Condenser)
- 위치: 터빈 다음.
- 역할: 터빈에서 나온 증기를 식혀 다시 물로 응축.
- 이 물은 다시 절탄기로 보내져 순환되면서 발전 효율을 높여줘.
28. 연료의 발열량이 430kcal/kg일 때 화력발전소의 열효율(%)은? (단, 발전기의 출력은 PG[kW], 시간당연료의 소비량은 B[kg/h]이다.)
1kW = 860kal
(860Pg / 430B) * 100
29. 송전선로에서 1선 지락시에 건전상의 전압상승이 가장 적은 접지방식은?
① 비접지방식
② 직접접지방식
③ 저항접지방식
④ 소호리액터접지방식
다중접지 < 직접접지 < 고저항접지 < 비접지 < 소호리액터접지 (전위 상승은 역순) 다찍고보소
1선 지락 사고가 발생하면 건전상의 전압이 상승하는데, 직접접지방식은 중성점을 대지에 직접 연결하기 때문에 과전압 억제 효과가 가장 뛰어납니다. 따라서 건전상의 전압 상승이 가장 적습니다.
30. 접지봉으로 탑각의 접지저항 값을 희망하는 접지저항 값까지 줄일 수 없을 때 사용하는 것은?
① 가공지선
② 매설지선
③ 크로스본드선
④ 차폐선
**접지봉(ground rod)**은 전기 설비에서 땅과 전기 회로를 연결하기 위해 사용하는 금속 막대야. 주로 땅에 박아 전류를 안전하게 대지로 흘려보내는 역할을 해.
탑각은 송전탑의 기초 부분, 즉 송전탑이 땅과 연결된 가장 아래쪽의 부분을 말해요. 송전탑의 구조적인 안정성과 접지 시스템의 핵심이 되는 부분이에요.
접지봉만으로는 원하는 접지저항 값을 줄이기 어려운 경우, 매설지선을 추가로 사용해 접지 저항을 줄입니다. 매설지선은 땅에 길게 묻은 전선으로, 접지저항을 줄이고 접지 효과를 개선하는 데 사용됩니다.
가공지선
- 송전선 위에 설치된 금속선으로 낙뢰를 차단하거나 전력을 보호하는 역할을 합니다.
- 접지저항을 줄이는 직접적인 역할과는 관련이 없습니다.
매설지선
- 접지봉과 함께 땅에 묻어 접지 저항을 줄이는 데 사용됩니다.
- 특히, 접지봉의 효과가 부족한 경우 접지 면적을 넓히기 위해 추가적으로 설치합니다.
- 정답.
크로스본드선
- 지중 케이블에서 사용되며, 케이블의 도체와 차폐 간의 전위 차이를 조정하거나 고장 전류를 분산시키는 역할을 합니다.
- 접지저항을 줄이는 역할과는 무관합니다.
차폐선
- 전력 설비에서 외부의 전기적 간섭(예: 낙뢰)을 방지하는 금속선입니다.
- 접지저항을 줄이는 직접적인 역할은 하지 않습니다.
31. 전력 퓨즈(Power Fuse)는 고압, 특고압기기의 주로 어떤 전류의 차단을 목적으로 설치하는가?
① 충전전류
② 부하전류
③ 단락전류
④ 영상전류
**전력 퓨즈(Power Fuse)**는 고압 및 특고압 기기에서 발생하는 단락사고(Short Circuit) 시 흐르는 단락전류를 차단하기 위해 설치됩니다. 단락전류는 사고 시 매우 큰 값이 흐르기 때문에, 전력 퓨즈는 이를 신속하게 차단하여 기기와 선로를 보호합니다.
32. 정전용량이 C1이고, V1의 전압에서 Qr의 무효전력을 발생하는 콘덴서가 있다. 정전용량을 변화시켜 2배로 승압된 전압(2V1)에서도 동일한 무효전력 Qr을 발생시키고자 할 때, 필요한 콘덴서의 정전용량(C2)은?
현재 정전용량 C1과 전압 V1에서 무효전력 Qr를 발생시켜.
그런데, 전압을 2V1로 2배로 높였어.
이때도 동일한 무효전력 Qr를 발생시키려면, 정전용량 C2를 새로 계산해야 해.
무효전력(Qr)은 이렇게 계산돼:
Qr=ωCV^2
여기서:
- Qr: 무효전력
- C: 정전용량
- V^2: 전압의 제곱
- ω=2 π f : 각주파수
전압이 2배로 증가하면 V^2는 4배로 커져.
Qr를 똑같이 유지하려면 정전용량 C는 1/4로 줄여야 전압이 커지는 효과를 상쇄할 수 있어.
33. 송전선로에서의 고장 또는 발전기 탈락과 같은 큰 외란에 대하여 계통에 연결된 각 동기기가 동기를 유지하면서 계속 안정적으로 운전할 수 있는지를 판별하는 안정도는?
정태 안정도 (Static Stability)
- 전기 시스템이 정상 상태에서 작은 변화가 생겼을 때 안정성을 유지할 수 있는 능력.
(예: 부하가 조금 변했을 때도 계통이 안정적인가?)
과도 안정도 (Transient Stability)
- 전기 시스템에 큰 변화가 생겼을 때(예: 사고 발생, 발전기 탈락) 계통이 안정적으로 돌아오는 능력.
(예: 큰 사고 후 시스템이 정상으로 복귀 가능한가?)
동태 안정도 (Dynamic Stability)
- 전기 시스템이 시간이 지나면서 점진적으로 변화할 때 안정성을 유지하는 능력.
(예: 부하가 점진적으로 증가할 때 계통이 안정적인가?)
34. 송전선로의 고장전류계산에 영상 임피던스가 필요한 경우는?
1선지락/2선지락 -> 정상, 역상, 영상
2선(선간)단락 -> 정상, 역상
3상단락 -> 정상
35. 배전선로의 주상변압기에서 고압측-저압측에 주로 사용되는 보호장치의 조합으로 적합한 것은?

주상변압기는 일반적인 전주, 즉 전봇대 위에 있는 변압기를 말합니다. 배전선로의 주상변압기에서는 고압측과 저압측에 각각 다른 보호장치가 사용됩니다. 주요 보호장치의 역할과 적합한 조합은 다음과 같습니다:
- 고압측: 컷아웃 스위치
- 역할: 고압측 회로를 보호하고, 고장 시 변압기와 선로를 차단.
- 퓨즈가 내장되어 있어, 단락사고나 과부하 시 전류를 차단하는 역할을 합니다.
- 저압측: 캐치홀더
- 역할: 변압기의 저압측을 보호하며, 주로 단락사고나 과부하 시 전류를 차단.
- 변압기 저압측에 연결되어 선로 보호를 돕습니다.
리클로저 - 라인퓨즈
- 리클로저는 주로 고압 배전선로에서 큰 구간 보호에 사용되며, 변압기의 고압측 보호장치로는 일반적으로 사용되지 않습니다.
- 라인퓨즈는 분기회로 보호용으로 주로 사용되며, 리클로저와의 조합은 변압기 보호와는 거리가 있습니다.
36. 용량 20kVA인 단상 주상 변압기에 걸리는 하루 동안의 부하가 처음 14시간 동안은 20kW, 다음 10시간 동안은 10kW일 때, 이 변압기에 의한 하루 동안의 손실량(Wh)은? (단, 부하의 역률은 1로 가정하며, 변압기의 전 부하동손은 300W, 철손은 100W이다.)
1. 부하 동손 (Load Copper Loss)
- 뜻: 변압기의 부하(사용되는 전기) 때문에 발생하는 손실입니다. 변압기 내부의 **코일(도선)**에서 전류가 흐르면서 저항 때문에 열로 소모되는 에너지를 말합니다.
- 원인: 도선에 흐르는 전류와 도선의 저항 때문입니다.
- 저항의 법칙: 손실(W)=I^2 즉 전류(I)의 제곱에 비례합니다.
- 부하가 커질수록 전류도 증가하므로, 부하 동손은 부하에 따라 변화합니다.
- 특징: 부하가 클수록 동손도 커지며, 부하가 없으면 동손은 0이 됩니다.
비유: 도로 위에서 자동차(전류)가 많이 다닐수록 타이어가 닳는 것(손실)과 비슷합니다.
2. 철손 (Core Loss)
- 뜻: 변압기의 철심에서 발생하는 손실입니다. 철심은 교류 전류가 흐르면서 자화와 소자화를 반복하며 에너지가 손실됩니다. 이 에너지는 주로 열로 방출됩니다.
- 원인: 교류 전류에 의해 생기는 히스테리시스 손실과 와류 손실 때문입니다.
- 히스테리시스 손실: 철심 내부의 자성체가 자화와 소자화를 반복하며 발생하는 손실.
- 와류 손실: 교류 전류가 철심을 관통할 때 유도되는 전류(와류)가 철심 내부를 흐르면서 열로 소모되는 손실.
- 특징: 철손은 부하와 상관없이 항상 일정합니다. 변압기를 켜두기만 하면 발생합니다.
비유: 자석을 자꾸 구부리고 펴는 것처럼 반복하다 보면 내부에서 힘이 소모되어 열이 나는 현상과 비슷합니다.
1. 철손 계산
철손은 부하와 관계없이 항상 일정하므로 하루 동안의 철손은:
철손=100W×24h=2400Wh
2. 전 부하동손 계산
변압기의 **동손(부하 동손)**은 부하에 따라 달라지며, 부하율의 제곱에 비례합니다. 따라서 동손을 정확히 계산하려면 부하율이 필요합니다. 부하율은 변압기가 얼마나 가동되고 있는지를 나타내는 비율입니다.

