ChatGPT를 이용하여 작성하였기 때문에 참고만 하시길
2024 3회
10. 진공전구에 적린 게터를 사용하는 이유는? => 수명을 길게 한다.
진공전구에서 적린(赤燐, Red Phosphorus) 게터를 사용하는 이유는 잔류 가스를 제거하여 진공도를 유지하기 위해서입니다. 진공전구 내부는 공기가 거의 없는 상태여야 합니다. 그래야 필라멘트가 산화되지 않고 오래 사용할 수 있으며, 불필요한 가스 방전도 방지할 수 있습니다.
12. 전동기의 정격(rate)에 해당되지 않는 것은?
① 연속 정격 ② 반복 정격 ③ 단시간 정격 ④ 중시간 정격
전동기의 **정격(rate)**은 전동기가 정상적으로 동작할 수 있는 조건(운전 방식, 부하 지속 시간 등)을 의미합니다. 일반적으로 전동기의 정격은 연속 정격, 반복 정격, 단시간 정격 등으로 분류됩니다.
✅ 각 정격의 의미
- 연속 정격 (Continuous Rating)
- 전동기가 장시간 연속 운전할 수 있는 정격을 의미합니다.
- 온도 상승이 안정된 상태에서 지속적으로 사용할 수 있습니다.
 
- 반복 정격 (Intermittent Rating)
- 일정한 간격으로 반복 운전과 정지를 반복하는 방식입니다.
- 단시간 운전 후 정지 시간을 가지며, 온도가 정격을 초과하지 않는 범위에서 사용됩니다.
 
- 단시간 정격 (Short-time Rating)
- 일정 시간 동안만 운전할 수 있는 정격입니다.
- 예를 들어 5분 정격, 15분 정격 등 특정 시간 동안만 운전이 가능하며, 그 이상 사용하면 과열될 수 있습니다.
 
- ❌ 중시간 정격 (❌ 잘못된 용어)
- 일반적으로 전동기 정격에서는 "중시간 정격"이라는 용어가 존재하지 않습니다.
- 정격에서 사용되는 공식 용어가 아니므로, 정답은 ④ 중시간 정격입니다.
 
13. 가공전선로 지지물의 승탑 및 승주방지를 위한 발판 볼트는 지표상 몇 [m] 미만에 시설하여서는 아니 되는가?
① 1.2 ② 1.5 ③ 1.8 ④ 2.0
남자 키큰 사람 기준 => 1.8m
2022년 4회
1. 다음 중 2차전지에 대한 설명으로 틀린 것은?
① 연축전지는 5시간 방전율, 알칼리축전지는 10시간 방 전율을 표준으로 하고 있다.
② 알칼리축전지의 기전력은 약 1.2[V]이고 전기적, 기계 적으로 우수하며 수명이 길어 예비전원 등에 쓰인다.
③ 연축전지는 충전시 물의 전기분해에 의해 음극에서 수소가 발생한다.
④ 연축전지의 공칭전압은 약 2[V]이고 방전종지전압은 약 1.8[V]이다.
연축전지 10시간, 알칼리축전지 5시간
4. 지름 2[m]의 작업면의 중심 바로 위 1[m]의 높이에서 각 방향의 광도가 100[cd] 되는 광원 1개로 조명할 때의 조명률은 약 몇 [%]인가?
tanX = 원의 반지름 / 작업면의 거리 = 1 따라서 X = 45도
공식 = (1- cosX) / 2
6. 농형 유도전동기 기동법 중 감전압 기동법이 아닌 것은?
① 직입 기동법 ② 콘도르파 기동법 ③ 리액터 기동법 ④ Y-Δ 기동법
① 직입 기동법:
- 전동기에 전원 전압을 그대로 인가하여 기동하는 방식입니다.
- 기동 전류가 크지만, 전압을 낮추지 않기 때문에 감전압 기동법이 아닙니다.
② 콘도르파 기동법:
- 콘덴서를 이용하여 기동 전압을 낮추는 방식으로, 감전압 기동법에 해당합니다.
③ 리액터 기동법:
- 전동기에 직렬로 리액터(Reactance)를 삽입하여 기동 시 전압을 낮추는 방식입니다.
- 감전압 기동법에 해당합니다.
④ Y-Δ(와이-델타) 기동법:
- 기동 시에는 Y결선으로 전압을 낮춰 기동하고, 운전 시 Δ결선으로 전환하는 방식입니다.
- 감전압 기동법에 해당합니다.
7. 20[Ω]의 저항체에 5[A]의 전류를 1시간 동안 흘렸을 때 발생되는 총 열량[kcal]은 얼마인가?
I^R = 500W
1Wh = 860kcal
따라서 1시간이니 500 * 0.86 = 430
또는 4186J = 1kcal 니, I^R * 3600 = 1800000 따라서 1800000/4186 = 430
2022.04.24
3. 직류 전동기의 속도 제어법이 아닌 것은?
① 극수변환
② 전압제어
③ 저항제어
④ 계자제어
극수변환: 직류 전동기에는 극수변환 방식이 적용되지 않습니다. 극수변환은 교류 전동기의 속도 제어 방법 중 하나로, 극수(pole)의 수를 변경하여 속도를 조절합니다. 직류 전동기는 극수와 상관없이 작동합니다.
전압제어: 전동기에 공급하는 전압을 조절하여 속도를 변화시키는 방법입니다. 주로 전원 장치를 사용해 전압을 높이거나 낮추며, 부드러운 속도 제어가 가능합니다.
저항제어: 전동기의 회로에 추가 저항을 삽입하여 전류를 제어함으로써 속도를 조절하는 방식입니다. 주로 초기 속도 제어나 저속에서 사용됩니다.
계자제어: 계자(자기장) 전류를 변경하여 자속(자기장의 세기)을 조절함으로써 속도를 조정합니다. 계자 전류를 약하게 하면 속도가 증가하고, 강하게 하면 속도가 감소합니다.
10. 휘도가 균일한 원통광원의 축 중앙 수직방향의 광도가 250cd 이다. 전 광속(lm)은 약 얼마인가?
한 방향에서 본 ‘밝기(candela)’인 광도랑, 모든 방향에서 나오는 ‘밝기(lumen)’ 전 광속은 다른 개념이야.
- ‘candela’는 “특정한 한 방향으로 얼마나 밝게 빛나냐”를 나타내는 단위야.
- ‘lumen은 “모든 방향을 합쳐서 얼마나 많은 빛이 나오냐”를 나타내는 단위야.
원통(길쭉한 둥근 기둥) 모양의 형광등은 한 방향에서 본 밝기(축 중심에서 본 밝기)에 특별한 숫자(π2)를 곱하면, 전체 밝기가 돼!
- 이건 수학적으로 원통 모양을 적분(복잡한 계산)하면 그렇게 나온다는 거야.
- π는 원에서 자주 나오는 3.14… 그 숫자지?
- π2^는 그걸 한 번 더 곱한 거(약 9.87)가 돼.
그래서 축에서 본 밝기가 250cd면, 전부 합친 빛은 π2×250정도야.
- π2≈9.87니까, 대략 250×9.87=2,467 정도.
12. 과전류차단기로 시설하는 퓨즈 중 고압전로에 사용하는 포장 퓨즈는 정격 전류의 몇 배의 전류에서 2시간 이내에 용단되지 않아야 하는가? (단, 퓨즈 이외의 과전류 차단기와 조합하여 하나의 과전류 차단기로 사용하는 것은 제외한다.)
19. 연축전지의 음극에 쓰이는 재료는?
① 납
② 카드뮴
③ 철
④ 산화니켈
1. 연축전지 (Lead-Acid Battery)
- 음극(부극): 납(Pb)
- 양극(정극): 이산화납(PbO₂)
- 전해질: 황산(H₂SO₄)
- 특징:
- 자동차 배터리, UPS 등에서 주로 사용.
- 무겁고 에너지 밀도가 낮지만, 고출력이 가능하며 가격이 저렴함.
 
2. 리튬이온전지 (Lithium-Ion Battery)
- 음극(부극): 흑연(Carbon 또는 Graphite)
- 양극(정극): 리튬금속산화물(LiCoO₂, LiFePO₄ 등)
- 전해질: 리튬염(LiPF₆) 용액
- 특징:
- 스마트폰, 노트북, 전기차 등에서 사용.
- 높은 에너지 밀도, 가볍고 수명이 길지만, 충격에 민감하고 발화 위험이 있음.
 
3. 니켈-카드뮴 전지 (Ni-Cd Battery)
- 음극(부극): 카드뮴(Cd)
- 양극(정극): 수산화니켈(NiOOH)
- 전해질: 수산화칼륨(KOH)
- 특징:
- 오래된 충전식 배터리의 한 종류.
- 메모리 효과(충전 용량 감소)가 단점이지만, 고온에서도 성능이 좋음.
 
4. 니켈-수소 전지 (Ni-MH Battery)
- 음극(부극): 금속 수소화물(Metal Hydride)
- 양극(정극): 수산화니켈(NiOOH)
- 전해질: 수산화칼륨(KOH)
- 특징:
- 니켈-카드뮴 전지의 대체품.
- 에너지 밀도가 높고 환경 친화적임.
 
5. 리튬 1차 전지 (Lithium Primary Battery)
- 음극(부극): 리튬(Li)
- 양극(정극): 이산화망간(MnO₂) 또는 불화카본(CFₓ)
- 전해질: 유기 리튬염
- 특징:
- 재충전이 불가능한 1차 전지.
- 소형 전자기기나 센서에 사용되며, 긴 수명을 자랑.
 
6. 알칼리 전지 (Alkaline Battery)
- 음극(부극): 아연(Zn)
- 양극(정극): 이산화망간(MnO₂)
- 전해질: 수산화칼륨(KOH)
- 특징:
- 일회용 배터리로 가장 많이 사용.
- 저렴하고 다양한 소형 기기에 적합.
 
7. 연료전지 (Fuel Cell)
- 음극(부극): 수소(H₂)
- 양극(정극): 산소(O₂)
- 전해질: 다양한 형태(고분자 전해질, 알칼리 전해질 등)
- 특징:
- 수소와 산소의 화학 반응으로 전기를 생성.
- 친환경적이며 전기차와 발전 설비에 사용.
 
8. 은-아연 전지 (Silver-Zinc Battery)
- 음극(부극): 아연(Zn)
- 양극(정극): 산화은(Ag₂O)
- 전해질: 수산화칼륨(KOH)
- 특징:
- 고에너지 밀도를 가지며, 군사나 우주 산업에서 사용.
 
9. 초소형 전지
- 단추형 전지 (Coin Cell):
- 음극: 리튬(Li)
- 양극: 이산화망간(MnO₂) 또는 은화합물.
- 손목시계, 의료기기 등에 사용.
 
- 집적 전지 (Micro Battery):
- 스마트 센서나 초소형 전자기기에 사용.
 
10. 공기 전지
- 음극: 아연
- 양극: 공기
11. 망간 전지
- 음극: 아연
- 양극: 망간
12. 수은 전지
- 음극: 아연
- 양극: 수은 온도상
2022.03.05
2. 스테판 볼츠만(Stefan-Boltzmann) 법칙을 이용하여 온도를 측정하는 것은?
① 광 고온계
② 저항 온도계
③ 열전 온도계
④ 복사 고온계
광 고온계 물체의 빛의 밝기(복사광)를 측정해 온도를 계산하지만, 스테판-볼츠만 법칙 대신 플랑크의 복사 법칙을 사용합니다.
저항 온도계 금속 저항체(예: 백금)의 전기 저항이 온도에 따라 변하는 원리를 이용합니다.
열전 온도계 서로 다른 두 금속의 접점에 온도차가 있을 때 발생하는 열기전력(Seebeck 효과)을 이용합니다.
복사 고온계 스테판-볼츠만 법칙을 직접적으로 활용하여 물체의 복사 에너지를 기반으로 온도를 측정합니다.
3. 흑체의 온도복사 법칙 중 절대 온도가 높아질수록 파장이 짧아지는 법칙은?
① 스테판 볼츠만(Stefan-Boltzmann)의 법칙
② 빈(Wien)의 변위법칙
③ 플랑크(Planck)의 복사법칙
④ 베버 페히너(Weber-Fechner)의 법칙
흑체는 모든 파장의 전자기 복사를 완벽하게 흡수하고, 다시 방출하는 이상적인 물체를 의미합니다. 현실에서는 완벽한 흑체가 존재하지 않지만, 이 개념은 열복사와 관련된 물리학 법칙들을 설명하는 데 매우 중요한 역할을 합니다.
스테판-볼츠만: 법칙 온도가 높아질수록 물체가 방출하는 총 복사 에너지가 절대온도의 4제곱에 비례함을 나타냅니다.
빈의 변위법칙: 흑체의 최대 복사강도를 가지는 파장과 온도의 반비례 관계를 설명합니다.
플랑크의 복사법칙: 흑체의 모든 파장에서 방출되는 에너지를 온도와 파장의 함수로 표현합니다.
베버-페히너 법칙: 심리물리학 법칙으로, 자극의 강도와 그에 따른 감각의 크기 사이의 관계를 설명합니다.
5. 양수량 30m3/min, 총 양정 10m를 양수하는데 필요한 펌프용 3상 전동기에 전력을 공급하고자 한다. 단상 변압기를 V결선하여 전력을 공급하고자 할 때 단상 변압기 한 대의 용량(kVA)은 약 얼마인가? (단, 펌프의 효율은 70%이다.)
양수량: Q=30 m3/min = 30/60 = 0.5
총 양정: H=10 m
펌프 효율: η=70%=0.7
단상 변압기 V결선
펌프의 입력 동력(P)은 양수량, 총 양정, 그리고 펌프 효율을 이용하여 계산됩니다. 물의 밀도(ρ)와 중력 가속도(g)는 각각 ρ=1000 kg/m3, g=9.8 m/s2로 사용합니다.