단, 현재 역률이 1이기 떄문에 정격 용량이지만, 역률이 1미만이엇다면, 정격 용량에 역률을 곱해야한다.

3. 총 손실량 계산
총 손실량은 철손과 전 부하동손을 합한 값입니다:
총 손실량=2400Wh+4200Wh+750Wh=7350Wh
37. 케이블 단선사고에 의한 고장점까지의 거리를 정전용량측정법으로 구하는 경우, 건전상의 정전용량이 C, 고장점까지의 정전용량이 Cx, 케이블의 길이가 ℓ일 때 고장점까지의 거리를 나타내는 식으로 옳은 것은?
전체 길이 ℓ에서 정전용량이 C라면, 단위 길이당 정전용량은 C/ℓ 이다. 고장점까지의 거리 x에서의 정전용량 Cx는 (C/ℓ) * x 가 될 것이다. 따라서 x = (Cx * ℓ) / C 가 된다. 이 식이 정답이 될 것 같다.
39. % 임피던스에 대한 설명으로 틀린 것은?
① 단위를 갖지 않는다.
② 절대량이 아닌 기준량에 대한 비를 나타낸 것이다.
③ 기기 용량의 크기와 관계없이 일정한 범위의 값을 가진다.
④ 변압기나 동기기의 내부 임피던스에만 사용할 수 있다.
% 임피던스는 기기 내부의 저항과 리액턴스가 전압과 전류에 얼마나 영향을 주는지, 기준값에 대해 **퍼센트(%)**로 나타낸 값이에요. 쉽게 말하면, 기기 내부에 전기가 얼마나 방해를 받는지를 보여줍니다.
① 단위를 갖지 않는다.
- % 임피던스는 그냥 비율을 퍼센트로 표현한 거라서 단위가 없어요. 예를 들어, 5% 임피던스는 "정격값의 5%만큼 저항이 있다"는 뜻이에요.
② 절대량이 아닌 기준량에 대한 비를 나타낸 것이다.
- % 임피던스는 정격 용량과 정격 전압을 기준으로 계산한 값이에요. 예를 들어, 변압기의 크기가 달라도 계산 기준은 같아요.
③ 기기 용량의 크기와 관계없이 일정한 범위의 값을 가진다.
- % 임피던스는 기기의 용량(크기)이 커져도 그 값 자체는 변하지 않아요. 변압기마다 설계에 따라 정해져 있어요.
④ 변압기나 동기기의 내부 임피던스에만 사용할 수 있다.
- % 임피던스는 변압기와 동기기뿐만 아니라 전력 시스템의 다른 기기에도 쓸 수 있어요. 예를 들어, 송전선로나 회로에도 적용할 수 있어요.
40. 역률 0.8, 출력 320kW인 부하에 전력을 공급하는 변전소에 역률 개선을 위해 전력용 콘덴서 140kVA를 설치했을 때 합성역률은?
무효전력 = 피상전력 * sin = 유효전력 * tan
Q = S * sin = P * tan
피상전력 = √(유효전력² + 무효전력²)
S = √(P² + Q'²)
먼저 역률이 0.8이고 유효전력이 320kW라면 피상전력은 어떻게 될까? 역률은 유효전력을 피상전력으로 나눈 값이니까,
피상전력 S = P / 역률 = 320kW / 0.8 = 400kVA가 되겠지.
무효전력 Q는 피상전력의 제곱에서 유효전력의 제곱을 뺀 것의 제곱근이야.
즉, Q = √(S² - P²) = √(400² - 320²) = √(160,000 - 102,400) = √57,600 = 240kVar가 되겠네.
이제 여기에 140kVA의 콘덴서를 설치했어. 콘덴서는 무효전력을 공급해주기 때문에 무효전력을 감소시켜. 근데 여기서 주의할 점은 콘덴서의 용량이 kVA로 주어졌다는 거야. 콘덴서는 무효전력만을 공급하므로, 콘덴서의 무효전력은 -140kVar가 되겠지(콘덴서가 무효전력을 흡수하는 게 아니라 공급하는 거니까 부호가 음수가 될 수도 있는데, 여기서는 무효전력을 감소시키는 효과가 있으니까 그냥 240kVar에서 140kVar를 빼는 걸로 생각해도 될 것 같아).
그래서 새로운 무효전력 Q' = 240kVar - 140kVar = 100kVar가 되겠네. 유효전력은 그대로 320kW이고, 새로운 피상전력 S' = √(P² + Q'²) = √(320² + 100²) = √(102,400 + 10,000) = √112,400 ≈ 335.4kVA.
그러면 합성역률은 유효전력을 새로운 피상전력으로 나눈 값이니까, 역률 = P / S' = 320kW / 335.4kVA ≈ 0.954, 즉 약 95.4%가 되겠네.
2020.09.26
21. 전력용콘덴서를 변전소에 설치할 때 직렬리액터를 설치 하고자 한다. 직렬리액터의 용량을 결정하는 계산식은? (단, f0는 전원의 기본주파수, C는 역률 개선용 콘덴서의 용량, L은 직렬리액터의 용량이다.)
변전소에 전력용 콘덴서를 설치해서 **고조파(전기 잡음)**를 줄이려 해.
그런데 콘덴서만 설치하면 고조파 문제가 심해질 수 있어!
그래서 직렬 리액터라는 장치를 함께 설치해야 해.


또는 아래와 같은 방식으로 풀 수 있음 (5고조파는 일단 무시)

23. 증기 사이클에 대한 설명 중 틀린 것은?
① 랭킨사이클의 열효율은 초기 온도 및 초기 압력이 높을수록 효율이 크다.
② 재열사이클은 저압터빈에서 증기가 포화상태에 가까워졌을 때 증기를 다시 가열하여 고압터빈으로 보낸다.
③ 재생사이클은 증기 원동기 내에서 증기의 팽창 도중에 증기를 추출하여 급수를 예열한다.
④ 재열재생사이클은 재상사이클과 재열사이클을 조합하여 병용하는 방식이다.
- 랭킨사이클의 열효율은 초기 온도 및 초기 압력이 높을수록 효율이 크다.
맞는 설명입니다. 초기 온도와 초기 압력이 높을수록 사이클의 열효율이 증가하는데, 이는 고온 고압 상태에서 증기가 더 많은 일을 할 수 있기 때문입니다. - 재열사이클은 저압터빈에서 증기가 포화상태에 가까워졌을 때 증기를 다시 가열하여 고압터빈으로 보낸다.
틀린 설명입니다. 재열사이클은 고압터빈에서 나온 증기를 다시 가열한 후 저압터빈으로 보내는 방식입니다. 저압터빈에서 포화상태에 가까워지기 때문에 재열을 통해 증기의 건도를 높여 효율을 개선하고 터빈 손상을 줄이는 것이 목적입니다. - 재생사이클은 증기 원동기 내에서 증기의 팽창 도중에 증기를 추출하여 급수를 예열한다.
맞는 설명입니다. 재생사이클은 팽창 과정 중 일부 증기를 추출해 보일러로 돌아오는 급수를 예열함으로써 열효율을 개선하는 방식입니다. - 재열재생사이클은 재상사이클과 재열사이클을 조합하여 병용하는 방식이다.
맞는 설명입니다. 재열과 재생 두 방식을 결합한 사이클로 열효율을 최대화하려는 목적을 가지고 있습니다.
24. 배전선로의 3상 3선식 비접지 방식을 채용할 경우 나타나는 현상은?
① 1선 지락 고장 시 고장 전류가 크다.
② 1선 지락 고장 시 인접 통신선의 유도장해가 크다.
③ 고저압 혼촉고장 시 저압선의 전위상승이 크다.
④ 1선 지락 고장 시 건전상의 대지 전위상승이 크다.
3상 3선식 비접지 방식은 중성점이 접지되지 않은 시스템입니다. 이 방식에서 1선 지락 고장이 발생하면, 고장 전류는 작지만(①번 오답), 건전상(지락되지 않은 상)의 대지 전위가 상승하게 됩니다(④번 정답). 이는 중성점이 접지되지 않아 고장 시 전위가 불안정해지기 때문입니다.
②번은 비접지 시스템에서 고장 전류가 작아 유도장해가 크지 않으므로 오답입니다.
③번은 고저압 혼촉고장과 관련된 내용으로, 비접지 시스템과 직접적인 연관성이 없으므로 오답입니다.
25. 파동임피던스 Z1 = 500Ω인 선로에 파동임피던스 Z2 = 1500Ω인 변압기가 접속되어 있다. 선로로부터 600kV의 전압파가 들어왔을 때, 접속점에서의 투과파 전압(kV)은?
주어진 문제는 전압파가 서로 다른 파동임피던스를 가진 두 선로(또는 장치) 사이를 통과할 때 발생하는 투과파 전압을 계산하는 것입니다. 이를 위해 **투과계수(Transmission Coefficient)**를 사용합니다.
투과계수 T는 다음과 같이 정의됩니다:

- Z1=500 Ω (선로의 파동임피던스)
- Z2=1500 Ω (변압기의 파동임피던스)
26. 전력원선도에서 구할 수 없는 것은?
① 송·수전할 수 있는 최대 전력
② 필요한 전력을 보내기 위한 송·수전단 전압간의 상차각
③ 선로 손실과 송전 효율
④ 과도극한전력
원선도로부터 알 수 있는 사항
- 필요한 전력을 보내기 위한 송, 수전단 전압간의 상차각
- 송, 수전할 수 있는 최대 전력
- 선로 손실과 송전 효율
- 수전단의 역률
- 조상 용량
상하차 최대 전력으로 하지말고, 너 체력 손실 효율과 손의 역률 따져가며 해. 안그러면 조상님 본다.
원선도로부터 알 수 없는 사항
- 과도 안정 극한 전력
- 코로나 손실
- 도전율
내 친구 곽호두
28. 송전전력, 송전거리, 전선로의 전력손실이 일정하고, 같은 재료의 전선을 사용한 경우 단상 2선식에 대한 3상 4선식의 1선당 전력비는 약 얼마인가? (단, 중성선은 외선과 같은 굵기이다.)
일반적으로 전력 P = V * I cos
1. 단상 2선식과 3상 4선식의 전력 공식

2. 1선당 전력 계산

3. 1선당 전력비 계산

29. 66/22 kV, 2000 kVA 단상변압기 3대를 1뱅크로 운전하는 변전소로부터 전력을 공급받는 어떤 수전점에서의 3상단락전류는 약 몇 A 인가? (단, 변압기의 %리액턴스는 7 이고, 선로의 임피던스는 0 이다.)
단락 전류 = 정격 전류 / %리액턴스
변압기 용량 = 정격 전류 * 전압



31. 다음 중 그 값이 항상 1 이상인 것은?
① 부등률
② 부하율
③ 수용률
④ 전압강하율
부등률은 전기를 동시에 쓰는지, 아니면 시간대를 나눠서 쓰는지를 나타내는 지표. 높을 수록, 시간대 나눠서 쓴다.
부등률 (Diversity Factor)
부등률은 전기를 동시에 쓰는지, 아니면 시간대를 나눠서 쓰는지를 나타내는 지표.
부등률은 시스템의 최대 수용 전력과 각 부하의 개별 최대 전력의 합의 비율입니다. 부등률은 항상 1 이상입니다. 이유는 모든 부하가 동시에 최대 전력을 소비하는 경우는 없기 때문입니다. 따라서 분모(시스템 최대 전력)가 분자(개별 최대 전력 합)보다 작거나 같아지는 일이 없습니다.
예를 들어, 가게의 최대 손님 수용량은 50명인데, 사람들이 오전에 10명, 오후에 20명, 저녁에 30명 따로따로 온다면 (10+20+30) / 50 = 1.2
부하율 (Load Factor)
부하율은 평균 부하와 최대 부하의 비율입니다. 부하율은 0 이상 1 이하입니다. 이유는 평균 부하는 최대 부하보다 항상 작거나 같기 때문입니다.
수용률 (Utilization Factor)
수용률은 설비 용량에 대한 실제 최대 부하의 비율입니다. 수용률은 0 이상 1 이하입니다. 설비 용량을 초과해서 사용하지 않는 한, 최대 부하는 설비 용량보다 작거나 같아야 합니다.
전압강하율 (Voltage Drop Rate)
전압강하율은 송전 전압 대비 전압 강하의 비율입니다. 전압강하율은 0 이상이며, 이상적인 시스템에서는 작을수록 좋습니다. 일반적으로 1보다 작습니다.
33. 전력계통을 연계시켜서 얻는 이득이 아닌 것은?
① 배후 전력이 커져서 단락용량이 작아진다.
② 부하 증가 시 종합첨두부하가 저감된다.
③ 공급 예비력이 절감된다.
④ 공급 신뢰도가 향상된다.
전력계통을 연계란 전기 공급망(발전소, 송전선 등)을 여러 개 연결해서 하나의 큰 전력망으로 만드는 걸 말해.
예를 들어, 지역 A와 지역 B가 각각 전력을 공급받고 있다면, 둘을 연결해서 한쪽 전력이 부족할 때 다른 쪽에서 전기를 공급할 수 있게 만들어주는 거야. 이렇게 하면 전기를 더 안정적이고 효율적으로 쓸 수 있지.
배후 전력은 도와줄 수 있는 전력이라고 보면 돼. 전력계통을 연계하면 여러 지역이 연결되니까, 갑자기 전기를 많이 써야 할 상황이 오더라도 다른 지역에서 전기를 보내줄 수 있어. 이게 배후 전력이 커진다는 뜻이야. 전력계통을 연계하면 배후 전력(지원 가능한 전력)이 커지는 것은 맞지만, 이로 인해 단락용량은 오히려 증가합니다. 단락용량은 계통의 전력 크기와 관련이 있기 때문에, 연계된 계통에서 단락전류가 더 커질 수밖에 없습니다. 따라서 이 선택지는 잘못된 내용이며, 정답이 됩니다.
첨두부하는 가장 전기를 많이 쓰는 시간대의 전력 사용량이야. 모든 지역이 전기를 많이 쓰는 시간이 꼭 똑같지 않아. 예를 들어, A지역은 오전에, B지역은 오후에 전기를 많이 쓸 수도 있어. 전력계통을 연계하면 각 지역이 다른 시간대에 전기를 많이 쓰니까, 전체적으로 최고치(첨두부하)가 줄어드는 효과가 있어.
공급 예비력은 혹시 문제가 생겼을 때 대비할 수 있는 여유 전력이야. 발전소가 고장 나거나 갑자기 전기를 많이 쓰게 되면 추가로 전력을 공급할 준비가 돼 있어야 해. 전력계통을 연계하면 여러 발전소가 연결되니까, 각 지역이 따로 예비 전력을 많이 갖고 있을 필요 없이 함께 나눠서 쓸 수 있어.
공급 신뢰도는 전기를 끊기지 않고 안정적으로 공급할 수 있는 능력을 말해. 전력계통을 연계하면 한 지역에서 문제가 생겨도 다른 지역에서 전기를 끌어올 수 있으니까, 전기가 끊길 가능성이 줄어들어. 그래서 신뢰도가 높아지는 거야.
34. 한류리액터를 사용하는 가장 큰 목적은?
① 충전전류의 제한
② 접지전류의 제한
③ 누설전류의 제한
④ 단락전류의 제한
리액터 종류
"한류"는 큰 사고(단락사고)를 제한.
"접지"는 땅으로 흐르는 전류(접지전류)를 제한.
"분로"는 전압을 낮춰주는 역할.
"직렬"은 전류를 제한하거나 조정.
"소호"는 불꽃(아크)을 없앰.
한류리액터는 **전력계통에서 단락사고(짧은 회로)**가 발생했을 때, 단락전류를 제한하기 위해 설치되는 장치야. 단락사고가 나면 엄청난 전류가 흐르는데, 이걸 그대로 두면 기기나 설비가 손상되거나 화재가 발생할 수 있어. 그래서 한류리액터를 이용해 단락전류를 줄여주는 거야.
37. 개폐서지의 이상전압을 감쇄할 목적으로 설치하는 것은?
① 단로기
② 차단기
③ 리액터
④ 개폐저항기
개폐서지는 전력기기를 개폐(스위칭)할 때 발생하는 이상전압을 말합니다. 전력계통에서 차단기 등의 스위칭 과정에서 전압이 순간적으로 급격히 상승하거나 진동이 발생하는데, 이걸 방치하면 기기나 설비가 손상될 수 있어요. 이를 감쇄(줄이거나 완화)하기 위해 설치하는 것이 개폐저항기입니다.
38. 반지름 0.6cm인 경동선을 사용하는 3상 1회선 송전선에서 선간거리르 2m로 정삼각형 배치할 경우, 각 선의 인덕턴스(mH/km)는 약 얼마인가
L = 0.05 + 0.46051 × log₁₀(D / r)
39. 수력발전소의 형식을 취수방법, 운용방법에 따라 분류할 수 있다. 다음 중 취수방법에 따른 분류가 아닌 것은?
① 댐식
② 수로식
③ 조정지식
④ 유역 변경식
수력발전소는 취수방법(물을 모으는 방식)이나 운용방법(운영 방식)에 따라 분류됩니다.
취수방법
- 수로식: 수로를 통해 강이나 호수에서 물을 끌어와 발전.
- 댐식: 댐에 물을 저장한 후 발전.
- 댐수로식: 댐과 수로를 결합해 물을 끌어와 발전.
- 유역변경식: 물길을 변경해 다른 지역의 물을 끌어와 발전.
운용방법
- 유입식: 강물 등 자연 유입된 물을 바로 사용해 발전.
- 저수지식: 물을 저장했다가 필요할 때 방출해 발전.
- 조정지식: 물을 단기 저장하고 시간에 따라 조절하며 발전.
- 양수식: 전력을 저장하기 위해 낮에 물을 끌어올리고 필요 시 방출해 발전.
- 조력식: 바닷물의 조수간만의 차를 이용해 발전.
40. 부하의 역률을 개선할 경우 배전선로에 대한 설명으로 틀린 것은? (단, 다른 조건을 동일하다.)
① 설비용량의 여유 증가
② 전압강하의 감소
③ 선로전류의 증가
④ 전력손실의 감소
역률(Power Factor)은 전력 시스템에서 전력을 얼마나 효율적으로 사용하는지를 나타내는 값입니다.
역률이 개선되면, 전력 시스템에서 흐르는 전류가 줄어들어 전력 손실(I^2R)이 감소합니다.
역률이 낮으면 전류가 크고, 이로 인해 선로에서의 전압강하가 큽니다.
역률이 높아지면, 같은 설비로 더 많은 부하를 공급할 수 있어 이용률이 증가합니다.
역률이 높아지면 무효전력이 줄어들기 때문에 선로를 흐르는 전류가 감소합니다. 무효전력이 줄어들면 피상전력이 감소하고, 같은 전압 조건에서는 선로를 흐르는 전류가 줄어들게 돼.
2020.08.22
21. 계통의 안정도 증진대책이 아닌 것은?
① 발전기나 변압기의 리액턴스를 작게 한다.
② 선로의 회선수를 감소시킨다.
③ 중간 조상 방식을 채용한다.
④ 고속도 재폐로 방식을 채용한다.
중간 조상 방식은 송전선로의 중간에 조상기(무효전력을 보상하는 장치)를 설치하여 전력 계통의 전압과 안정성을 개선하는 방법이에요. 조상기는 송전선로에서 발생하는 무효 전력(reactive power)을 보상함으로써 전압 강하를 줄이고, 전력 흐름을 더 효율적으로 만들어줘요.
고속도 재폐로 방식은 전력 계통에 사고(단락, 고장)가 발생했을 때, 이를 빠르게 차단한 뒤 다시 회로를 재연결(재폐로)하는 방법이에요. 이 과정이 빠르게 이루어져야 계통의 안정성을 유지하고, 전력 공급을 계속할 수 있어요.
① 발전기나 변압기의 리액턴스를 작게 한다:
- 리액턴스를 작게 하면 임피던스가 감소하여 전력 흐름이 원활해지고, 계통의 안정도가 향상됩니다. 따라서 이는 안정도 증진대책입니다.
② 선로의 회선수를 감소시킨다:
- 선로의 회선수를 감소시키면 임피던스가 증가하고, 전력 전송 능력이 저하됩니다. 이는 계통의 안정도를 저하시키는 요인입니다. 따라서 이는 안정도 증진대책이 아닙니다.
③ 중간 조상 방식을 채용한다:
- 중간 조상 방식은 선로의 전압을 안정화하고 무효 전력을 보상하여 계통의 안정도를 향상시킵니다. 따라서 이는 안정도 증진대책입니다.
④ 고속도 재폐로 방식을 채용한다:
- 고속도 재폐로 방식은 고장 발생 시 빠르게 회로를 복구하여 계통의 안정성을 유지합니다. 따라서 이는 안정도 증진대책입니다. 고속도 AVR을 채용한다도 맞음.
중성점 직접접지방식을 채용한다.
22. 3상 3선식 송전선에서 L을 작용 인덕턴스라 하고, Le 및 Lm은 대지를 귀로로하는 1선의 자기 인덕턴스 및 상호 인덕턴스라고 할때 이들 사이의 관계식은?
- 자기 인덕턴스 Le:
- 각 선이 대지와의 관계에서 가지는 자기 유도 성분입니다.
- 송전선로의 전류가 생성하는 자기장에 의해 형성됩니다.
- 상호 인덕턴스 Lm:
- 다른 선로 간의 자기 유도 성분입니다.
- 각 선에서 흐르는 전류가 서로 영향을 주어 형성됩니다.
- 작용 인덕턴스 L:
- 송전선로 전체에서 실제로 작용하는 인덕턴스 값입니다.
- 상호 인덕턴스가 자기 인덕턴스를 상쇄하는 효과를 반영한 값입니다.
- L=Le−Lm 나(자기)에서 상호 친구꺼는 빼야지
23. 1상의 대지 정전용량이 0.5㎌, 주파수가 60Hz인 3상 송전선이 있다. 이 선로에 소호리액터를 설치 한다면 소호리액터의 공진 리액턴스는 약 몇 Ω이면 되는가?
공진 리액턴스(유도 리액턴스) 공식

다만 L 인덕턴스가 문제에 주어지지 않았기 때문에 다른 방법으로 해결해야 함.
소호리액터의 공진 리액턴스 (XL)는 대지 정전용량에 의해 설정된 용량 리액턴스 (XC)와 동일해야 합니다.

정전용량 리액턴스 공식

25. 수전단 전력 원선도의 전력 방정식이 P2r+(Qr+400)2=250000으로 표현되는 전력계통에서 가능한 최대로 공급할 수 있는 부하전력(Pr)과 이때 전압을 일정하게 유지하는데 필요한 무효전력(Qr)은 각각 얼마인가?
원의 반지름
반지름은 방정식의 오른쪽 항의 제곱근으로 계산됩니다

1. 최대 부하전력 Pr 계산
최대 부하전력 Pr은 원의 중심에서 Pr 축까지의 최대 거리로, 이는 원의 반지름과 같습니다.

2. 이때 필요한 무효전력 Qr 계산
최대 부하전력 Pr=500 MW일 때, 무효전력 Qr은 원의 중심의 Qr 좌표와 같습니다. 중심의 Qr 좌표는 −400
가능한 최대 부하전력 Pr: 500 MW
이때 필요한 무효전력 Qr: -400 MVAR
26. 송전선에서 뇌격에 대한 차폐 등을 위해 가선하는 가공지선에 대한 설명으로 옳은 것은?
① 차폐각은 보통 15 ~ 30℃ 정도로 하고 있다. 결선의
② 차폐각이 클수록 벼락에 대한 차폐효과가 크다.
③ 가공지선을 2선으로 하면 차폐각이 적어진다.
④ 가공지선으로는 연동선을 주로 사용한다
차폐각은 보통 15 ~ 30° 정도로 하고 있다.
- 차폐각은 가공지선과 송전선 사이에서 하늘이 보이는 각도를 말하며, 이 각도가 35°에서 45°로 설정되는 것이 일반적입니다. 이렇게 설정해야 벼락으로부터 송전선을 효과적으로 보호할 수 있습니다.
차폐각이 클수록 벼락에 대한 차폐 효과가 크다.
- 차폐각이 작을수록 송전선을 더 잘 보호할 수 있습니다. 차폐각이 크면 송전선이 가공지선의 보호 범위를 벗어나 벼락에 더 취약해집니다.
가공지선을 2선으로 하면 차폐각이 적어진다.
- 가공지선을 두 개 설치하면 송전선을 더 넓은 범위에서 보호할 수 있어 차폐각이 작아지고, 벼락 보호 효과가 향상됩니다.
가공지선으로는 연동선을 주로 사용한다.
- 가공지선에는 주로 아연 도금 강선이나 **강심 알루미늄선(ACSR)**을 사용합니다. 연동선은 주로 전력선을 구성하는 도체로 사용됩니다.
27. 3상 전원에 접속된 △결선의 커패시터를 Y결선으로 바꾸면 진상 용량 Q△(kVA)는? (단, QY는 △결선된 커패시터의 진상 용량이고, QY는 Y 결선된 커패시터의 진상 d용량이다.)
Qy = wcV^2 = 2 πfcV^2
Q △ = 3wcV^2 = 6 πfcV^2
즉 3분의1
3상 전원에 접속된 △결선 커패시터를 Y결선으로 바꿀 때의 진상 용량을 계산하기 위해 각 결선의 특징과 전력 용량의 관계를 살펴보겠습니다.
1. △결선과 Y결선의 기본 관계
- △결선에서는 각 상의 커패시터가 선간 전압 VL에서 동작합니다.
- Y결선에서는 각 상의 커패시터가 상전압 VP에서 동작합니다.
- 선간 전압 VL과 상전압 VP의 관계는 다음과 같습니다.