V결선이란?
- V결선은 3상 전력을 2대의 단상 변압기로 공급하는 방식이에요.
- 여기서 중요한 건, 각 변압기 한 대가 전체 전력의 일부만 공급한다는 점이에요.
전체 전력(3상 부하)의 일부만 공급
- 단상 변압기 한 대는 전체 3상 전력의 3/루트3
- 이 숫자는 V결선의 전력 분배 특성 때문에 생기고, 공식처럼 외우면 돼요.
계산 공식
단상 변압기 한 대의 용량을 구하려면, 전체 전력(70kVA)을 루트3으로 나누면 됩니다:

V결선 (Delta-V Connection)
- 특징: 2대의 단상 변압기를 사용하여 3상 전력을 공급.
- 변압기 한 대가 담당하는 전력: 공식: 단상 변압기 한 대의 용량 = 3상 부하 용량/sqrt{3}
델타( Δ ) 결선 (Delta Connection)
- 특징: 3대의 단상 변압기를 사용하여 3상 전력을 공급.
- 변압기 한 대가 담당하는 전력: 전체 3상 부하를 3등분하여 각 변압기가 1/3씩 담당. 3상 부하 용량/3
Y 결선 (Star Connection)
- 특징: 3대의 단상 변압기를 사용하여 3상 전력을 공급.
- 변압기 한 대가 담당하는 전력: 전체 3상 부하를 3등분하여 각 변압기가 1/3씩 담당. 3상 부하 용량/3
6. 권수비가 1:3인 변압기를 사용하여 교류 100V의 입력을 가한 후 출력 전압을 전파정류하면 출력 직류전압(V)의 크기는?
전파 정류(Full-Wave Rectification)는 입력 교류 신호의 모든 반주기(양쪽 반주기)를 직류로 변환. 음의 전압을 양의 전압으로 바꿔 사용.
반파 정류(Half-Wave Rectification)는 입력 교류 신호의 양의 반주기만 사용하고, 음의 반주기는 버림. 전력 효율이 낮음.
변압기의 권수비로 인해 출력 교류 전압(RMS 값)은 300 V로 증가.
교류 전압의 RMS 값을 이용해 최대 전압(Vmax= 300 * sqrt{2}) 계산.
전파 정류 후 직류 전압의 평균을 구하기 위해 2⋅Vmax/π를 사용해 600 * 2 / π로 계산됩니다.
왜 sqrt{2}를 곱하나?
RMS는 교류의 효과적인 값이고, 이는 최대값의 1/sqrt{2}로 정의됩니다. 최대값을 구하려면 RMS 값에 sqrt{2}를 곱합니다.
평균을 구할 때 2⋅Vmax/π 인가? 
전파 정류된 사인파의 평균값은 수학적으로 한 주기를 적분하여 계산되며, 결과적으로 최대값에 2/를 곱한 값이 됩니다.
만약 반파정류였다면? 전파정류의 절반
9. 금속의 표면 열처리에 이용하며 도체에 고주파 전류를 흘릴 때 전류가 표면에 집중하는 효과는?
① 표피 효과
② 톰슨 효과
③ 핀치 효과
④ 제백 효과
홀(Hall) 효과
- 정의: 전류가 흐르는 도체(또는 반도체)에 자계를 가하면, 자계와 전류의 직각 방향으로 전하가 이동하여 기전력이 발생하는 현상.
- 특징: 이 기전력은 홀 전압이라 부르며, 전류와 자계 방향을 알면 홀 전압의 방향을 예측할 수 있음.
핀치(Pinch) 효과
- 정의: 플라즈마 상태에서 전류가 흐를 때, 자기장의 힘으로 플라즈마가 수축하는 현상.
- 적용: 주로 플라즈마 물리학이나 전자빔에 관련된 현상으로, 문제의 조건과 맞지 않음.
제벡(Seebeck) 효과
- 정의: 두 종류의 금속을 접합하여 온도 차이를 주었을 때, 열에 의해 기전력이 발생하는 현상.
- 적용: 열전 발전, 온도 센서 등에서 활용되며, 전류와 자계와는 무관함.
펠티에(Peltier) 효과
- 정의: 두 종류의 금속 접합부에 전류를 흘리면, 접합부에서 열의 흡수 또는 방출이 일어나는 현상.
- 적용: 냉각 장치나 열펌프에서 사용되며, 전류와 자계와는 무관함.
표피 효과: 고주파 전류가 도체 내부보다는 표면에 집중해서 흐르는 현상을 말합니다. 이 효과는 금속의 표면 열처리나 고주파 유도 가열 등에 이용됩니다.
톰슨 효과: 전류가 흐르는 단일 도체에서 온도 차이에 따라 열이 발생하거나 흡수되는 현상입니다. 이는 주로 열전 효과에 관련되며, 표면 열처리와는 관련이 없습니다. 펠티에는 두 종류
12. 경완철에 폴리머 현수 애자를 설치 할 경우 사용되는 재료가 아닌 것은?
① 볼쇄클
② 소켓아이
③ 인장클램프
④ 볼크레비스
경완철 폴리머 현수애자

볼크레비스는 ㄱ자형에 들어감
13. 형광등의 점등회로 중 필라멘트를 예열하지 않고 직접 형광등에 고전압을 가하여 순간적으로 기동하는 점등회로로써, 전극이 기동 시에는 냉음극, 동작 시에는 방전전류에 의한 열음극으로 작동하는 회로는?
① 전자 스타터 점등 회로
② 글로우 스타터 점등 회로
③ 속시 기동(래피드 스타터) 점등회로
④ 순시 기동(슬림 라인) 점등회로
전자 스타터
- 기존 글로우 스타터 소켓에 그대로 끼울 수 있도록 만들어진 전자식 모듈입니다.
- 내부 전자 회로로 전극을 신속하게 예열한 뒤 적절한 시점에 회로를 끊어 램프 방전을 유도합니다.
- 점등 시간 단축, 깜빡임(깜박임) 감소, 램프 수명 연장 등의 장점이 있습니다.
글로우 스타터
- 작은 방전관 안의 바이메탈(bimetal) 전극과 불활성 가스로 구성되어 있으며, 글로우 방전 → 바이메탈 접점 붙음 → 필라멘트 예열 → 바이메탈 분리 → 유도 전압에 의한 점등 과정을 거칩니다.
- 점등까지 1~2초 정도(상황에 따라 길어질 수 있음)의 시간 차가 있으며, 이때 램프 깜빡임이 생길 수 있습니다.
- 구조가 단순해 가격이 저렴하지만, 초기에 특유의 점등 ‘깜빡임’이 단점으로 꼽힙니다.
속시 기동(래피드 스타터)
- 별도의 스타터(글로우 스타터)가 없이 안정기(전원 장치) 자체가 램프 필라멘트 가열을 제어하는 방식입니다.
- 전원이 인가되면 안정기가 램프 양쪽 필라멘트에 예열 전류를 먼저 흘려 전극(필라멘트)을 달군 뒤, 충분히 가열되었을 때 방전이 시작됩니다.
- 글로우 스타터 방식보다 점등 시간이 짧고, 전극 손상이 줄어드는 편이어서 램프 수명이 길어집니다.
순시 기동(슬림 라인, Instant Start)
- 전극 예열 과정 없이 바로 방전을 일으킬 수 있을 정도로 높은 전압(개방 전압)을 램프 양단에 걸어 점등하는 방식입니다.
- 자기 누설 변압기(Leakage transformer)나 전자 안정기(Instant start ballast) 등을 이용해 순간적으로 높은 전압을 가하여 방전시키므로 점등 속도가 매우 빠릅니다.
- 구조가 단순하고 점등이 즉시 이루어지지만, 전극이 예열되지 않은 상태에서 곧바로 큰 전류가 흐르므로 전극 손상이 상대적으로 빨리 일어날 수 있어 램프 수명이 짧아지는 단점이 있습니다.
2021.09.12
1. 일정 전류를 통하는 도체의 온도상승 θ와 반지름 r의 관계는?
도체에 전류를 흘리면 열이 발생하죠. 이 열은 도체의 크기(특히 반지름 r)와 관계가 있습니다. 도체가 작으면 열이 잘 빠져나가지 못해서 온도 상승이 더 커지고, 도체가 크면 열이 잘 분산되기 때문에 온도 상승이 작아집니다.
열 발생
전류가 흐르면 도체의 저항 때문에 열이 발생합니다.
이 열의 양은 도체의 **저항(R)**에 비례하는데, 저항은 도체의 단면적(반지름과 관련 있음)에 따라 결정됩니다.
- 단면적이 작을수록 저항이 커지고 더 많은 열이 발생합니다. r^2에 반비례
열 발산
발생한 열은 도체 표면을 통해 공기 중으로 빠져나갑니다.
- 표면적이 클수록 열이 잘 빠져나가 온도 상승이 덜합니다.
- 반대로, 표면적이 작을수록 열이 빠져나가기 어려워 온도가 더 올라갑니다. r에 반비례
결과적으로
도체의 반지름 r이 작아질수록:
- 열 발생은 커지고,
- 열 발산은 줄어들어서
 온도 상승 θ가 반지름의 세제곱에 반비례하게 됩니다.
5. 25℃의 물 10ℓ를 그릇에 넣고 2㎾의 전열기로 가열하여 물의 온도를 80℃로 올리는 데 20분이 소요되었다. 이 전열기의 효율(%)은 약 얼마인가?
(80 - 25) * 10 * 4.186(물의 비열) = 2310
2 * (20 * 60) = 2400
2310 / 2400 * 100= 95.9%
8. 100W 전구를 유백색 구형 글로브에 넣었을 경우 글로브의 효율(%)은 약 얼마인가? (단, 유백색 유리의 반사율은 30%, 투과율은 40%이다.)
글로브 효율이란 전구에서 발생한 빛(광속) 중 실제로 외부로 나오는 빛의 비율(%)을 의미합니다.
유백색 유리는 빛의 일부를 반사하고, 일부를 투과시킵니다. 이때, 외부로 나오는 빛은 투과율과 반사율에 따라 결정됩니다.
글로브효율 = 투과율 / (1-반사율)
9. 전기철도의 매설관측에서 시설하는 전식 방지 방법은?
① 임피던스본드 설치
② 보조귀선 설치
③ 이선율 유지
④ 강제배류법 사용
보귀선도 전식 방지 역할은 하지만, 매설관측 기준에서는 강제배류법임.
매설관측은 지하에 매설된 금속 구조물(예: 배관, 케이블, 철도 레일 등)이 **전식(電蝕)**이라는 부식 현상을 겪는 상태를 모니터링하거나 관리하는 것을 뜻합니다.
임피던스본드 설치는 직류전화(電化)구간에서 레일을 귀선(歸線)으로 사용하는 경우, 복레일 궤도 회로의 경계에 설치한 레일 연결점 절연 지점에 전차전류를 흘리고 궤도 회로용의 전류를 통하지 않게 하기 위하여 사용하는 일종의 변압기이다.임피던스본드를 쉽게 설명하면, 전철이 다니는 레일에 전기를 흘려보내면서도 신호 장치에 방해가 가지 않도록 도와주는 장치라고 볼 수 있어요.
- 레일은 전철이 다니는 도로이자, 전기가 흐르는 전선이라고 생각해요.
- 하지만 이 레일에는 신호등 같은 교통 신호 장치가 연결되어 있어서, 전철이 쓰는 전기와 신호 장치의 전기가 서로 섞이면 문제가 생길 수 있어요.
- 그래서 임피던스본드라는 장치는, 마치 특별한 필터처럼, 전철의 전기는 잘 흘려보내면서 신호 장치에 필요한 전기는 따로 보호해 주는 역할을 해요.
쉽게 말해, 전철 전기와 신호 장치 전기가 충돌하지 않도록 레일에서 교통정리를 해주는 기계라고 생각하면 됩니다. 😊
보조귀선은 전철이 사용한 전기를 안전하게 다시 돌려보내는 보조 전선이라고 생각하면 돼요.
- 전철이 움직이려면 전기를 써야 하고, 사용한 전기는 **귀선(레일)**을 통해 다시 변전소로 돌아가요.
- 하지만, 도시처럼 전기를 많이 쓰는 곳이나 오르막길처럼 전기를 더 많이 필요로 하는 구간에서는 레일만으로 전기를 다 돌려보내기 부족할 수 있어요.
- 그래서 레일 옆에 추가로 전선을 묻어서 전기를 더 쉽게 돌려보낼 수 있도록 만든 게 바로 보조귀선이에요.
이선율 유지는 신호와 통신선의 간섭을 줄이는 방법으로 전식과는 관련이 없습니다. 이선율은 전철이 달릴 때 **전기를 받는 장치(팬터그래프)**가 전선(트롤리선)에서 떨어지는 비율을 말해요.
- 전철은 위에 있는 전선(트롤리선)에서 전기를 받아야 움직일 수 있어요.
- 그런데 팬터그래프가 트롤리선과 떨어지는 순간이 생기면, 전기를 제대로 못 받아서 문제가 생길 수 있죠.
- 이 떨어진 시간의 비율을 계산한 것이 바로 이선율이에요.
- 전철이 전선을 통해 전기라는 에너지를 먹는 사람이라고 생각해 보세요.
- 그런데 전선과 팬터그래프가 잘 붙어 있어야 전기를 먹을 수 있잖아요?
- 이선은 전선이 떨어져서 밥을 못 먹는 순간이고, 이선율은 전철이 밥을 못 먹고 굶은 비율이에요.
강제배류법 사용은 전기철도의 매설 관측에서 발생하는 전식을 방지하기 위해, 전류를 지하로 안전하게 배출하여 전식을 예방하는 직접적인 방법입니다.
강제 배류는 지하에 묻힌 금속(예: 파이프나 전선)을 녹슬지 않게 보호하는 방법이에요.
- 금속은 전류가 흐르면서 부식(녹)될 위험이 있어요.
- 특히 지하에 묻힌 금속은 주변 환경(땅과 물) 때문에 전류가 잘 흘러서 부식이 더 빨리 일어날 수 있죠.
- 그래서 금속에서 전류가 빠져나가지 않도록, 거꾸로 전류를 넣어서 보호하는 거예요.
- 금속이 전류를 흘려서 힘이 빠지는 사람이라고 생각해요. 힘이 계속 빠지면 병들고 녹슨 상태가 되죠.
- 강제 배류는 이 사람에게 필요한 에너지를 거꾸로 넣어주는 약처럼 작용해요.
- 그래서 힘이 빠지지 않고 건강한 상태를 유지할 수 있는 거예요.
13. 한국전기설비규정에 따른 철탑의 주주재로 사용하는 강관의 두께는 몇 mm 이상이어야 하는가?
강판, 형강, 평강, 봉강
철탑 주주재 5mm
철주 주주재 4mm
기타 부재 3mm
강관
철탑 주주재 2.4mm
철주 주주재 2mm
기타 부재 1.6mm
14. 한국전기설비규정에 따른 플로어덕트공사의 시설조건 중 연선을 사용해야만 하는 전선의 최소 단면적 기준은? (단, 전선의 도체는 구리선이며 연선을 사용하지 않아도 되는 예외조건은 고려하지 않는다.)
232.32 플로어덕트공사 
232.32.1 시설조건 
1. 전선은 절연전선(옥외용 비닐절연전선을 제외한다)일 것. 
2. 전선은 연선일 것. 다만, 단면적 10 ㎟(알루미늄선은 단면적 16 ㎟) 이하인 것은 그러하지 아니하다. 
3. 플로어덕트 안에는 전선에 접속점이 없도록 할 것. 다만, 전선을 분기하는 경우에 접속점을 쉽게 점검할 수 있을 때에는 그러하지 아니하다. 
금속관 공사도 동일
18. 기계기구의 단자와 전선의 접속에 사용되는 자재는?
① 터미널 러그
② 슬리브
③ 와이어커넥터
④ T형 커넥터
터미널 러그
터미널 러그는 주로 전선을 단자에 연결할 때 사용하는 자재입니다. 전선 끝에 부착해 나사나 볼트로 고정하여 안정적으로 접속하도록 도와줍니다. 따라서 정답은 터미널 러그입니다.

슬리브
슬리브는 전선 간 접속에 사용되는 자재로, 보통 전선을 이어 붙일 때 압착기로 눌러 연결합니다. 단자보다는 전선끼리 연결할 때 더 많이 사용됩니다.

와이어커넥터
와이어커넥터는 전선끼리 쉽게 접속할 수 있는 자재로, 특히 꼬아서 연결하는 경우에 많이 쓰입니다. 단자보다는 전선 간 연결에 적합합니다.

T형 커넥터
T형 커넥터는 분기 회로를 만들 때 사용하는 자재로, 전선을 분기하여 여러 회로를 연결할 때 사용됩니다. 단자와 전선의 직접적인 연결에는 사용되지 않습니다.

2021.05.15
1. 형광등은 형광체의 종류에 따라 여러 가지 광색을 얻을 수 있다. 형광체가 규산아연일 때의 광색은?
텅스텐산 칼슘 : 청색 
텅스텐산 마그네슘 : 청백색 
규산아연 : 녹색
규산 아연 베릴륨 : 황색
염화 인산 카드뮴 : 오렌지색
규산카드뮴 : 등색(담홍색)
붕산카드뮴 : 핑크색 
 9. 총 중량이 50t 이고, 전동기 6대를 가진 전동차가 구배 20‰의 직선궤도를 올라가고 있다. 주행 속도 40km/h 일 때 각 전동기의 출력(kW)은 약 얼마인가? (단, 가속저항은 1550kg, 중량 당 주행저항은 8kg/t, 전동기 효율은 0.9 이다.)
20‰ 구배 → 20 kg/ton 즉 1톤당 20kg을 추가해야함.
따라서 50톤이니 50* 20 = 1000kg
(1550kg+ (50 * 8)kg + (50 * 20)kg) * 9.8 * 40 / (0.9 * 6 * 3600)
11. 합성수지몰드공사에 관한 설명으로 틀린 것은?
① 합성수지몰드 안에는 금속제의 조인트 박스를 사용하여 접속이 가능하다.
② 합성수지몰드 상호 간 및 합성수지 몰드와 박스 기타의 부속품과는 전선이 노출되지 아니하도록 접속해야 한다.
③ 합성수지몰드의 내면은 전선의 피복이 손상될 우려가 없도록 매끈한 것이어야 한다.
④ 합성수지몰드는 홈의 폭 및 깊이가 3.5cm 이하로 두께는 2mm 이상의 것이어야 한다.
합성수지몰드는 금속제 조인트 박스를 사용하지 않으며, 일체형 플라스틱 부속품을 사용해야 합니다. 금속 부품은 합성수지몰드의 절연성을 저해할 수 있기 때문입니다.
합성수지몰드의 설치 시 전선이 외부로 노출되지 않도록 밀폐되게 접속해야 합니다. 이는 안전 및 미관을 고려한 기본적인 규정입니다.
합성수지몰드는 전선 피복의 손상을 방지하기 위해 내부가 매끄럽게 제작되어야 합니다.
합성수지몰드는 홈의 폭 및 깊이가 3.5cm 이하로 두께는 2mm 이상의 것이어야 한다.
12. 고유 저항(20℃에서)이 가장 큰 것은?
① 텅스텐
② 백금
③ 은
④ 알루미늄
고유 저항은 물질 내부에서 전자의 흐름을 방해하는 정도를 나타냅니다.
고유 저항이 낮은 물질(예: 구리)은 전자가 "부드럽게" 흘러가며, 마치 고속도로에서 차량이 막힘 없이 달리는 것과 같습니다.
고유 저항이 높은 물질(예: 유리)은 전자가 "힘들게" 움직이며, 이는 교통체증이 심한 도로와 비슷합니다.
은 1 .59×10^8
구리 1.68×10^8
알루미늄 2.82×10−8
철 9.71×10−8
텅스텐 5,600 × 10^-8
백금 10,000 × 10^-8
유리 10^10~10^14
고무 10^13~10^16
14. 버스 덕트 공사에서 덕트 최대 폭(mm)에 따른 덕트 판의 최소 두께(mm)로 틀린 것은? (단, 덕트는 강판으로 제작된 것이다.)
① 덕트 최대 폭 100mm : 최소 두께 1.0mm
② 덕트 최대 폭 200mm : 최소 두께 1.4mm
③ 덕트 최대 폭 600mm : 최소 두께 2.0mm
④ 덕트 최대 폭 800mm : 최소 두께 2.6mm
| 덕트의 최대 폭(㎜) | 덕트의 판 두께(㎜) | ||
| 강 판 | 알루미늄판 | 합성수지판 | |
| 150 이하 150 초과 300 이하 300 초과 500 이하 500 초과 700 이하 700 초과하는 것 | 1.0 1.4 1.6 2.0 2.3 | 1.6 2.0 2.3 2.9 3.2 | 2.5 5.0 - - - | 
15. 전선 배열에 따라 장주를 구분할 때 수직배열에 해당되는 장주는?
① 보통 장주
② 래크 장주
③ 창출 장주
④ 편출 장주

19. 3MVA 이하 H종 건식변압기에서 절연재료로 사용하지 않는 것은?
① 명주
② 마이카
③ 유리섬유
④ 석면
3MVA = 3 Mega Volt-Ampere
절연등급

2021.03.07
2. 구리의 원자량은 63.54이고 원자가가 2일 때 전기화학당량은? (단, 구리 화학당량과 전기화학당량의 비는 약 96,494이다.)
① 0.3292 mg/C
② 0.03292 mg/C
③ 0.3292 g/C
④ 0.03292 g/C
원자량은 원자의 "몸무게"예요. 구리의 몸무게가 63.54라면, 다른 원소들도 몸무게가 각각 다르겠죠?
원자가가는 "몇 개의 손(전자)을 사용할 수 있는지"를 말해요. 구리는 손이 2개라서 전자를 2개씩 주고받을 수 있어요.
전기화학당량은 **"전기로 원소를 분리하거나 만드는 속도"**를 말해요. 전기를 흘리면 구리가 얼마나 빠르게 쌓이는지 보여주는 숫자예요.
4. 형광등의 광색이 주광색일 때 색온도(K)는 약 얼마인가?