2. 커패시터 용량의 관계
커패시터의 진상 용량은 무효전력(Q)으로 표현됩니다:


28. 송전 철탑에서 역섬락을 방지하기 위한 대책으로 옳은 것은?
① 가공지선의 설치
② 탑각 접지저항의 감소
③ 전력선의 연가
④ 아크혼의 설치
매설지선 또는 탑각의 접지저항 감소
역섬락(Reverse Flashover)은 송전 철탑에 벼락이 떨어졌을 때, 철탑과 접지 시스템 사이의 전위 차가 크게 발생하면서 송전선으로 방전이 일어나는 현상입니다. 이로 인해 송전선에 고장이 발생할 수 있습니다. 이를 방지하기 위해서는 철탑과 접지 저항을 조정하거나, 적절한 장치를 설치하는 대책이 필요합니다.
철탑의 탑각(철탑과 대지가 접촉하는 부분)의 접지 저항을 낮추면, 벼락 전류가 대지로 더 쉽게 흘러가도록 유도할 수 있습니다.
29. 배전선로의 전압을 3kV에서 6kV로 승압하면 전압강하율(δ)은 어떻게 되는가? (단, δ3kV는 전압이 3kV일 때 전압강하율, δ6kV는 전압이 6kV일 때 전압강하율이며, 부하는 일정하다고 한다.)
전압강하율(%) = [(송전단 전압 - 수전단 전압) / 송전단 전압] × 100
전압강하는 n배 줄어들고
전압강하율, 전력손실률, 전선의 단면적/굵기는 n^2배로 줄어들고
공급전력은 n^2배로 늘어남
30. 정격전압 6600V, Y결선, 3상 발전기의 중성점을 1선 지락시 지락전류를 100A로 제한하는 저항기로 접지하려고 한다. 저항기의 저항값은 약 몇 Ω인가?
옴의 법칙에 의해
V = IR
Y결선의 경우, 중성점 전압은 상전압입니다.
정격전압 6600 V는 선간 전압이므로, 상전압은 다음과 같이 계산됩니다:

따라서 3810 = 100 * R
즉 R = 38.1
31. 배전선의 전력손실 경감 대책으로 옳지 않은 것은?
① 다중접지 방식을 채용한다.
② 역률을 개선한다.
③ 배전 전압을 높인다.
④ 부하의 불평형을 방지한다.
1. 다중접지 방식을 채용한다.
- 다중접지 방식은 배전선의 안정성을 높이고, 사고 발생 시 보호장치가 신속히 동작하도록 하는 데 도움을 줍니다.
하지만 전력 손실과 직접적인 연관은 없습니다.
2. 역률을 개선한다.
- 역률을 개선하면 무효 전력을 줄이고, 전선에 흐르는 전류를 감소시켜 전력 손실이 줄어듭니다. 역률 개선은 전력 손실 경감에 매우 효과적인 방법입니다.
3. 배전 전압을 높인다.
- 배전 전압을 높이면 같은 전력을 전달할 때 흐르는 전류가 감소합니다. 전류가 줄어들면 전력 손실(I2R)도 줄어듭니다. 배전 전압을 높이는 것은 전력 손실을 줄이는 효과적인 방법입니다.
4. 부하의 불평형을 방지한다.
- 부하가 불평형하면 선로에 전류가 고르게 분포하지 않아 전력 손실이 증가합니다. 부하의 불평형을 방지하면 전력 손실을 줄이는 데 효과적입니다.
32. 조속기의 폐쇄시간이 짧을수록 나타나는 현상으로 옳은 것은?
① 수격작용은 작아진다.
② 발전기의 전압 상승률은 커진다.
③ 수차의 속도 변동률은 작아진다.
④ 수압관 내의 수압 상승률은 작아진다.
조속기라는 것은 수력발전에서 부하가 적을 때는 회전수가 상승하고 부하가 많을 때는 회전수가 감소하는 것을 막기 위해 수차의 회전수를 일정하게 유지하도록 하는 물로 유량을 조정하는 장치 입니다.
조속기의 폐쇄시간이란, 수차 발전기에서 물의 흐름(유량)을 조절하는 조속기가 밸브를 닫는 데 걸리는 시간을 말해요. 폐쇄시간이 짧아질수록 물의 흐름 변화가 급격해지고, 이로 인해 특정 현상이 나타납니다. 각 선택지를 하나씩 검토해 볼게요.
1. 수격작용은 작아진다. (①)
- **수격작용(워터 해머)**은 수압관(물을 전달하는 관) 내에서 물의 흐름이 갑자기 변할 때 발생하는 현상이에요.
- 조속기의 폐쇄시간이 짧아지면, 물의 흐름이 갑자기 멈추거나 바뀌게 되어 수격작용은 더 커집니다.
2. 발전기의 전압 상승률은 커진다. (②)
- 조속기의 폐쇄시간은 물의 흐름과 관련이 있고, 이는 발전기의 회전 속도에 영향을 줍니다.
- 하지만 조속기의 폐쇄시간과 발전기의 전압 상승률은 직접적인 연관이 없어요.
3. 수차의 속도 변동률은 작아진다. (③)
- 조속기의 폐쇄시간이 짧아지면 조속기가 더 빠르게 반응해서 수차의 속도 변동률을 작게 유지할 수 있어요.
4. 수압관 내의 수압 상승률은 작아진다. (④)
- 조속기가 밸브를 빠르게 닫으면 물의 흐름이 갑자기 멈추면서 수압관 내부의 수압이 급격히 상승해요.
- 즉, 폐쇄시간이 짧아질수록 수압 상승률은 커집니다.
35. 표피효과에 대한 설명으로 옳은 것은?
① 표피효과는 주파수에 비례한다.
② 표피효과는 전선의 단면적에 반비례한다.
③ 표피효과는 전선의 비투자율에 반비례한다.
④ 표피효과는 전선의 도전율에 반비례한다.
표피효과란 전선 안에서 전기가 흐를 때, 전선 중심보다는 표면 쪽으로만 전기가 흐르는 현상이야. 이로 인해 도체의 유효 저항이 증가하는 효과가 있습니다.
표피효과는 주파수, 단면적, 비투자율, 도전율에 모두 비례한다는게 맞다.
주파수가 높아질수록 전류가 더 자주 왔다 갔다 하게 돼. 전류가 자주 바뀌면 자기장이 더 강하게 생기고, 이 자기장이 전류를 중심부로 흐르지 못하게 막아.
전선의 단면적이 크면 전선 내부에서 자기장의 영향을 더 많이 받게 돼. 큰 단면적일수록 표면과 중심의 차이가 커지고, 전류가 더 표면으로 몰리게 돼.
비투자율은 전류에 의해 생기는 자기장의 강도를 나타내. 비투자율이 클수록 자기장이 강해져서 전류가 중심부로 못 흐르고 표면으로 더 몰려.
도전율은 전기가 얼마나 잘 흐르느냐를 나타내. 도전율이 클수록 전류가 중심부로도 흐를 수 있을 것 같지만, 실제로는 도전율이 클수록 전류가 표면으로 더 잘 흐르는 특성이 있어.
침투깊이 δ는 전류가 전선 내부로 얼마나 깊게 흐르는지를 나타내는 값이에요. 침투깊이 δ가 작을수록 전류가 전선 중심으로 흐르기 어려워지고, 표피효과가 더 강해지는 거예요. 침투깊이는 아래와 같이 계산 됨.

주파수 f가 높아질수록:
- δ가 작아져요 → 전류가 표면 쪽으로만 몰림 → 표피효과 증가.
전선의 저항률 ρ가 높을수록:
- δ가 작아져요 → 전류가 중심으로 잘 흐르지 못함 → 표피효과 증가.
투자율 μ가 높을수록:
- 자기장이 강해져서 중심으로 전류가 흐르기 더 어려워짐 → 표피효과 증가.
36. 그림과 같은 이상 변압기에서 2차 측에 5Ω의 저항 부하를 연결하였을 때 l차 측에 흐르는 전류(I)는 약 몇 A인가?

변압기는 전압을 높이거나 낮추는 기계로, 1차측(입력)과 2차측(출력) 간에 다음과 같은 관계가 있어요:
- 전력은 1차측과 2차측이 동일하다. P1 = P2
- 전압은 권선비와 비례한다.
- 전류는 권선비의 역비례 관계다.
전압이 33배면, 전류는 33분의 1
옴의 법칙에 의해 2차측 100 = I * 5
즉 2차의 I는 20
따라서 1차측의 전류는 20/33 = 0.6
38. 전압과 유효전력이 일정할 경우 부하 역률이 70%인 선로에서의 저항 손실(P70%)은 역률이 90%인 선로에서의 저항 손실(P90%)과 비교하면 약 얼마인가
전력 = V * I * 역률
전력, 전압이 일정하니, 역률을 증가 시키면 전류는 줄어들음.
저항 = I^2 R로, 전류 제곱에 비례.