6. 단상 반파정류회로에서 직류전압의 평균값 150V를 얻으려면 정류소자의 피크 역전압(PIV)은 약 몇 V인가? (단, 부하는 순저항 부하이고 정류소자의 전압강하(평균값)는 7V이다.)
우리가 전기를 쭉쭉 흘려서 평균 150V를 얻고 싶어. 그런데 전기를 막아주는 스위치 같은 부품(정류소자)이 있어야 해. 이 스위치가 얼마나 강한 전기를 막을 수 있어야 안전할까? 이걸 계산하는 거야.
먼저, 150V가 평균 값이야. 이 평균 값은 전기의 최고 높이(피크값)를 가지고 계산돼. 최고 높이에서 평균값을 계산하는 공식이 있어.
평균값= 최고높이(피크값) / π
최고높이(피크값) =평균값×π
근데 문제에서 전기를 흐르게 할 때 7V 정도 전압이 더 필요하대.
피크값=157V×3.14=493V
단상 반파정류: 직류 전압 평균값 = 입력 전압의 피크값 / π
단상 정파정류: 직류 전압 평균값 = 2 * 입력 전압의 피크값 / π
3상 반파정류: 직류 전압 평균값 = 3 * 입력 전압의 피크값 / π
3상 정파정류: 직류 전압 평균값 = 3 * 루트3 * 입력 전압의 피크값 / π
9. 일반적인 농형 유도전동기의 기동법이 아닌 것은?
① Y - △ 기동
② 전전압 기동
③ 2차 저항 기동
④ 기동보상기에 의한 기동
Y - △ 기동: 전동기의 기동 전류를 줄이기 위해 기동 시에는 Y 결선으로 시작하고, 정상 운전 시 △ 결선으로 전환하는 방식입니다.
전전압 기동: 전원 전압을 전동기에 그대로 인가하여 기동하는 방식입니다.
2차 저항 기동 : 2차 저항 기동은 권선형 유도전동기에 사용되는 방식으로, 회전자(2차) 회로에 저항을 추가하여 기동 전류를 조절합니다.
기동보상기에 의한 기동 : 기동보상기를 사용하여 전압을 낮춰 기동 전류를 줄이는 방식입니다.
11. 알칼리 축전지에서 소결식에 해당하는 초급방전형은?
① AM형 ② AMH형 ③ AL형 ④ AH-S형
알칼리 축전지(특히 Ni-Cd 등)에서 전극판 제조 방식에 따라 크게 포켓식(pocket plate) 과 소결식(sintered plate) 으로 구분하며, 사용 목적(방전 특성)에 따라 여러 형식이 존재합니다.
- 포켓식(pocket plate): 철판이나 니켈판 사이에 활물질을 넣어 봉합한 구조
- 소결식(sintered plate): 금속 분말(니켈 분말 등)을 고온에서 소결하여 기공(다공성) 구조를 만든 뒤, 그 내부에 활물질을 함침하는 방식
또한, 방전 특성(일반 방전, 고율 방전, 초(超)급방전 등)에 따라 모델 명칭에 L(저율, 장시간 방전), M(중간 정도 방전), H(고율 방전) 등이 붙기도 합니다. 소결식 전극판은 일반적으로 고율(High-rate) 방전이나 초(고속)급(하게)방전(고방전)이 필요한 용도에 많이 사용됩니다.
AM형
- ‘A’(Alkaline)의 ‘M’(Medium) 정도로 중간 방전을 주로 사용하는 형태.
- 주로 포켓식 전극인 경우가 많고, 소결식일 수도 있으나 이름만으로는 주로 “중간 정도 방전형”으로 분류됨.
AMH형
- ‘AM’보다 방전 성능(특히 고율 방전 능력)을 좀 더 개선한 형태로 보이는 명칭.
- 역시 구체적인 제조사 표준에 따라 다르지만, 일반적으로 “중·고율 방전형” 정도로 이해할 수 있음.
AL형
- ‘A’(Alkaline)의 ‘L’(Low)로, 저율 방전(장시간 방전) 용도.
- 예: 조명용 예비 전원, 장시간 소부하 공급 등에 사용.
AH-S형
- ‘A’(Alkaline)의 ‘H’(High) + ‘S’(Sintered).
- 이름에서 **“소결식 고율(초급) 방전형”**임을 직접적으로 나타냅니다.
- 소결 전극판을 사용함으로써 내부 저항이 작아, 큰 전류를 짧은 시간에 공급(초급방전) 하는 데 적합합니다.
14. 다음 중 지선에 근가를 시공할 때 사용되는 콘크리트 근가의 규격(길이)(m)은? (단, 원형지선근가는 제외한다.)
지선에 근가를 시공할 때 사용되는 콘크리트 근가는 다음과 같은 기능을 수행합니다.
* 지선의 전압 강하를 줄임
* 지선의 전류 밀도를 줄임
* 지선의 수명을 연장함
전기공사 표준시방서에 따르면, 지선에 근가를 시공할 때 사용되는 콘크리트 근가의 규격은 다음과 같습니다.
* 길이: 0.7m, 1.0m, 1.2m, 1.5m
16. 접지도체에 피뢰시스템이 접속되는 경우 접지도체의 최소 단면적(mm2)은? (단, 접지도체는 구리로 되어 있다.)
142.3 접지도체·보호도체 
142.3.1 접지도체 
1. 접지도체의 선정 
가. 접지도체의 단면적은 142.3.2의 1에 의하며 큰 고장전류가 접지도체를 통하여 흐르지 않을 경우 접지도체의 최소 단면적은 다음과 같다. 
(1) 구리는 6 ㎟ 이상 
(2) 철제는 50 ㎟ 이상
나. 접지도체에 피뢰시스템이 접속되는 경우, 접지도체의 단면적은 구리 16 ㎟ 또는 철 50 ㎟ 이상으로 하여야 한다.
17. 셀룰러덕트의 최대 폭이 200mm를 초과할 때 셀룰러덕트의 판 두께는 몇 mm 이상이어야 하는가?
표 232.33-1 셀룰러덕트의 선정
| 덕트의 최대 폭 | 덕트의 판 두께 | 
| 150 ㎜ 이하 | 1.2 ㎜ | 
| 150 ㎜ 초과 200 ㎜ 이하 | 1.4 ㎜[KS D 3602(강제 갑판) 중 SDP2, SDP3 또는 SDP2G에 적합한 것은 1.2 ㎜] | 
| 200 ㎜ 초과하는 것 | 1.6 ㎜ | 
18. 고압으로 수전하는 변전소에서 접지 보호용으로 사용되는 계전기의 영상전류를 공급하는 계전기는?
① CT
② PT
③ ZCT
④ GPT
영상 전류란 전선 세 가닥(3상 전력 시스템)에 흐르는 전류의 합이 0이 아닌 경우 발생하는 전류예요. 정상적인 상황에서는 세 가닥의 전류가 균형을 이루기 때문에 합이 0이 돼요. 하지만 지락 사고(전선이 땅에 닿는 경우)나 누설 전류가 생기면 전류가 비대칭적으로 흐르면서 합이 0이 아니게 돼요. 지락 사고나 이상 상태를 감지하는 데 사용됩니다.
ZCT (Zero Current Transformer, 영상변류기)
- ZCT는 전력 시스템에서 영상전류(= 비대칭 전류)를 검출하는 장치입니다.
- 변전소에서 고압으로 수전할 때, 접지 보호 계전기에 영상전류를 공급하기 위해 사용됩니다.
- 영상전류는 주로 누설전류나 지락사고 시 발생하며, 이를 검출하여 보호 계전기가 동작하게 합니다.
다른 선택지 해설:
① **CT (Current Transformer, 변류기)**는 전류를 작게 만들어서 계측기(전류 측정 기계)나 보호 장치가 안전하게 사용할 수 있게 도와주는 기계예요. 그런데 "영상전류"(불균형 전류)를 찾아내는 데는 잘 안 쓰여요.
② **PT (Potential Transformer, 변압기)**는 전압을 작게 만들어서 계측기나 보호 장치가 사용하도록 해주는 기계예요. 이건 전압에 관련된 거라, "영상전류"랑은 관계가 없어요.
④ **GPT (Ground Potential Transformer)**는 접지(땅과 연결된 선) 쪽 전압 변화를 감시하는 기계예요. "영상전류" 대신 접지 쪽의 전압을 감시하는 데 쓰여요.
20. KS C 8000에서 감전 보호와 관련하여 조명기구의 종류(등급)을 나누고 있다. 각 등급에 따른 기구의 설명이 틀린 것은?
① 등급 0 기구: 기초절연으로 일부분을 보호한 기구로서 접지단자를 가지고 있는 기구
② 등급Ⅰ기구: 기초절연만으로 전체를 보호한 기구로서 보호 접지단자를 가지고 있는 기구
③ 등급Ⅱ 기구: 2중 절연을 한 기구
④ 등급Ⅲ 기구: 정격전압이 교류 30V 이하인 전압의 전원에 접속하여 사용하는 기구
(20) 등급 0 기구
접지단자 또는 접지선을 갖지 않고 기초 절연만으로 전체가 보호된 기구
(21) 등급Ⅰ기구
기초절연만으로 전체를 보호한 기구로서 보호 좁지단자 혹은 보호접지선 접속부를 갖든가 또는 보호 접지선이 든 코드와 보호 접지선 접속부가 있는 플러그를 갖추고 있는 기구
(22) 등급Ⅱ 기구
2중절연을 한 기구 (다만, 원칙적인 2중절연이 하기 어려운 부분에는 강화절연을 한 기구를 포함한다) 또는 기구의 외곽 전체를 내구성이 있는 견고한 절연재료로 구성한 기구와 이들을 조합한 기구
(23) 등급 Ⅲ 기구
정격전압이 교류 30V 이하인 전압의 전원에 접속하여 사용하는 기구
2020.09.26
① 포토트랜지스터는 모든 빛에 감응하지 않으며, 일정 파장 범위 내의 빛에 감응한다.
② 포토커플러는 전기적으로 절연되어 있지만 광학적으로 결합되어 있는 발광부와 수광부를 갖추고 있다.
③ 포토사이리스터는 빛에 의해 개방된 두 단자 사이를 도통시킬 수 있어 전류의 ON-OFF 제어에 쓰인다.
④ 포토다이오드는 일반적으로 포트트랜지스터에 비해 반응속도가 느리다.
광전 소자는 **빛(광)**과 **전기(전자)**를 연결해주는 소자입니다.
쉽게 말해, 빛을 받으면 전기를 흐르게 하거나, 전기를 빛으로 바꾸는 역할을 합니다.
포토트랜지스터란? 트랜지스터는 전류를 증폭하거나 제어하는 소자예요. 포토트랜지스터는 빛을 감지해서 전류를 흐르게 하는 트랜지스터입니다. 예를 들어, 빛이 세게 들어오면 더 많은 전류가 흐릅니다.포토트랜지스터는 감지할 수 있는 빛의 범위가 정해져 있습니다. 예를 들어, 자외선(UV)이나 적외선(IR) 같은 특정 파장의 빛만 반응하게 설계됩니다.
사용 예시: 리모컨
텔레비전 리모컨을 누르면 적외선(IR) 신호가 TV로 전송되죠.
이때 TV 안에 있는 포토트랜지스터가 적외선 신호를 받아들여 명령을 실행합니다.
포토커플러란? 전기적으로 완전히 절연된 두 회로 사이에서 신호를 전달하는 소자입니다. 한쪽에서는 **빛(발광부, LED)**을 만들어내고, 다른 쪽에서는 그 빛을 받아 **신호로 변환(수광부, 포토트랜지스터)**합니다.
왜 사용하나요? 두 회로를 완전히 분리해 놓아 전기적 간섭이나 고장을 막기 위해 사용합니다. 전기적으로 떨어져 있으면서도 빛을 통해 신호를 주고받으니 안정적입니다.
사용 예시: 가전제품 내부 회로 보호
전기밥솥, 세탁기 같은 가전제품 내부에는 고전압과 저전압이 섞여 있어요.
포토커플러는 두 전압 회로를 완전히 분리하면서도 신호를 주고받게 해줍니다.
포토사이리스터란? 사이리스터는 큰 전류를 흐르게 하는 스위치 역할을 합니다. 여기에 빛을 이용해 작동하는 기능을 추가한 것이 포토사이리스터입니다. 빛이 들어오면 사이리스터가 작동하고, 전류가 흐르게 됩니다. 쉽게 말해, "빛으로 스위치를 켜고 끄는 것"이 가능해지는 겁니다.
사용 예시: 조명 제어 시스템
빛의 밝기에 따라 전등을 켜거나 끄는 시스템에 쓰입니다.
예를 들어, 자동으로 켜지는 가로등이나 스마트 홈 조명 시스템에 사용됩니다.
포토다이오드란? 다이오드는 전류가 한쪽 방향으로만 흐르게 하는 전자 소자입니다. 포토다이오드는 빛을 받으면 전자가 이동하면서 전류가 흐르게 하는 다이오드입니다. 포토다이오드는 빠르게 반응하지만, 전류를 크게 증폭하지는 못합니다. 반면 포토트랜지스터는 전류를 증폭하지만, 반응 속도는 느립니다.
사용 예시: 카메라와 거리 센서
디지털 카메라의 광 센서(빛을 감지해서 사진을 찍는 역할)에 사용됩니다.
또, 자동차에 쓰이는 주차 센서나 LiDAR(레이저 거리 측정) 기술에서도 포토다이오드가 쓰입니다.
4. 직류 전동기의 속도제어법에서 정출력 제어에 속하는 것은?
① 계자제어
② 전압제어
③ 전기자 저항제어
④ 워드 레오나드 제어
직류 전동기의 속도 제어법
1. 계자 제어 (Field Control) : 계자 전류(자기장을 만드는 전류)를 조절하여 속도를 제어합니다.
- 계자 전류를 줄이면 자기장이 약해지고 속도가 증가합니다.
- 자기장이 약해지면 토크는 감소하지만 출력은 일정하게 유지됩니다.
- 정출력 제어 : 속도가 증가하면서 토크가 감소해도 출력은 일정하게 유지됩니다.
- 주로 고속 영역에서 사용됩니다.
2. 전기자 저항 제어 (Armature Resistance Control) : 전기자에 저항을 추가해 전류를 줄임으로써 속도를 낮춥니다.
- 속도가 느려지면 토크는 거의 유지되지만 출력은 감소합니다.
- 정토크 제어 : 저속 영역에서 일정한 토크를 유지하며 속도를 낮추는 방식입니다.
- 효율은 낮지만 저속에서의 안정성을 필요로 할 때 사용됩니다.
3. 전압 제어 (Armature Voltage Control) : 전기자에 공급되는 전압을 직접 조절해 속도를 제어합니다.
- 전압이 증가하면 속도와 출력이 증가하고, 전압이 감소하면 속도와 출력이 감소합니다.
- 속도가 바뀌어도 토크는 일정하게 유지됩니다.
- 정토크 제어 : 속도에 관계없이 일정한 토크를 유지합니다.
- 고속과 저속 모두에서 정밀한 제어가 가능합니다.
4.워드-레오나드 제어 (Ward-Leonard Control): 별도의 발전기 시스템을 사용하여 전기자에 공급되는 전압을 조절해 속도를 제어합니다.
정토크 제어 : 속도에 관계없이 일정한 토크를 유지합니다
직류발전기를 이용해 전기자 전압을 변경하면 속도가 조절됩니다. 속도가 증가하면 토크는 일정하게 유지되면서 출력도 증가합니다. 이 방식은 정밀한 제어가 가능하여 다양한 속도 영역에서 활용됩니다. 주로 대형 설비나 고정밀 제어가 요구되던 과거 시스템에서 사용되었으나, 현대에는 전력전자 기술로 대체되었습니다.
교류 전동기의 속도 제어법
1. 주파수 제어 (Frequency Control)
2. 전압 제어 (Voltage Control)
3. 극수 제어 (Pole Changing Control)
4. 로터 저항 제어 (Rotor Resistance Control)
5. 슬립 제어법
10. 방전개시 전압과 관계되는 법칙은?
① 스토크스의 법칙
② 페닝의 법칙
③ 파센의 법칙
④ 탈보트의 법칙
파센의 법칙(Paschen's Law)
**방전개시 전압(방전이 시작되는 데 필요한 최소 전압)**과 관련된 법칙입니다.
이 법칙은 전극 간의 거리와 가스 압력의 곱(p × d)에 따라 방전개시 전압이 달라진다는 것을 설명합니다.
간단히 말해, 특정 압력과 거리에서 전압이 최소가 되는 조건을 찾을 수 있다는 뜻입니다.
스토크스, 탈보트는 아예 전기공사랑 관련 없음
페닝은 방전이랑 관련은 있지만, 방전개시 전압이랑은 관련 x
11. 케이블의 약호 중 EE의 품명은?
1. 전선 약호의 의미 
V: 비닐 (Vinyl) 
R: 고무 (Rubber) 
B: 부틸 고무 (Butyl Rubber) 
E: 폴리에틸렌 (Polyethylene) 
O: 옥외용 (Outdoor) 
C: 가교 폴리에틸렌 (Cross-linked Polyethylene) 
2. 전선 약호 
A : 연동선(구리선) 
H : 경동선(구리+주석선) 
ACSR : 강심 알류미늄 연선 
OW : 옥외용 비닐 절연전선 
OE : 옥외용 폴리에틸렌 절연전선 
OC : 옥외용 가교폴리에틸렌 절연전선 
DV : 인입용 비닐 절연전선 
FL : 형광 방전등용 비닐전선 
N-V : 비닐절연 네온전선 
N-RV : 고무절연 비닐 시스 네온전선 
N-RC : 고무절연 클로로프렌 시스 네온전선 
N-EV : 폴리에틸렌 절연 비닐 시스 네온전선 
3. 케이블 약호
EE : 폴리에틸렌절연 폴리에틸렌 시스케이블 
EV : 폴리에틸렌 절연 비닐 시스 케이블 
MI : 미네랄 인슈레이션 케이블 
VCT: 비닐 절연 비닐 캡타이거 케이블 
VV: 비닐 절연 비닐 시스 케이블 
CVV 비닐 절연 비닐 시스 제어 케이블 
CV 가교 폴리에틸렌 절연 비닐 시스 케이블 
CE 가교 폴리에틸렌 절연 폴리에틸렌 시스 케이블 
CNCV 동심중성선 차수형 전력 케이블 
CNCV-W 동심중성선 수밀형 전력케이블 
TR CNCV-W 동심중성선 트리억제형 전력 케이블
13. 가선 금구 중 완금에 특고압 전선의 조수가 3일 때 완금의 길이(mm)는?
900 1400 1800 2400 만 외우자
| 전선의 조수 | 특고압 | 고압 | 저압 |
|---|---|---|---|
| 2 | 1800 | 1400 | 900 |
| 3 | 2400 | 1800 | 1400 |
비슷한 문제
15. 다음 중 경완철의 표준규격(길이)이 아닌 것은?
17. 특고압, 고압, 저압에 사용되는 완금(완철)의 표준길이(mm)에 해당되지 않는 것은?
| 전압 | 완금 길이(mm) | 
|---|---| 
| 특고압 | 900, 1800, 2400 | 
| 고압 | 900, 1400, 1800, 2400 | 
| 저압 | 900 |
14. 콘크리트 매입 금속관 공사에 사용하는 금속관의 두께는 최소 몇 mm 이상이어야 하는가?
나. 관의 두께는 다음에 의할 것.
(1) 콘크리트에 매입하는 것은 1.2 ㎜ 이상
(2) (1) 이외의 것은 1 ㎜ 이상. 다만, 이음매가 없는 길이 4 m 이하인 것을 건조하고 전개된 곳에 시설하는 경우에는 0.5 ㎜까지로 감할 수 있다.
15. 옥내배선용 공구 중 리머의 사용 목적으로 옳은 것은?
① 로크너트 또는 부싱을 견고히 조일 때
② 커넥터 또는 터미널을 압착하는 공구
③ 금속관 절단에 따른 절단면 다듬기
④ 금속관의 굽힘
리머는 금속관이나 배관을 절단한 후에, 그 절단면에 생기는 거친 면이나 날카로운 모서리를 부드럽게 다듬는 공구입니다.
금속관을 절단하면 내부에 **버(Burr)**라는 날카로운 찌꺼기나 돌기가 생기는데, 이것을 제거하여 전선이 손상되지 않도록 하는 것이 주요 목적입니다.

① 로크너트 또는 부싱을 견고히 조일 때
- 이 작업에는 렌치나 플라이어 같은 조임용 공구를 사용합니다.
② 커넥터 또는 터미널을 압착하는 공구
- 커넥터나 터미널을 압착할 때는 **압착기(크림퍼)**를 사용합니다.
④ 금속관의 굽힘
- 금속관을 굽히는 작업에는 **벤더(Bender)**라는 별도의 공구를 사용합니다.
18. 300W 이상의 백열전구에 사용되는 베이스의 크기는?
전구의 베이스 크기는 E10, E17, E26, E39 등으로 구분되며, 숫자는 베이스의 직경을 나타냅니다. E10은 10mm, E17은 17mm, E26은 26mm, E39는 39mm입니다.
E10: 장식용 회전등으로 사용되는 작은 전구용
E12: 배전반 표시등
E17: 샤인 전구용
E26: 250V 이하 병형 전구용
E39: 300V 이상 대형 전구용
19. 배전반 및 분전반을 넣은 함이 내아크성, 난연성의 합성수지로 되어 있을 때 함의 최소 두께(mm)는?
배전반 및 분전반의 재질별 두께
목재: 12[mm] 이상
내아크성, 난연성의 합성수지: 1.5[mm] 이상
강판재: 1.2[mm] 이상 (30cm 이하는 1.0[mm])
2020.08.22
1. 다음 중 쌍방향 2단자 사이리스터인 것은?
① SCR
② TRIAC
③ SSS
④ SCS
SCR
- 단방향.
- 2단자로만 쓸 수도 있지만(게이트 무시 시), 기본적으로는 3단자 소자이며 단방향이다.
TRIAC
- 쌍방향(양 방향) 전류 제어 가능.
- 3단자(MT1, MT2, G)이지만,
- 문제에서 “쌍방향 사이리스터”라고 하면 가장 대표적인 것이 TRIAC이다.
SSS
- 2극 양방향 소자
SCS
- 실리콘 제어 스위치(Silicon Controlled Switch).
- 4단자(애노드·캐소드 외에 2개의 게이트).
단방향 : SCR, LASCR, GTO, SCS
쌍방향 : DIAC, TRIAC, SSS, SBS
2극(단자) : DIAC, SSS, DIODE
3극(단자) : SCR, LASCR, GTO, TRIAC, 뉸
4극(단자) : SCS
3층 구조 : DIAC
4층 구조 : SCR, GTO, SCS
5층 구조 : SSS
3. 저항용접에 속하는 것은?
① TIG 용접
② 탄소 아크 용접
③ 유니온벨트 용접
④ 프로젝션 용접
 **저항용접(Resistance Welding)**은 전기 저항에 의해 발생하는 열을 사용하여 금속을 용접하는 방식입니다.
금속 접촉부에 전류를 흘리면, 접촉 면에서 저항으로 인해 열이 발생하고, 이 열로 금속이 녹아 서로 접합됩니다. 
TIG 용접 (①):
- Tungsten Inert Gas Welding의 약자로, 텅스텐 전극과 아르곤 같은 보호가스를 사용하여 용접합니다.
- 주로 아크 용접 방식에 속하며, 저항용접이 아닙니다.
탄소 아크 용접 (②):
- 아크 용접 방식 중 하나로, 탄소 전극을 사용하여 아크 방전을 통해 금속을 용접합니다.
- 전극과 금속 사이에서 발생하는 고온의 아크를 사용하므로, 저항용접이 아닙니다.
유니온벨트 용접 (③):
- 특수한 방식의 용접으로, 저항용접 방식이 아닌 특수 접합 방식에 가깝습니다.
- 주로 특정 산업 장비에서 사용됩니다.
돌기용접(Projection Welding)④):
- 저항용접의 한 종류로, 용접할 금속 표면에 돌출부(Projection)를 만들어 전류가 그 부분에 집중되도록 설계한 방식입니다.
- 자동차 부품, 전자 부품 등의 대량 생산에 주로 사용됩니다.
점용접(Spot Welding)
두 금속판을 겹친 후 전극을 통해 전류를 흘려 특정 점에서만 용접하는 방식입니다. 주로 자동차 제조나 얇은 판재를 접합하는 데 사용됩니다. 마치 스테이플러로 종이를 찍는 것처럼 특정 지점만 붙인다고 생각하면 됩니다.
심용접(Seam Welding)
점용접과 비슷하지만, 연속적으로 움직이며 선형으로 용접하는 방식입니다. 금속 통이나 연료탱크처럼 누수가 없어야 하는 제품에 사용됩니다. 테이프 붙이듯이 금속을 이어 붙이는 모습이라고 상상해보세요.
업셋 용접(Upset Welding)
금속의 끝부분을 맞대고 전류와 압력을 가해 접합하는 방식입니다. 봉이나 와이어 같은 긴 금속을 연결하는 데 적합합니다. 두 연필 끝을 불로 녹여 이어 붙이는 것과 비슷한 개념이라고 보면 됩니다.
6. 전원전압 100V인 단상 전파제어정류에서 점호각이 30°일 때 직류전압은 약 몇 V인가?
문제에서 주어진 “단상 전파제어정류”는 보통 두 가지 대표적인 형태가 있습니다.
- 브리지(Bridge) 방식의 전파정류회로
- 중심탭(Center-Tapped) 변압기를 사용한 전파정류회로
이 두 방식은 모두 ‘전파정류(Full-Wave Rectification)’이지만,
**제어각 α**를 고려할 때 평균출력전압 식이 서로 다릅니다.
문제에 특정한 조건이 없기 때문에 둘 중에 하나가 정답이다.
브리지(Bridge) 방식의 전파정류회로
- 다이오드 4개 + SCR(또는 사이리스터) 2~4개로 구성되는 전형적인 브리지 구조
- 평균 출력전압(순수 저항 부하 RR 가정)은 다음 공식이 자주 쓰입니다.


중심탭(Center-Tapped) 변압기를 사용한 전파정류회로
- 변압기의 2차 측에 중심탭(중점)을 두고, SCR(또는 사이리스터) 2개를 양쪽에 배치하여 각각 반주기마다 전류가 흐르도록 구성
- 이 회로는 각 반주기마다 “한 쌍의 SCR 중 하나만” 도통하므로,
 실제로는 각 반주기에 대해 ‘반파제어정류’가 2번 일어난다고 볼 수 있습니다.
- 하지만 전체 주기로 보았을 때는 전파정류 결과가 얻어집니다.


계산하기 힘들다면 간단 공식14
10. 열전대를 이용한 열전 온도계의 원리로 옳은 것은?
열전대(Thermocouple)** 즉, 써모커플(Thermocouple)은 서로 다른 종류의 금속선을 접합한 온도 센서로, 열전기쌍이라고도 합니다. 온도차이가 있는 두 금속선의 양단을 접합해 폐회로를 만들면, 이 회로에 열기전력이 발생합니다. 즉 제백효과
12. 다음 중 배전반 및 분전반을 넣은 함의 요건으로 옳지 않은 것은?
① 반의 옆쪽 또는 뒤쪽에 설치하는 분배전반의 소형 덕트는 강판제이어야 한다.
② 난연성 합성수지로 된 것은 두께가 최소 1.6mm이상으로 내(耐)수지성인 것이어야 한다.
③ 강판제의 것은 두께 1.2mm 이상이어야 한다. 다만, 가로 또는 세로의 길이가 30cm 이하인 것은 두께 1.0mm 이상으로 할 수 있다.
④ 절연저항 측정 및 전선접속단자의 점검이 용이한 구조이어야 한다.
분배전반은 전력을 분배하기 위해 사용하는 전기 설비의 한 부분이에요. 쉽게 말해서, 배전반에서 받은 전력을 여러 개의 소규모 회로로 나누어 공급하는 장치입니다.
배전반 및 분전반의 재질별 두께
목재: 12[mm] 이상
내아크성, 난연성의 합성수지: 1.5[mm] 이상
강판재: 1.2[mm] 이상 (30cm 이하는 1.0[mm])
13. 라인포스트 애자는 다음 중 어떤 종류의 애자인가?
① 핀애자
② 현수애자
③ 장간애자
④ 지지애자
라인포스트 애자는 전선을 지지하기 위해 전봇대나 철탑에 설치하는 애자의 한 종류입니다. 고압 전력선에서 주로 사용되며, 전선이 기둥(지지체)에 고정된 상태로 안정적으로 전력을 전달할 수 있도록 돕습니다.

① 핀애자(Pin Insulator):
- 전봇대 위에 수직으로 설치되는 작은 애자입니다.
- 저압 또는 중압 전력선에서 전선을 지지하는 데 사용됩니다.
- 주로 전봇대의 상단에 설치됩니다
- 특고압의 핀애자는 적색

② 현수애자(Suspension Insulator):
- 전선을 매다는 형태로 사용하는 애자입니다.
- 전선의 장력을 지지(인류개소)하기 위해 철탑이나 전봇대에 설치됩니다.
- 고압 또는 초고압 전력선에서 많이 사용됩니다.
③ 장간애자(Strain Insulator):
- 전선이 끊어질 위험이 있거나 전선의 방향이 급격히 바뀌는 곳에서 사용됩니다.
- 전선에 걸리는 장력을 견디도록 설계된 애자입니다.
④ 지지애자(Post Insulator):
- 전선을 기둥(지지체)에 고정하여 지지하는 역할을 합니다.
- 라인포스트 애자는 지지애자의 한 종류로 분류됩니다.
- 전봇대의 측면에 설치되며, 전선을 수평 또는 경사지게 지지하는 데 사용됩니다.
15. KS C IEC 62305-3에 의해 피뢰침의 재료로 테이프형 단선 형상의 알루미늄을 사용하는 경우 최소단 면적(mm2)은?
표 6 - 수뢰도체, 피뢰침과 인하도선의 재료, 형상과 최소단면적
| 재 료 | 형 상 | 최소단면적 mm2 | 해 설10) | 
| 구리 | 테이프형 단선 원형 단선7) 연선 원형 단선3), 4) | 50 8) 50 8) 50 8) 2008) | 최소 두께 2 mm 직경 8 mm 각 소선의 최소직경 1.7 mm 직경 16 mm | 
| 주석도금한 구리1) | 테이프형 단선 원형 단선7) 연선 | 50 8) 50 8) 50 8) | 최소 두께 2 mm 직경 8 mm 각 소선의 최소직경 1.7 mm | 
| 알루미늄 | 테이프형 단선 원형 단선 연선 | 70 8) 50 8) 50 8) | 최소 두께 3 mm 직경 8 mm 각 소선의 최소직경 1.7 mm | 
| 알루미늄합금 | 테이프형 단선 원형 단선 연선 원형 단선3) | 50 8) 50 50 8) 2008) | 최소 두께 2.5 mm 직경 8 mm 각 소선의 최소직경 1.7 mm 직경 16 mm | 
| 용융아연도금강2) | 테이프형 단선 원형 단선9) 연선 원형 단선3), 4), 9) | 50 8) 50 50 8) 200 8) | 최소 두께 2.5 mm 직경 8 mm 각 소선의 최소직경 1.7 mm 직경 16 mm | 
| 스테인리스강5) | 테이프형 단선6) 원형 단선6) 연선 원형 단선3), 4) | 50 8) 50 70 8) 2008) | 최소 두께 2 mm 직경 8 mm 각 소선의 최소직경 1.7 mm 직경 16 mm | 
| 1) 용융 또는 전기도금피복의 최소두께는 1 ㎛ 이상이다. 2) 피복은 최소 50 ㎛의 두께로 매끄럽고, 연속적이며 녹슬지 않도록 한다. 3) 단지 피뢰침에 적용할 수 있다. 풍압하중과 같은 기계적 응력이 크게 작용하지 않는 경우에는 직경 10 mm, 최대길이가 1 m인 피뢰침을 부가적인 고정을 하여 사용할 수 있다. 4) 단지 대지에 인입하는 봉으로 사용할 수 있다. 5) 크롬≥16 %, 니켈≥8 %, 탄소≤0.07 %. 6) 가연성 물질과 직접 접촉하는 콘크리트에 매입된 스테인리스강의 최소크기는 원형 단선은 78 mm2(직경 10 mm), 테이프형 단선은 75 mm2 (최소두께 3 mm)이상으로 한다. 7) 기계적 강도가 요구되지 않는 경우 단면적 50 mm2 (직경 8 mm)를 28 mm2 (직경 6 mm)로 줄여도 된다. 이 경우 죔쇠 사이의 간격도 줄인다. 8) 열적/기계적 고려가 중요하다면 이들 치수를 테이프형 단선은 60 mm2로 원형 단선은 78 mm2로 증가시킬 수 있다. 9) 10 000 kJ/Ω의 비에너지에 대하여 용융되지 않는 최소단면적은 구리 16 mm2, 알루미늄 25 mm2, 강선 50 mm2, 스테인리스강 50 mm2이며, 상세한 사항은 부속서 E에 기술되어 있다. 10) 두께, 폭, 직경은 ±10 %로 정의된다. | |||
18. 지선밴드에서 2방 밴드의 규격이 아닌 것은?
① 150 × 203mm
② 180 × 240mm
③ 200 × 260mm
④ 240 × 300mm
지선을 연결하기 위하여 전주에 설치하는 자재이다. 지선밴드의 종류로는 2방, 3방, 4방용이 있으며 주로 2방용 지선밴드가 사용되고 있다.
옛날 버전이니 참고


19. 석유류 등의 위험물을 제조하거나 저장하는 장소에 저압 옥내 전기설비를 시설하고자 할 때 사용 가능한 이동전선은? (단, 이동전선은 접속점이 없다.)
① 0.6 / 1kV EP 고무절연 클로로프렌 캡타이어 케이블
② 0.6 / 1kV EP 고무절연 클로로프렌 시스 케이블
③ 0.6 / 1kV EP 고무절연 비닐시스 케이블
④ 0.6 / 1kV 비닐절연 비닐시스 케이블
석유류 및 위험물 제조/저장 장소:
- 이러한 장소는 폭발성 환경이 형성될 가능성이 높으므로, 전기설비의 안전성이 가장 중요합니다.
- 특히 전선은 내구성, 내열성, 내화학성, 그리고 절연성이 뛰어나야 합니다.
① 0.6 / 1kV EP 고무절연 클로로프렌 캡타이어 케이블:
- EP 고무절연: 내열성과 절연성이 우수.
- 클로로프렌 캡타이어 케이블:
- 내구성과 유연성이 뛰어나며, 화학적 안정성(기름, 화학물질, 습기 등)에 강함.
- 이동 전선으로 많이 사용.
 