40. 프란시스 수차의 특유속도(m·kW)의 한계를 나타내는 식으로 옳은 것은? (단, H(m)는 유효낙차이다.)
특유속도 공식은 외우자. 회전수와 출력에 비례하고, 낙차에 반비례

| 수차 종류 | 유효낙차(H) | 유량 | 특유속도 | 특징 | 예시 |
| 펠턴 | 300m 이상 | 적음 | 12 ~ 23 | 고낙차, 단순 구조 | 산악 지역 수력발전소 |
| 프란시스 | 20m ~ 300m | 중간 | (20000/H+20) + 30 | 중낙차, 다양한 조건에서 효율적 | 중규모 수력발전소 |
| 사류 | 10m ~ 70m | 중간에서 많음 | (20000/H+20) + 40 | 축 방향 흐름, 프란시스와 카플란 중간 | 하천, 운하 |
| 프로펠러 | 2m ~ 20m | 많음 | (20000/H+20) + 45 | 저낙차, 고유량, 날개 고정(각도 조절 불가) | 일정한 유량이 있는 하천, 운하 |
| 카플란 | 2m ~ 20m | 많음 | (20000/H+20) + 50 | 저낙차, 고유량, 날개 조정 가능 | 하천이나 강 하류, 조력발전소, 저수지형 수력발전소 |
유효낙차는 펠 > 프 > 사 > 프로 > 카. 펠프야 사 프로 카
특유속도는 반대로 큼
2020.06.06
21. 중성점 직접접지방식의 발전기가 있다. 1선지락 사고시 지락전류는? (단, Z1, Z2, Z0는 각각 정상, 역상, 영상 임피던스이며, Ea는 지락된 상의 무부하 기전력이다.)
Ig = 3 * Ea / (Z1 + Z2 + Z0)
23. 4단자 정수 A=0.9918+j0.0042, B=34.17+j50.38, C=(-0.006+j3247)×10-4인 송전 선로의 송전단에 66kV를 인가하고 수전단을 개방하였을 때 수전단 선간전압은 약 몇 kV인가?
수전단 전압( 𝑉 𝑟 )과 송전단 전압( 𝑉 𝑠 )의 관계는 다음과 같은 4단자 정수 공식으로 표현됩니다:
Vs=A⋅Vr+B⋅Ir
𝐼𝑠=C⋅Vr+D⋅Ir
V s : 송전단 선간전압 (주어진 값: 66kV)
V r : 수전단 선간전압 (구하고자 하는 값)
I r : 수전단 전류 (개방 상태이므로 수전단에 부하(기기)가 연결되지 않은 상태 전력 소비 장치(공장, 변압기 등)가 없기 때문에 전류가 흐를 곳이 없음, 즉 Ir = 0)
따라서 Vr = Vs / A = 66 / (0.9918+j0.0042) = 66.55
24. 댐의 부속설비가 아닌 것은?
① 수로
② 수조
③ 취수구
④ 흡출관
수로: 댐에서 물을 통과시키거나 배출하기 위한 경로로, 방류나 발전 등의 목적으로 사용됩니다. 댐의 핵심적인 부속설비 중 하나입니다.
수조: 발전용 댐에서는 수조가 물의 흐름을 조절하는 역할을 하며, 이는 댐 설비에 포함됩니다.
취수구: 물을 댐으로부터 끌어들이는 입구로, 물을 저장하거나 방출하기 위해 필수적인 장치입니다.
흡출관: 발전소의 터빈에서 배출된 물을 밖으로 배출하는 관입니다. 이는 주로 수력발전소의 부속설비로 포함되며, 댐 자체의 부속설비로는 보지 않습니다.
25. 다음 중 송전계통의 절연협조에 있어서 절연레벨이 가장 낮은 기기는?
① 피뢰기
② 단로기
③ 변압기
④ 차단기
애자>차단기>변압기>피뢰기
26. 송배전 선로에서 선택지락계전기(SGR)의 용도는?
① 다회선에서 접지 고장 회선의 선택
② 단일 회선에서 접지 전류의 대소 선택
③ 단일 회선에서 접지 전류의 방향 선택
④ 단일 회선에서 접지 사고의 지속 시간 선택
선택지락계전기(SGR, Selective Ground Relay)의 용도:
송배전 계통에서 다회선이 존재할 경우, 접지 고장이 발생했을 때 어떤 회선에서 접지 고장이 발생했는지 식별하는 역할을 합니다. SGR은 접지 고장의 위치를 빠르게 탐지하여 고장 회선을 선택적으로 차단함으로써, 계통의 안정성을 유지하고 사고 범위를 최소화합니다.
28. 변전소에서 비접지 선로의 접지보호용으로 사용되는 계전기에 영상전류를 공급하는 것은?
① CT
② GPT
③ ZCT
④ PT
영상 전류란 전선 세 가닥(3상 전력 시스템)에 흐르는 전류의 합이 0이 아닌 경우 발생하는 전류예요. 정상적인 상황에서는 세 가닥의 전류가 균형을 이루기 때문에 합이 0이 돼요. 하지만 지락 사고(전선이 땅에 닿는 경우)나 누설 전류가 생기면 전류가 비대칭적으로 흐르면서 합이 0이 아니게 돼요. 지락 사고나 이상 상태를 감지하는 데 사용됩니다.
ZCT (Zero Current Transformer, 영상변류기)
- ZCT는 전력 시스템에서 영상전류(= 비대칭 전류)를 검출하는 장치입니다.
- 변전소에서 고압으로 수전할 때, 접지 보호 계전기에 영상전류를 공급하기 위해 사용됩니다.
- 영상전류는 주로 누설전류나 지락사고 시 발생하며, 이를 검출하여 보호 계전기가 동작하게 합니다.
CT (Current Transformer, 변류기)는 전류를 작게 만들어서 계측기(전류 측정 기계)나 보호 장치가 안전하게 사용할 수 있게 도와주는 기계예요. 그런데 "영상전류"(불균형 전류)를 찾아내는 데는 잘 안 쓰여요.
PT (Potential Transformer, 변압기)는 전압을 작게 만들어서 계측기나 보호 장치가 사용하도록 해주는 기계예요. 이건 전압에 관련된 거라, "영상전류"랑은 관계가 없어요.
GPT (Ground Potential Transformer)는 접지(땅과 연결된 선) 쪽 전압 변화를 감시하는 기계예요. "영상전류" 대신 접지 쪽의 전압을 감시하는 데 쓰여요.
29. 송전선로에서 가공지선을 설치하는 목적이 아닌 것은?
① 뇌(雷)의 직격을 받을 경우 송전선 보호
② 유도뢰에 의한 송전선의 고전위 방지
③ 통신선에 대한 전자유도장해 경감
④ 철탑의 접지저항 경감
뇌의 직격을 받을 경우 송전선 보호:
가공지선은 송전선보다 위쪽에 설치되어 낙뢰를 직접적으로 받아 송전선을 보호합니다. 이는 가공지선의 주요 목적 중 하나입니다.
유도뢰에 의한 송전선의 고전위 방지:
유도뢰는 낙뢰로 인해 발생하는 전자기 유도로 송전선에 높은 전압을 유발할 수 있습니다. 가공지선은 이를 감소시켜 송전선을 보호합니다.
통신선에 대한 전자유도장해 경감:
송전선로에서 발생하는 전자유도가 인근 통신선에 장해를 일으킬 수 있습니다. 가공지선은 이를 줄여 통신선 보호에도 기여합니다.
철탑의 접지저항 경감:
철탑의 접지저항은 철탑 자체의 접지 설계(접지극, 접지망 등)에 의해 결정됩니다. 가공지선은 철탑의 접지저항을 줄이는 역할을 하지 않습니다. 이는 가공지선의 목적과는 관련이 없습니다.
31. 30000kW의 전력을 51km 떨어진 지점에 송전하는데 필요한 전압은 약 몇 kV인가? (단, Still의 식에 의하여 산정한다.)
스틸 식 = 5.5 √(0.6L + P/100) (단위는 모두 k 기준)
Still의 식은 송전선로 설계에서 송전 전압을 산정하는 경험적인 공식 중 하나야. 이를 만든 Still은 전력 시스템 설계와 관련된 경험적 데이터를 바탕으로 이 공식을 제안한 사람이야.
34. 단로기에 대한 설명으로 틀린 것은?
① 소호장치가 있어 아크를 소멸시킨다.
② 무부하 및 여자전류의 개폐에 사용된다.
③ 사용회로수에 의해 분류하면 단투형과 쌍투형이 있다.
④ 회로의 분리 또는 계통의 접속 변경 시 사용한다.
소호장치가 있어 아크를 소멸시킨다.
틀린 설명이야. 단로기는 아크(arc)를 소멸시키는 소호장치가 없다. 단로기는 단순히 회로를 열거나 닫는 역할을 하지만, 부하가 없는 상태에서만 안전하게 작동할 수 있어. 부하 전류가 흐를 때 사용하는 기기는 차단기야.
무부하 및 여자전류의 개폐에 사용된다.
맞는 설명이야. 단로기는 부하가 없는 상태(무부하)에서 회로를 열거나 닫는 데 사용돼. 또한, 변압기의 여자전류 같은 소량의 전류 개폐에도 사용될 수 있어.
사용회로수에 의해 분류하면 단투형과 쌍투형이 있다.
맞는 설명이야. 단로기는 회로의 사용 형태에 따라 단투형(단일 회로)과 쌍투형(두 개의 회로)에 따라 분류될 수 있어.
회로의 분리 또는 계통의 접속 변경 시 사용한다.
맞는 설명이야. 단로기는 회로를 물리적으로 분리하거나 계통의 접속을 변경할 때 사용돼. 이를 통해 회로 유지보수나 점검 작업이 가능해.
35. 일반회로정수가 같은 평행 2회선에서 A, B, C, D는 각각 1회선의 경우의 몇 배로 되는가?
일반적인 송전선의 ABCD 행렬은 다음과 같은 형태야:

그런데 평행 2회선의 경우, 전류가 두 개의 회선으로 분배되기 때문에 전류 부분이 절반으로 나뉘어 계산돼.

이 행렬을 전개하면:

따라서 평행 2회선의 경우, ABCD 행렬의 변화는 다음과 같아:
- A는 그대로: A → A (1배)
- B는 절반으로 감소: B → (1/2) * B (1/2배)
- C는 2배 증가: C → 2C (2배)
- D는 그대로: D → D (1배)
36. 증기터빈 출력을 P(kW), 증기량을 W(t/h), 초압 및 배기의 증기 엔탈피를 각각 i0, i1(kcal/kg)이라 하면 터빈의 효율 ηT(%)는?
초압 엔탈피는 터빈에 들어가는 증기의 에너지(엔탈피) 를 의미해.
즉, 고온·고압의 증기가 터빈으로 들어가기 전의 엔탈피 값이야.
배기 엔탈피는 터빈을 빠져나가는 증기의 에너지(엔탈피) 를 의미해.
즉, 터빈을 거쳐서 일을 한 후 배출되는 증기의 엔탈피 값이야.
터빈이 실제로 한 일(에너지 변환량)은 입력된 에너지(i0)에서 배출된 에너지(i1)를 뺀 값이야.
즉, 증기가 터빈을 통과하면서 얼마나 많은 에너지를 기계적 에너지로 변환했는지를 나타내는 것이 i0 - i1이야.
터빈을 물레방아처럼 생각해 보자.
- i0 (초압 엔탈피): 높은 곳에서 출발하는 물의 위치 에너지
- i1(배기 엔탈피): 물레방아를 돌리고 난 후 낮은 곳에 도착한 물의 에너지
- i0−i1 (엔탈피 차이): 물이 떨어지면서 실제로 물레방아를 돌린 에너지
단위 분석
- i0 (kcal/kg) → 엔탈피는 1kg당 kcal 단위
- W (t/h) → 1톤(= 1000kg) 단위
- P(kW) → 1kW는 860 kcal/h
즉, W의 단위가 톤(t)인데, 실제 계산에서 kg 단위로 맞춰야 하므로 1t = 1000kg을 반영해야 합니다.
그래서 분모에 10^3을 곱해줘야 올바른 단위 변환이 됩니다.

37. 수전단의 전력원 방정식이 Pr2+(Qr+400)2=250000 으로 표현되는 전력계통에서 조상설비 없이 전압을 일정하게 유지하면서 공급할 수 있는 부하전력은? (단, 부하는 무유도성이다.)
조상설비(調相設備, Power Factor Correction Equipment)는 무효전력(Q)을 조정하여 전압을 일정하게 유지하는 장치야.
즉, 무효전력을 공급하거나 흡수하여 전압 변동을 조절하는 역할을 하지.
대표적인 조상설비:
- 동기 조상기 (Synchronous Condenser) → 무효전력을 공급/흡수 가능
- 고정형 콘덴서 (Shunt Capacitor) → 무효전력 공급
- 직렬 리액터 (Series Reactor) → 무효전력 흡수
조상설비가 있으면 부하에 관계없이 전압을 일정하게 유지할 수 있어.
"무유도성(無誘導性, non-inductive load)"이라는 말은 리액티브 전력(Qr)이 0이라는 뜻이야.
즉, 부하가 **순수한 저항성 부하(Resistive Load)**라는 의미야.
리액티브 전력(Qr)은 인덕터(코일)나 커패시터(콘덴서)와 같은 요소에서 발생하는데, 저항성 부하는 이런 성분이 없어서 Qr=0이 돼.
Pr^2+(0+400)^2=250000
Pr^2+400^2=250000
따라서 Pr = 300
39. 3상 배전선로의 말단에 역률 60%(늦음), 60kW의 평형 3상 부하가 있다. 부하점에 부하와 병렬로 전력용 콘덴서를 접
속하여 선로손실을 최소로 하고자 할 때 콘덴서 용량(kVA)은? (단, 부하단의 전압은 일정하다.)
선로 손실을 최소로 한다 => 역률을 1로 하고 싶다. => 무효 전력을 0으로 하고 싶다.
Q = P * tan = P * (sin / cos) (Q= 무효전력, P = 전력, cos = 역률)
Q = 60 * (sin/ 0.6) = 60 * (0.8 / 0.6) = 60 * 1.333 = 80 kVAR
즉, 80의 무효전력을 줄여야 하므로, 콘덴서의 용량은 80
40. 3상3선식에서 전선 한 가닥에 흐르는 전류는 단상2선식의 경우의 몇 배가 되는가? (단, 송전전력, 부하역률, 송전거리, 전력손실 및 선간전압이 같다.)
단상 2선식
P=VIcosθ
3상3선식
P=√3 *VIcosθ
즉 I는 1/√3
2019.09.21
21. 전력손실이 없는 송전선로에서 서지파(진행파)가 진행하는 속도는? (단, L : 단위 선로길이 당 인덕턴스, C : 단위 선로길이 당 커패시턴스이다)
전력손실이 없는 이상적인 송전선로에서 서지파(진행파)가 진행하는 속도는 전파 속도라고 하며, 이는 선로의 인덕턴스(L)와 커패시턴스(C)에 의해 결정됩니다.

즉, 서지파의 진행 속도는 선로의 인덕턴스와 커패시턴스의 곱의 제곱근의 역수로 결정됩니다.
일반적으로 공중에 설치된 송전선로에서는 이 값이 빛의 속도3×10^8m/s 에 가깝게 나오지만, 실제 환경에서는 조금 낮아질 수 있습니다.
22. 가공전선과 전력선간의 역섬락이 생기기 쉬운 경우는?
역섬락(Back Flashover)은 낙뢰가 송전선로에 떨어질 때, 철탑(송전탑)의 접지저항이 너무 커서 땅으로 방전되지 못하고 전선과 철탑 사이에서 절연 파괴가 발생하는 현상입니다. 접지저항이 크면 낙뢰 전류가 철탑을 통해 땅으로 빠져나가지 못하고 전선과 철탑 사이에서 절연 파괴(역섬락)가 발생할 가능성이 높아집니다.
23. 전력계통 설비인 차단기와 단로기는 전기적 및 기계적으로 인터록(interlock)을 설치 및 연계하여 운전하고 있다. 인터록의 설명으로 옳은 것은?
① 부하 통전시 단로기를 열 수 있다.
② 차단기가 열려 있어야 단로기를 닫을 수 있다.
③ 차단기가 닫혀 있어야 단로기를 열 수 있다.
④ 부하 투입 시에는 차단기를 우선 투입한 후 단로기를 투입한다.
인터록(Interlock)은 안전한 운전을 위해 기계나 전기 장치가 특정한 조건이 만족될 때만 동작하도록 설정하는 보호 장치야. 쉽게 말하면, "이걸 하기 전에 반드시 저걸 해야 한다" 같은 규칙을 자동으로 적용하는 거지.
전력계통에서 차단기(Circuit Breaker, CB)와 단로기(Disconnecting Switch, DS)를 안전하게 운용하려면 잘못된 순서로 조작하는 것을 방지해야 해. 그래서 인터록이 필요해!
단로기는 무부하 상태에서만 동작해야 하기 때문에, 차단기가 열린 상태에서(전류가 흐르지 않는 상태) 닫아야 합니다. 만약 차단기가 닫혀 있는 상태에서 단로기를 닫으면 큰 아크가 발생할 위험이 있습니다. 따라서 차단기가 열려 있어야 단로기를 닫을 수 있도록 인터록을 설정합니다.
26. 송전선로의 수전단을 단락한 경우 송전단에서 본 임피던스가 300Ω이고 수전단을 개방한 경우에는 900Ω일 때 이 선로의 특성임피던스 Z0(Ω)는 약 얼마인가?
"수전단을 단락했다" → 도착지(수전단)에서 전선을 서로 연결해버림 (짧은 회로가 됨)
- 전기가 흐르는 길이 매우 짧아지고, 저항이 거의 없어져요!
- 이 때문에 송전단에서 본 임피던스가 작아지는 것(= 전기가 더 쉽게 흐름)이에요.
"수전단을 개방했다" → 도착지(수전단)에서 아무것도 연결하지 않음 (전기 흐름이 끊어짐)
- 전기가 흐를 수 있는 길이 없어요!
- 전류가 흐르지 않으니까, 송전단에서 본 임피던스는 매우 커져요.
입력 임피던스 → 도로 끝(수전단)이 막혀 있거나(개방), 뚫려 있거나(단락) 할 때 출발점(송전단)에서 본 저항
- 도로가 뚫려 있으면(단락) 차가 쉽게 지나가니까 저항이 작음 (300Ω)
- 도로가 막혀 있으면(개방) 차가 못 지나가니까 저항이 큼 (900Ω)
특성 임피던스 → 도로 자체가 가지고 있는 도로의 평균적인 특성
- 이 도로에서 차가 쭉 일정한 속도로 흐르도록 설계된 도로 자체의 성질
- 단락이든 개방이든 관계없이 고유한 값을 가짐
송전선로의 특성 임피던스 Z0는 수전단을 단락했을 때의 입력 임피던스 Zs 와 수전단을 개방했을 때의 입력 임피던스 Zo 를 이용하여 다음 공식으로 구할 수 있습니다.


27. 단상 변압기 3대를 △결선으로 운전하던 중 1대의 고장으로 V결선된 경우, △결선에 대한 V결선의 출력비는 약 몇 %인가?
△결선: 3대의 변압기가 모두 연결되어 정상적으로 동작
V결선: 1대가 고장 나서 2대만 운전하는 상황

28. 송전단 전압이 345kV, 수전단 전압이 330kV, 송수전 양단의 변압기 리액턴스는 각각 10Ω과 15Ω이고, 선로의 리액턴스는 85Ω인 계통이 있다. 이 선로에서 전달할 수 있는 최대 유효전력(MW)은?
유효전력을 구하는 공식은 다음과 같습니다.

최대 유효전력이기 때문에 (전압 위상각) 은 90∘ sinδ=1
X = 10 + 15 + 85 = 110
29. 전력계통에서 지락전류의 특성으로 옳은 것은?
지락(地絡, Ground Fault) 사고가 발생하면 전력계통의 선로와 대지(땅) 사이에 전류가 흐르게 돼. 이 전류는 주로 선로의 정전용량(Capacitance)에 의해 흐르는 충전전류(Charging Current)의 형태를 띠게 돼. 쉽게 얘기하면 이 지락전류는 전선과 대지 사이에 저장된 전기(정전용량) 때문에 흐르는 전류야. 그리고 이 전류는 전압보다 먼저 흐르려고 해, 즉 진상 성분을 갖게 돼. 즉, 지락전류는 선로의 정전용량에 의해 발생하는 충전전류이며, 위상이 전압보다 앞서는 진상 성분을 가지게 돼.
① 충전전류(진상)
30. 송전선로의 건설비와 전압과의 관계를 나타낸 것은?
전압과의 관계
전압강하는 n배 줄어들고
전압강하율, 전력손실률, 전선의 단면적/굵기는 n^2배로 줄어들고
공급전력은 n^2배로 늘어남
전압이 증가하면 전선의 단면적/굵기가 줄어들어 전선비용은 감소함
그러나 전압이 증가하면 절연체를 많이 써야하므로 애자지지율비용은 증가함

32. 4단자 정수가 A, B, C, D인 송전선로의 등가 π회로를 그림가 같이 표현하였을 때 Z1에 해당하는 것은?

등가 π(파이) 회로는 송전선로를 단순하게 나타내는 방법이야. 전력을 먼 곳까지 보내려면 송전선로가 필요하지? 하지만 실제 송전선로는 저항, 리액턴스(코일 성분), 정전용량(절연체 영향) 같은 복잡한 요소들이 있어. 이걸 π(파이) 모양으로 단순화해서 표현한 게 등가 π회로야.
O———[Z₁]———O ← 위쪽 직렬(가운데)
| |
[Z₂] [Z₃] ← 아래쪽 병렬(양옆)
| |
O———O———O ← 아래쪽 선로
- Z₁: 가운데 직렬 임피던스 (송전선로 자체의 저항 + 리액턴스)
- Z₂, Z₃: 아래쪽 병렬 임피던스 (대지와의 정전용량 때문에 생김)
외워야할듯
A = 1 + z1/z3
B =z1
C = (z1+z2+z3)/(z2*z3)
D = 1 + z1/z2
33. 직류 송전방식이 교류 송전방식에 비하여 유리한 점을 설명한 것으로 틀린 것은?
① 절연계급을 낮출 수 있다.
② 계통간 비동기 연계가 가능하다.
③ 표피효과에 의한 송전손실이 없다.
④ 정류가 필요 없고 승압 및 강압이 쉽다.
✅ ① 절연계급을 낮출 수 있다. (O, 맞음)
- 직류(DC)는 극성이 일정하기 때문에, 절연이 더 쉽고 절연 계급을 낮출 수 있어.
- 교류(AC)는 주파수가 있어 순간적으로 전압이 변하므로 절연 요구 조건이 더 까다로움.
✅ ② 계통간 비동기 연계가 가능하다. (O, 맞음)
- 교류 송전은 주파수를 맞춰야 다른 전력망과 연결할 수 있어.
- 하지만 직류 송전은 주파수가 없기 때문에, 서로 다른 주파수를 가진 계통(50Hz, 60Hz 등)도 연결 가능해.
✅ ③ 표피효과에 의한 송전손실이 없다. (O, 맞음)
- 교류는 표피효과(전류가 도체의 표면으로 몰리는 현상) 때문에 저항이 증가하고 손실이 커져.
- 직류는 이런 표피효과가 없어서 동일한 전선으로 더 많은 전류를 보낼 수 있어.
❌ ④ 정류가 필요 없고 승압 및 강압이 쉽다. (X, 틀림)
- 직류는 정류(AC → DC 변환)가 반드시 필요해.
- 또한 승압(전압 올리기)과 강압(전압 낮추기)이 교류보다 어렵고, 변환 장치(DC-DC 컨버터)가 필요함.
- 반면, 교류는 변압기로 쉽게 전압을 조절할 수 있어.
- 따라서 이 선택지는 틀린 내용이야!
37. 연가를 하는 주된 목적은?
연가는 전선의 배치를 주기적으로 바꾸는 방법으로, 3상 전선이 각기 다른 위치(상하좌우 등)에 배치되어 발생하는 전기적 불평형을 해소하기 위한 방법입니다. 이를 통해 선로정수를 평형되게 만들고, 근처 통신선에 발생할 수 있는 유도장해(통신선에 전력이 간섭을 주는 문제)를 줄일 수 있습니다.
연가의 주요 목적 4가지는 다음과 같습니다:
직렬 공진 방지
선로 정수 평형 유지
임피던스 평형
유도장해 감소
직선임유
38. 다중접지 3상 4선식 배전선로에서 고압측(1차측) 중성선과 저압측(2차측) 중성선을 전기적으로 연결하는 목적은?
고저압 혼촉(High-Low Voltage Fault)이 발생하면,고압선(1차측)과 저압선(2차측)이 접촉하면서 저압측으로 이상 전압이 유입될 수 있어. 이때, 고압측과 저압측의 중성선을 연결하면 상승 전압을 대지로 방전시켜서 억제할 수 있음.
이것이 중성선을 전기적으로 연결하는 가장 중요한 목적이므로 정답! ✅
40. 화력발전소의 랭컨 사이클(Rankine cycle)로 옳은 것은?
절탄기 보일러 과열기 터빈 복수기
절대 보지마 과격하게 피 터지는 복수 영화야
'자격증 > 전기공사기사' 카테고리의 다른 글
| [전기기사][전기공사기사] 암기 (0) | 2025.02.26 |
|---|---|
| [전기공사기사] 4과목. 회로이론 및 제어공학 (0) | 2025.01.31 |
| [전기공사기사] 3과목. 전기기기 (0) | 2025.01.30 |
| [전기공사기사] 1과목. 전기응용 및 공사재료 (0) | 2025.01.13 |