- 적합성: 위험물 제조/저장 장소에 적합.
② 0.6 / 1kV EP 고무절연 클로로프렌 시스 케이블:
- 클로로프렌 시스는 화학적 안정성이 있지만, 캡타이어 구조가 아니므로 이동전선으로는 부적합.
- 적합성: 이동 전선으로 부적합.
③ 0.6 / 1kV EP 고무절연 비닐시스 케이블:
- 비닐 시스(Vinyl Sheath): 기름 및 화학물질에 대한 내성이 약함.
- 적합성: 위험물 장소에는 부적합.
④ 0.6 / 1kV 비닐절연 비닐시스 케이블:
- 비닐 절연: 내구성, 내열성, 내화학성이 낮아 화재 및 화학물질에 취약.
- 적합성: 위험물 장소에 절대 부적합.
2020.06.06
1. 전기 화학 반응을 실제로 일으키기 위해 필요한 전극 전위에서 그 반응의 평형 전위를 뺀 값을 과전압이라고 한다. 과전압의 원인으로 틀린 것은?
① 농도 분극
② 화학 분극
③ 전류 분극
④ 활성화 분극
농(농도) 경(결정) 활(활성화) 활(화학) : 농경이 활활 불탄다.
과전압이란?
전기화학 반응이 실제로 일어나려면, 평형 전위보다 더 높은 전압이 필요할 때 이 추가 전압을 과전압이라고 불러요. 이건 반응이 방해를 받거나 쉽게 일어나지 않는 이유 때문에 발생해요.
문장에서 말하는 "원인"이란?
여기서 "과전압의 원인"이란, 왜 평형 전위보다 더 높은 전압(즉, 과전압)이 필요한지를 설명하는 거예요. 즉, 반응을 방해하거나 어렵게 만드는 요인들을 말합니다.
전위: 특정 지점의 전기적 에너지.
전압: 두 지점 사이의 전위 차이.
분극: 전극 주변에서 반응 조건이 바뀌어 반응이 방해받는 현상.
- 농도 분극
 반응물질(예: 이온)이 전극 근처에서 부족하거나 과잉되면 반응 속도가 느려져요. 그래서 더 큰 전압이 필요해요.
 → 예: 빨대로 음료수를 빨 때, 빨대 끝에 음료수가 부족하면 더 세게 빨아야 하는 상황.
- 화학 분극
 전극에서 화학 반응 자체가 느릴 때 발생해요. 반응을 빠르게 하기 위해 추가 전압이 필요해요.
 → 예: 불이 붙기 힘든 젖은 장작에 불을 붙이려면 더 뜨거운 불씨가 필요하죠.
- 활성화 분극
 반응이 시작되려면 에너지를 추가로 넣어야 하는데, 그걸 전압으로 더 주는 거예요.
 → 예: 멈춰 있는 자전거를 처음 밀기 위해 더 큰 힘이 필요한 상황.
- 결정화 분극
2. 자기소호 기능이 가장 좋은 소자는?
① GTO
② SCR
③ DIAC
④ TRIAC
자기소호는 전력 전자 소자가 스스로 꺼질 수 있는 능력을 말해요.
즉, 외부에서 특별한 회로나 장치를 사용하지 않고도 소자가 스스로 도통(ON) 상태에서 차단(OFF) 상태로 전환할 수 있는 기능이에요.
**GTO (Gate Turn-Off Thyristor)**는 자기소호 기능이 가장 뛰어난 소자입니다.
GTO는 게이트 전류를 조작하여 스스로 도통(ON) 상태에서 차단(OFF) 상태로 전환할 수 있습니다.
SCR (Silicon Controlled Rectifier)
- 게이트 신호로만 켜질 수 있지만, 꺼질 때는 외부 회로를 통해 전류를 차단해야 합니다.
- 즉, 자기소호 기능이 없습니다.
DIAC (Diode for Alternating Current)
- 교류 전압에서 일정 전압 이상일 때 양방향으로 도통되지만, 소호 기능은 없습니다.
- 주로 TRIAC의 트리거 용도로 사용됩니다.
TRIAC (Triode for Alternating Current)
- 교류 전압에서 양방향으로 도통이 가능하지만, 역시 소호 기능은 없습니다.
- 꺼질 때는 전류가 0이 되어야 자동으로 꺼집니다.
3. 플라이휠 효과 1kg·m2인 플라이휠 회전속도가 1500rpm에서 1200rpm으로 떨어졌다. 방출에너지는 약 몇 J인가?

GD^2(N2^2-N1^2)/730 = 1^2*(1500^2-1200^2)/730=1109.59=1.11*10^3
6. 서미스터(Thermistor)의 주된 용도는?
① 온도 보상용
② 잡음 제거용
③ 전압 증폭용
④ 출력 전류 조절용
**서미스터(Thermistor)**는 온도에 따라 저항값이 변하는 반도체 소자입니다.
주로 온도 보상(Temperature Compensation)이나 온도 측정에 사용됩니다.
- 온도 보상: 온도 변화에 의한 전자 장치의 특성 변화를 보정하는 역할.
- 온도 센서: 정확한 온도 감지를 위해 활용.

8. 직류 전동기 중 공급전원의 극성이 바뀌면 회전방향이 바뀌는 것은?
① 분권기
② 평복권기
③ 직권기
④ 타여자기
분권기에서는 병렬로 연결되어 있어 전원의 극성이 바뀌더라도 계자 자기장의 방향과 전기자 전류의 방향이 동시에 반대로 바뀝니다. 두 변화가 서로 상쇄되어 회전 방향이 변하지 않습니다.
평복권기: 분권기와 마찬가지로 평복권기(平複捲機, Shunt Wound DC Motor)는 직류 전동기의 한 종류로, 전기자 권선과 계자 권선이 서로 병렬로 연결된 구조를 가지고 있습니다
직권기: 계자 코일과 전기자 코일이 직렬로 연결되어 전류가 한 방향으로 흐릅니다. 공급 전원의 극성이 바뀌면, 계자와 전기자 둘 다 동시에 극성이 반대로 바뀌게 됩니다.
타여자기 : 공급전원의 극성이 바뀌면 전기자 전류의 방향이 반대로 되어 회전자의 방향이 반대로 된다.
9. 철도차량이 운행하는 곡선부의 종류가 아닌 것은?
① 단곡선
② 복곡선
③ 반향곡선
④ 완화곡선
복합(복합)건물 반대(반대)로 단(단곡선)식합니다. 완화(완화)해주세요. 배(배향)고파요
단곡선 : 곡선의 반지름은 일정한 구간이며 설계 속도에 따라 그 길이가 정해진다.
복합(복심) 곡선 : 반지름이 서로 다른 두 개 이상의 곡선을 같은 방향으로 차례로 이은 곡선.
반대(반향) 곡선 : 방향이 서로 다른 두 개의 이웃한 곡선
배향곡선 : 동일한 접속점을 가지면서 방향이 반대인 두 개의 곡선.
완화 곡선 : 도로나 철로의 직선 부분과 곡선 부분 사이에 넣는 곡선. 열차 따위가 직선 철로에서 곡선 철로로 움직일 때 곡선 반경이 무한대에서 갑자기 일정치로 바뀌어 흔들림이 심해지므로 이를 막기 위하여 중간에 넣는다.

11. 후강 전선관에 대한 설명으로 틀린 것은?
① 관의 호칭은 바깥지름의 크기에 가깝다.
② 후강전선관의 두께는 박강전선관의 두께보다 두껍다.
③ 콘크리트에 매입할 경우 관의 두께는 1.2mm 이상으로 해야 한다.
④ 관의 호칭은 16mm에서 104mm까지 10종이다.
금속관 설치 조건
1) 전선은 절연전선(옥외용 비닐절연전선을 제외한다)일 것.
2) 전선은 연선일 것. 다만, 단면적 10 mm²(알루미늄선은 단면적 16 mm²) 이하의 것은 적용하지 않는다.
3) 전선은 금속관 안에서 접속점이 없도록 할 것.
4) 전선의 절연체 및 피복을 포함한 단면적이 관 내부 단면적의 1/3 이하가 되도록 한다.
금속관의 종류
1) 후강전선관은 관의 두께가 2.3 mm 이상의 두꺼운 전선관이다.(KS 기준)
2) 박강전선관은 관의 두께가 1.6 mm 이상의 엷은 전선관이다.(KS 기준)
3) 나사 없는 전선관은 두께 1.2/ 1.4/ 1.6/ 1.8 mm
2) 관의 두께는 다음에 의할 것.
가. 콘크리트에 매입하는 것은 1.2 mm 이상
나. ‘가’ 이외의 것은 1 mm 이상.
후강 전선관 - 공장등의 배관에서 특히 강도를 필요로 하는 경우 또는 폭발성가스나 부식성가스가 있는 장소에 사용하며 관의 호칭은 안지름의 근사값을 짝수로 표시한다. 일명 스틸전선관이라고 하며, 철로된 전선관입니다. 강제전선관이라고도 하는데 강제전선관=후강전선관, 즉 같은 의미입니다. 철로된 전선관이기 때문에 부식이 생길 수 있으므로 표면을 아연도금하고 있습니다

박강전선관 - 일반적인 장소에 사용하며 관의 호칭은 바깥지름의 근사값을 홀수로 표시한다. 후강전선관과 같은 스틸전선관이지만 후강전선관보다 두께가 얇아서 무게가 가볍고, 유지보수에 용이하고 빠른 시공이 요구되는 곳에서 주로사용이 되어집니다.

스테인리스 스틸전선관 - 스테인리스 스틸전선관은 부식에 강한 환경이나 청결이 요구되는 현장에서 주로 사용이 되어 집니다. 후강전선관이나 박강전선관은 표면에 아연 도금이 되어 있지만 부식에 완벽한 스틸관은 아닙니다. 그러나 스테인리스 스틸전선관은 부식에 매우 강하기 때문에 수명이 훨씬 깁니다. 다만 가격이 비싸다는 단점이 있음

16. 저압 전선로 등의 중성선 또는 접지측 전선의 식별에서 애자의 빛깔에 의하여 식별하는 경우에는 어떤 색의 애자를 접지측으로 사용하는가?
① 청색 애자
② 백색 애자
③ 황색 애자
④ 흑색 애자
빛깔에 의하여 식별하는 경우 - 청색표시를 한 애자를 접지측으로 사용
전선 피복의 식별에 의하는 경우 백색 또는 녹색을 중성선 또는 접지측으로 사용
17. 지선으로 사용되는 전선의 종류는?
 지선은 전봇대나 송전탑 같은 구조물이 넘어지지 않도록 지지하는 역할을 하는 철선이에요.
쉽게 말하면, 전봇대가 바람이나 외부 힘에 쓰러지지 않도록 잡아주는 줄이라고 생각하면 돼요. 
지선은 **내식성이 우수하고, 저렴한 가격**으로 인해 **아연**이 많이 사용됩니다.
아연도철선, 아연도철연선, 아연도강연선
18. 자심재료의 구비조건으로 틀린 것은?
① 저항률이 클 것
② 투자율이 작을 것
③ 히스테리시스 면적이 작을 것
④ 잔류자기가 크고 보자력이 작을 것
자심은 자기장을 모아서 전달해주는 재료라고 생각하면 돼요.
예를 들어, 변압기나 전동기 안에서 자기장이 만들어질 때, 그 힘을 효율적으로 모아서 원하는 방향으로 보내주는 역할을 해요. 자심을 **"자기장의 길"**이라고 생각해보세요. 그냥 공기 중에서는 자기장이 흩어져 버리는데, 자심이 있으면 자기장이 흩어지지 않고 한 곳으로 모여서 효과적으로 움직여요. 마치 물이 강물의 흐름을 따라가는 것처럼, 자심은 자기장을 잘 흐르게 만들어주는 도구예요.
자심은 자기장을 잘 모으고 전달하는 재료이므로, 다음 조건을 만족해야 합니다:
- 저항률이 클 것: 와전류(eddy current)를 줄이기 위해 전기저항률이 높아야 합니다.
- 투자율이 클 것: 자심은 자기장을 잘 통과시키고 효율적으로 전달해야 하므로, 투자율(자성체가 자기장을 잘 통과시키는 정도)이 커야 합니다.
- 포화 자속밀도가 클 것
- 히스테리시스 면적이 작을 것: 에너지 손실을 줄이기 위해 히스테리시스 곡선의 면적이 작아야 합니다.
- 잔류자기가 크고 보자력이 작을 것: 자기장을 제거해도 자성이 일정 부분 남는 잔류자기는 클수록 좋으며, 자기장을 제거하는 데 필요한 힘(보자력)은 작아야 합니다.
19. 철근 콘크리트주로서 전장 16m이고, 설계하중이 8kN이라 하면 땅에 묻는 최소 깊이(m)는? (단, 지반이 연약한 곳 이외에 시설한다.)
① 2.0
② 2.4
③ 2.5
④ 2.8
전장 설계하중 최소깊이
15이하 6.8이하 전장/6
15이하 6.8~9.8 전장/6 + 0.3
15초과 6.8이하 2.5
15초과 6.8~9.8 2.8
20. 형광판, 야광도료 및 형광방전등에 이용되는 루미네선스는?
① 열 루미네선스
② 전기 루미네선스
③ 복사 루미네선스
④ 파이로 루미네선스
**루미네선스(Luminescence)**는 물체가 열이나 빛의 형태로 에너지를 흡수한 뒤, 그 에너지를 방출하면서 빛을 내는 현상을 말해요. 쉽게 말하면, 특정 물질이 외부 에너지(열, 전기, 자외선 등)를 받아 스스로 빛을 내는 것이라고 보면 돼요.
루미네선스는 에너지를 얻는 방법에 따라 여러 종류로 나뉩니다:
- 열 루미네선스 (Thermoluminescence)
 물질이 열을 흡수한 후 빛을 내는 현상입니다.
 예: 금강석, 대리석.
- 전기 루미네선스 (Electroluminescence)
 전기 에너지를 받아 빛을 내는 현상입니다.
 예: 네온관, 수은등, 방전등
- 복사 루미네선스 (Photoluminescence)
 자외선이나 가시광선 같은 빛을 흡수하고, 다시 빛을 방출하는 현상입니다.
 예: 형광등, 형광판.
- 파이로 루미네선스 (Pyroluminescence)
 높은 온도에서 화학 반응이 일어나 빛을 내는 현상입니다.
 예: 발염 아크등.
2019.09.21
3. 동일한 교류전압(E)을 다이오드 3상 정류회로로 3상 전파 정류할 경우 직류전압(Ed)은? (단, 필터는 없는 것으로 하고 순저항부하이다.)
① Ed = 0.45E
② Ed = 0.9E
③ Ed = 1.17E
④ Ed = 2.34E
1번: 단상 반파 정류 → Ed = 0.45E
2번: 단상 전파 정류 → Ed = 0.9E
3번: 3상 반파 정류 → Ed = 1.17E
4번: 3상 전파 정류 → Ed = 2.34E
5. 다음 광원 중 발광효율이 가장 좋은 것은?
① 형광등
② 크세논등
③ 저압나트륨등
④ 메탈할라이드등
남(나트륨등) 의(메탈할라이드등) 형(형광등) 수(수은등) 할(할로겐등) 백(백열등)
나트륨등(200~300lm/W) > 메탈할라이드등 (100~150lm/W)> 형광등(70~100lm/W) > 수은등 > 할로겐등 > 백열등
6. 연료는 수소 H2와 메탄올 CH3OH가 사용되며 전해액은 KOH가 사용되는 연료전지는?
① 산성 전해액 연료전지
② 고체 전해액 연료전지
③ 알칼리 전해액 연료전지
④ 용융염 전해액 연료전지
① 산성 전해액 연료전지는 산성 물질(예: 인산)이 전해액으로 사용됩니다. 주로 고온에서 작동하며, 수소와 산소를 이용해 전기를 생산합니다.
② 고체 전해액 연료전지는 고체 상태의 전해질(예: 고분자막)을 사용합니다. 대표적인 예는 PEMFC(고분자 전해질 연료전지)로, 수소와 산소를 사용합니다.
③ 알칼리 전해액 연료전지는 알칼리성 물질(예: KOH)을 전해액으로 사용하며, 연료로 수소(H₂)와 메탄올(CH₃OH)를 사용할 수 있습니다. 따라서 문제에서 설명한 조건에 부합합니다.
④ 용융염 전해액 연료전지는 고온에서 용융된 염을 전해액으로 사용하며, 주로 이산화탄소와 산소를 사용합니다. 문제의 조건과는 맞지 않습니다.
7. 전동기의 출력이 15kW, 속도 1800rpm으로 회전하고 있을 때 발생되는 토크(kg·m)는 약 얼마인가?

따라서 토크 = 975 출력 / rpm = 975 * 15 / 1800 = 8.125
8. 알루미늄 및 마그네슘의 용접에 가장 적합한 용접방법은?
① 탄소 아크용접
② 원자수소 용접
③ 유니온멜트 용접
④ 불활성가스 아크용접
① 탄소 아크용접은 전극으로 탄소봉을 사용하는 용접 방식으로, 주로 철이나 비철금속의 단순 접합에 사용됩니다. 알루미늄과 마그네슘처럼 산화하기 쉬운 금속에는 적합하지 않습니다.
② 원자수소 용접은 고온의 수소 아크를 사용하는 방식으로, 주로 특수강이나 고강도 금속 용접에 사용됩니다. 하지만 알루미늄과 마그네슘처럼 산화하기 쉬운 금속에는 적합하지 않습니다.
③ 유니온멜트 용접은 대형 강판 용접에 사용되는 서브머지드 아크 용접 방식의 하나입니다. 주로 강재 용접에 적합하며, 알루미늄이나 마그네슘에는 적합하지 않습니다.
④ 불활성가스 아크용접은 헬륨(He)이나 아르곤(Ar) 같은 불활성가스를 사용하여 금속의 산화를 방지하면서 용접을 수행하는 방식입니다. 알루미늄과 마그네슘은 산화가 빠르게 진행되는 금속이기 때문에, 산화를 방지할 수 있는 이 용접 방식이 가장 적합합니다.
11. 전선관 접속재가 아닌 것은?
① 유니버셜 엘보
② 콤비네이션 커플링
③ 새들
④ 유니온 커플링
① 유니버셜 엘보: 전선관을 연결할 때 사용되는 부속품으로, 특히 전선관을 90도로 구부려 연결하는 데 사용됩니다. 전선관 접속재입니다.
② 콤비네이션 커플링: 서로 다른 크기나 종류의 전선관을 연결할 때 사용하는 접속재입니다. 전선관 접속재입니다.
③ 새들: 전선관을 벽이나 천장에 고정할 때 사용하는 고정용 부속품입니다. 전선관 접속이 아닌 고정용 재료이므로, 전선관 접속재가 아닙니다.

④ 유니온 커플링: 전선관의 양 끝을 서로 연결하는 접속재입니다. 전선관 접속재입니다.
12. 단면적 500mm2 이상의 절연 트롤리선을 시설할 경우 굴곡 반지름이 3m 이하의 곡선부분에서 지지점간 거리(m)는?
500[mm^2] 미만 2[m] (단, 굴곡 반지름이 3[m] 이하의 곡선 부분에서는 1[m])
500[mm^2] 이상 3[m] (단, 굴곡 반지름이 3[m] 이하의 곡선 부분에서는 1[m])
14. COS(컷아웃 스위치)를 설치할 때 사용되는 부속 재료가 아닌 것은?
① 내장크램프
② 브라켓
③ 내오손용 결합애자
④ 퓨즈링크
손 브라 링크
컷 아웃 스위치 부속재료 - 내오손용 결합애자,브라켓,퓨즈링크
17. 연속열 등기구를 천장에 매입하거나 들보에 설치하는 조명방식으로 일반적으로 사무실에 설치되는 건축화 조명 방식은?
① 밸런스 조명
② 광량 조명
③ 코브 조명
④ 코퍼 조명

20. 강판으로 된 금속 버스덕트 재료의 최소 두께(mm)는? (단, 버스덕트의 최대 폭은 150mm 이하이다.)
| 덕트의 최대 폭(㎜) | 덕트의 판 두께(㎜) | ||
| 강 판 | 알루미늄판 | 합성수지판 | |
| 150 이하 150 초과 300 이하 300 초과 500 이하 500 초과 700 이하 700 초과하는 것 | 1.0 1.4 1.6 2.0 2.3 | 1.6 2.0 2.3 2.9 3.2 | 2.5 5.0 - - - | 
2019.04.27
4. 극수 P의 3상 유도전동기가 주파수 f(Hz), 슬립 s, 토크 T(N·m)로 회전하고 있을 때의 기계적 출력(W)은?
주파수 f: 전원이 주는 신호의 반복 속도 (초당 몇 번 진동하는지).
극수 : 전동기의 자석 극의 개수(짝수로 존재함, 2극, 4극 등).
슬립 : 실제 회전 속도가 이상적인 속도보다 얼마나 느린지 나타내는 값.
토크 : 전동기가 회전할 때 내는 힘.

6. 전기철도에서 귀선의 누설전류에 의해 전식은 어디서 발생하는가?
① 궤도로 전류가 유입하는 곳
② 궤도에서 전류가 유출하는 곳
③ 지중관로로 전류가 유입하는 곳
④ 지중관로에서 전류가 유출하는 곳
궤도 : 선로
지중관로 : 지하 케이블을 안전하게 보호하기 위해서 지중에 설치한 관형 통로. 콘크리트관, 철관, 도관 따위가 있다.
전기가 지나가는곳이니 지중관로, 그리고 유출되어야지 전식이 일어나니 4번
8. 아크의 전압과 전류의 관계를 그래프로 나타낸 것으로 맞는 것은?

2아크 방전: 비선형 관계
- 아크 방전은 플라즈마 상태에서 전류가 흐르는 현상입니다.
- 플라즈마는 전자와 이온으로 구성된 고온 상태의 기체라서 일반적인 저항체와 다릅니다.
- 아크 방전은 전류가 증가할수록 전압이 감소하는 비선형 특성을 가집니다.
 
이유:
- 전압 감소:
- 전류가 커질수록 아크의 온도가 높아지고, 플라즈마 상태가 더 잘 형성됩니다.
- 플라즈마가 잘 형성되면 전하 입자가 자유롭게 움직일 수 있어 전기 저항이 낮아지고, 전압이 감소합니다.
 
- 부의 저항 특성:
- 전류가 증가하면서 저항이 줄어드는 현상을 부의 저항이라 합니다.
- 이는 아크 방전의 고유한 특성입니다.
 
일반적인 회로(옴의 법칙): 전압 높음 → 전류 높음
- 물이 좁은 파이프(저항)를 통과하는 모습과 비슷합니다.
아크 방전: 전류 높음 → 전압 낮음
- 플라즈마 상태는 물이 넓은 강을 흐르는 것처럼, 저항이 줄어드는 모습과 비슷합니다.
12. 옥내에서 전선을 병렬로 사용할 때의 시설방법으로 틀린 것은?
① 전선은 동일한 도체이어야 한다.
② 전선은 동일한 굵기, 동일한 길이이어야 한다.
③ 전선의 굵기는 동 40mm2 이상 또는 알루미늄 90 mm2이상이어야 한다.
④ 관내에 전류의 불평형이 생기지 아니하도록 시설하여야 한다.
1. 전선의 굵기는 동 50[mm2], 알루미늄 70[mm2]이상일 것
2. 동일한 도체, 동일한 굵기, 동일한 길이 일것
3. 병렬로 사용하는 전선은 각각의 퓨즈를 장착하지 말아야 한다
4. 각 전선에 흐르는 전류는 불평형을 초래하지 않도록 할것
5. 같은 극의 각 전선은 동일한 터미널러그에 완전히 접속 할 것
13. 가교폴리에틸렌(XLPE) 절연물의 최대허용온도(℃)는?
가교폴리에틸렌은 Y종

15. 합성수지관 상호 간 및 간과 박스 접속 시에 삽입하는 최소 깊이는? (단, 접착제를 사용하는 경우는 제외한다.)
242.2.2 가연성 먼지 위험장소 
가연성 먼지(소맥분·전분·유황 기타 가연성의 먼지로 공중에 떠다니는 상태에서 착화하였을 때에 폭발할 우려가 있는 것을 말하며 폭연성 먼지를 제외한다. 이하 같다)에 전기설비가 발화원이 되어 폭발할 우려가 있는 곳에 시설하는 저압 옥내 전기설비는 242.2.1의“마”, “사” 및 “아”에 준하여 시설하는 이외에 다음에 따르고 또한 위험의 우려가 없도록 시설하여야 한다.  
가. 저압 옥내배선 등은 합성수지관공사(두께 2 ㎜ 미만의 합성수지 전선관 및 난연성이 없는 콤바인 덕트관을 사용하는 것을 제외한다)ㆍ금속관공사 또는 케이블공사에 의할 것. 
나. 합성수지관공사에 의하는 때에는 다음에 의하여 시설할 것. 
(1) 합성수지관 및 박스 기타의 부속품은 손상을 받을 우려가 없도록 시설할 것. 
(2) 박스 기타의 부속품 및 풀 박스는 쉽게 마모·부식 기타의 손상이 생길 우려가 없는 패킹을 사용하는 방법, 틈새의 깊이를 길게 하는 방법, 기타 방법에 의하여 먼지가 내부에 침입하지 아니하도록 시설할 것. 
(3) 관과 전기기계기구는 관 상호간 및 박스와는 관을 삽입하는 깊이를 관의 바깥지름의 1.2배(접착제를 사용하는 경우에는 0.8배) 이상으로 하고 또한 꽂음 접속에 의하여 견고하게 접속할 것.  
(4) 전동기에 접속하는 부분에서 가요성을 필요로 하는 부분의 배선에는 232.11.2의 1의“가”의 단서에 규정하는 분진 방폭형 유연성 부속을 사용할 것.
16. 저압 배전반의 주 차단기로 주로 사용되는 보호기기는?
① GCB
② VCB
③ ACB
④ OCB
GOV 고브는 고압
A는 맨앞이니 저압
① GCB(Gas Circuit Breaker)
- SF₆ 가스(Sulfur Hexafluoride)를 절연 매체로 사용하는 고압 차단기입니다.
- 고압 송배전선로에서 주로 사용되며, 저압 배전반에는 사용되지 않습니다.
② VCB(Vacuum Circuit Breaker)
- 진공을 절연 매체로 사용하는 고압 차단기입니다.
- 고압 설비에서 사용되며, 저압 배전반에는 부적합합니다.
③ ACB(Air Circuit Breaker) (정답)
- 공기를 절연 매체로 사용하는 차단기로, 저압 전압(380V/220V)에서 사용하기 적합합니다.
- 저압 배전반의 주 차단기로 널리 사용됩니다.
④ OCB(Oil Circuit Breaker)
- 절연유를 사용하는 차단기로, 주로 고압 전력 설비에서 사용됩니다.
- 저압 배전반에는 사용되지 않습니다.
18. 변압기 철심용 강판의 두께는 대력 몇 mm 인가?
변압기 철심용 강판은 히스테리시스 손실을 줄이기 위해 얇게 만들어집니다. 일반적으로 0.35~0.37mm 두께의 규소함량 3.5%의 규소강판을 사용합니다.
2019.03.03
2. 지름 40cm 인 완전 확산성 구형 글로브의 중심에 모든 방향의 광도가 균일하게 110 cd 되는 전구를 넣고 탁상 2m의 높이에서 점등하였다. 탁상 위의 조도는 약 몇 lx 인가? (단, 글로브 내면의 반사율은 40%, 투과율은 50% 이다.)
글로브 효율이란 전구에서 발생한 빛(광속) 중 실제로 외부로 나오는 빛의 비율(%)을 의미합니다.
유백색 유리는 빛의 일부를 반사하고, 일부를 투과시킵니다. 이때, 외부로 나오는 빛은 투과율과 반사율에 따라 결정됩니다.
조도: E = I / r²
수평면 조도: E = (I / r²) * cosθ
수직면 조도: E = (I / r²) * sinθ
글로브의 효율 = 투과율 / (1 - 반사율)
조도 = (광도 / r²) × 글로브의 효율
= (광도 / r²) × (투과율 / (1 - 반사율))
= (110 / 2²) × (0.5 / (1 - 0.4))
= (110 / 4) × (0.5 / 0.6)
= 27.5 × 0.833
= 23 [lx]
5. 수은전지의 특징이 아닌 것은?
① 소형이고 수명이 길다.
② 방전전압의 변화가 적다.
③ 전해액은 염화암모늄(NH4Cl)용액을 사용한다.
④ 양극에 산화수은(HgO), 음극에 아연(Zn)을 사용한다.
소형이고 수명이 길다.
이건 수은전지의 특징에 해당합니다. 수은전지는 크기가 작고, 안정적으로 오래 사용할 수 있어 시계나 소형 전자기기에 적합합니다.
방전전압의 변화가 적다.
이것도 수은전지의 특징입니다. 수은전지는 방전 중에도 일정한 전압을 유지하는 안정적인 성능이 장점입니다.
전해액은 염화암모늄(NH4Cl)용액을 사용한다.
이건 수은전지의 특징이 아닙니다. 염화암모늄은 아연-탄소 전지(건전지)에서 사용되는 전해액입니다. 수은전지는 염화암모늄 대신 수산화칼륨(KOH) 같은 알칼리성 전해액을 사용합니다.
양극에 산화수은(HgO), 음극에 아연(Zn)을 사용한다.
이건 수은전지의 특징입니다. 산화수은(HgO)이 양극, 아연(Zn)이 음극으로 사용됩니다.
6. 발열체의 구비조건 중 틀린 것은?
① 내열성이 클 것
② 내식성이 클 것
③ 가공이 용이할 것
④ 저항률이 비교적 작고 온도계수가 높을 것
내열성이 클 것
발열체는 높은 온도에서 견딜 수 있어야 하므로, 내열성이 큰 것은 필수 조건입니다. 따라서 발열체의 조건에 해당합니다.
내식성이 클 것
발열체는 사용 중 부식되지 않아야 하므로, 내식성이 큰 것도 중요한 조건입니다. 이것도 발열체의 조건에 맞습니다.
가공이 용이할 것
발열체는 다양한 형태로 제작될 필요가 있으므로, 가공이 용이한 것도 중요한 조건입니다. 따라서 이 역시 맞는 조건입니다.
저항률이 비교적 작고 온도계수가 높을 것
이 부분이 틀린 조건입니다. 발열체는 전기 에너지를 열 에너지로 변환하는 역할을 하므로, 저항률이 비교적 크고 온도계수가 낮은 것이 적합합니다. 저항률이 커야 열이 잘 발생하며, 온도계수가 낮아야 온도 변화에 따른 저항의 변화가 작아서 안정적으로 사용할 수 있습니다.
9. 전자빔으로 용해하는 고융점, 활성금속 재료는?
① 탄화규소
② 니크롬 제2종
③ 탄탈, 니오브
④ 철-크롬 제1종
고융점
일반적인 금속 기준: 약 2000°C 이상
대표적인 고융점 금속에는 탄탈(Ta), 텅스텐(W), 몰리브덴(Mo), 니오븀(Nb) 등이 포함됩니다.
예) 텅스텐 3422°C, 탄탈 2996°C, 몰리브덴 2623°C 등
비금속 재료의 경우: 고융점 비금속은 더 높은 온도를 기준으로 삼을 수 있으며, 일부 세라믹 재료(탄화규소, 질화붕소 등)는 3000°C 이상에서도 견딜 수 있습니다.
탄화규소 (①)
탄화규소는 매우 높은 경도와 내열성을 가지지만, 금속 재료가 아닌 세라믹 성질의 비금속 화합물입니다. 전자빔 용해와는 관련이 없습니다.
니크롬 제2종 (②)
니크롬 합금은 고온에서 산화 저항성이 뛰어난 발열체 재료로 사용되지만, 고융점의 활성금속이라기보다는 발열체나 저항 재료로 적합합니다. 전자빔 용해와는 관련이 없습니다.
탄탈, 니오브 (③)
탄탈(Ta)과 니오브(Nb)는 대표적인 고융점 금속으로, 전자빔 용해법(EBM, Electron Beam Melting)으로 가공되는 금속입니다. 특히 이들 금속은 높은 융점(탄탈: 약 2996°C, 니오브: 약 2477°C)과 화학적 활성 특성 때문에 전자빔 용해를 이용하여 가공됩니다. 정답입니다.
철-크롬 제1종 (④)
철-크롬 합금은 내식성과 내열성이 뛰어나 주로 스테인리스 강으로 사용됩니다. 하지만 고융점, 활성금속 재료로는 분류되지 않으며, 전자빔 용해와는 관련이 없습니다.
11. 단로기의 구조와 관계가 없는 것은?
① 핀치
② 베이스
③ 플레이트
④ 리클로저
* 단로기의 구조
* 핀치: 접촉자를 잡아주는 장치
* 베이스: 단로기의 지지대 역할을 하는 장치
* 플레이트: 접촉자를 이루는 장치
핀치로 잡고 베이스로 구성하고 플레이트로 마지막 장식
* 리클로저 * 단로기의 개폐를 자동으로 제어하는 장치
13. 옥외용 비닐전연전선의 약호 명칭은?
1. 전선 약호의 의미
V: 비닐 (Vinyl)
R: 고무 (Rubber)
B: 부틸 고무 (Butyl Rubber)
E: 폴리에틸렌 (Polyethylene)
O: 옥외용 (Outdoor)
C: 가교 폴리에틸렌 (Cross-linked Polyethylene)
2. 전선 약호
A : 연동선(구리선)
H : 경동선(구리+주석선)
ACSR : 강심 알류미늄 연선
OW : 옥외용 비닐 절연전선
OE : 옥외용 폴리에틸렌 절연전선
OC : 옥외용 가교폴리에틸렌 절연전선
DV : 인입용 비닐 절연전선
FL : 형광 방전등용 비닐전선
N-V : 비닐절연 네온전선
N-RV : 고무절연 비닐 시스 네온전선
N-RC : 고무절연 클로로프렌 시스 네온전선
N-EV : 폴리에틸렌 절연 비닐 시스 네온전선
3. 케이블 약호
EE : 폴리에틸렌절연 폴리에틸렌 시스케이블
EV : 폴리에틸렌 절연 비닐 시스 케이블
MI : 미네랄 인슈레이션 케이블
VCT: 비닐 절연 비닐 캡타이거 케이블
VV: 비닐 절연 비닐 시스 케이블
CVV 비닐 절연 비닐 시스 제어 케이블
CV 가교 폴리에틸렌 절연 비닐 시스 케이블
CE 가교 폴리에틸렌 절연 폴리에틸렌 시스 케이블
CNCV 동심중성선 차수형 전력 케이블
CNCV-W 동심중성선 수밀형 전력케이블
TR CNCV-W 동심중성선 트리억제형 전력 케이블
15. 옥내배선의 애자사용 공사에 많이 사용하는 특대 높 애자의 높이(mm)는?
특대 65
중 50
17. 개폐기 중에서 부하 전류의 차단능력이 없는 것은? 
① OCB 
② OS 
③ DS 
④ ACB 
개폐 장치에는 세 가지가 존재 
단로기(Disconnecting Switch), 개폐기, 차단기(Circuit Breaker) 
1. OCB (Oil Circuit Breaker): 유입 차단기 
절연유(oil)를 사용하여 전기 회로의 과부하나 단락 전류를 차단하는 장치입니다. 차단 과정에서 발생하는 아크(전기 스파크)를 절연유로 소멸시키는 특징이 있습니다. 
2. OS (Oil Switch): 유입 개폐기 
절연유(Oil)를 사용하여 아크 소멸과 절연을 수행하는 개폐기입니다. 주로 부하 전류를 차단하거나 연결하는 데 사용되며, 고장 전류를 차단할 수 없는 것이 특징입니다. 
3. DS (Disconnecting Switch): 단로기 
송전선이나 변전소에서 차단기를 연 채 부하(負荷)가 없는 상태에서 주 회로의 접속을 변경하기 위하여 전기 회로를 개폐하는 장치. 전압만 걸려 있고 전류는 흐르지 않는 상태에서만 개폐할 수 있다. 
단로기를 수도관의 밸브로 생각할 수 있습니다. 밸브를 잠그면 물이 흐르지 않듯이, 단로기는 전류가 흐르지 않도록 회로를 열어주는 역할을 합니다. 하지만 밸브가 터지는 압력을 막을 수 없듯이, 단로기는 고장 전류를 처리할 수 없습니다. 
4. ACB (Air Circuit Breaker): 기중 차단기 
전력을 공급하는 회로에서 과전류, 단락전류, 지락 등의 고장을 감지하고 회로를 안전하게 차단하는 역할을 하는 장치입니다. 공기(대기)를 절연 매체로 사용하여 아크(전기 스파크)를 소멸시킨다는 특징이 있습니다. 
| 항목 | 개폐기 | 차단기 | 
| 차단 가능 전류 | 부하 전류 | 부하 및 고장 전류 | 
| 주요 기능 | 회로 개폐 | 회로 개폐 및 보호 | 
| 절연 매체 | 절연유 | 절연유, 공기, 가스 등 | 
18. 가공전선로의 저압주에서 보안공사의 경우 목주 말구 굵기의 최소 지름(cm)은? ① 10 ② 12 ③ 14 ④ 15
공중에 설치된 전깃줄(가공전선로)을 지탱하는 저압용 나무 전봇대(목주)의 밑동(땅속에 묻히는 부분)은 최소 얼마나 두꺼워야 할까요?
아래는 전기설비 기술기준 89조에 관한 내용이다.
단, 2015년에 개정되어 89조는 삭제 됨.
21년부터는 개정 된 내용으로만 문제를 출제하므로, 더 이상 해당 문제는 출제 되지 않음
전기설비 기술기준 89조 저압 보안공사 규정
- 전선 규격
- 보안공사에서 사용하는 전선은 다음 중 하나여야 합니다:
- 지름 3.5mm 이상의 동복강선
- 지름 5mm 이상의 경동선 (단, 사용 전압이 400V 미만인 경우 4mm 가능)
 
- 또는, 위와 동등 이상의 강도와 굵기를 가진 전선이어야 합니다.
 
- 보안공사에서 사용하는 전선은 다음 중 하나여야 합니다:
- 목주의 조건
- 나무로 만든 전봇대(목주)는 다음 요건을 충족해야 합니다:
- 풍압 하중에 대한 안전율: 최소 1.5 이상일 것.
- 목주의 말구 지름(땅에 묻히는 부분): 12cm 이상일 것.
 
 
- 나무로 만든 전봇대(목주)는 다음 요건을 충족해야 합니다:
- 경간 제한
- **전봇대 사이의 거리(경간)**는 다음을 초과하면 안 됩니다:
- 목주, A종 철주, A종 철근 콘크리트주: 최대 100m
- B종 철주, B종 철근 콘크리트주: 최대 150m
- 철탑: 최대 400m
 
- 단, 22㎟ 경동연선 이상 사용 시 별도 규정에 따를 수 있습니다.
 
- **전봇대 사이의 거리(경간)**는 다음을 초과하면 안 됩니다:
19. 무거운 조명기구를 파이프로 매달 때 사용하는 것은? 
① 노멀밴드 
② 파이프행거 
③ 엔트런스 캡 
④ 픽스쳐 스터드와 하키
무거운 조명기구를 파이프에 매달 때는 이를 안전하게 고정하기 위한 장치가 필요합니다. "픽스쳐 스터드와 하키"는 이러한 용도로 설계된 부속으로, 조명을 안정적으로 지지하고 흔들림을 방지할 수 있습니다.
- 픽스쳐 스터드를 파이프 또는 전기 박스에 나사로 고정.
- 하키를 픽스쳐 스터드에 결합.
- 하키의 나사산을 이용해 조명기구를 연결하고 높이나 각도를 조정.
- 노멀밴드: 일반적으로 배선이나 전선을 묶는 데 사용되는 고정 밴드입니다. 무거운 조명기구를 지탱하는 용도로는 부적합합니다.
- 파이프행거: 파이프를 고정하거나 매다는 데 사용하는 부품이지만, 주로 파이프 자체를 고정하기 위한 것으로, 조명기구 지지에는 적합하지 않습니다.
- 엔트런스 캡: 전선이 관을 통과할 때 마감하거나 보호하는 캡으로, 조명기구를 매다는 것과는 관련이 없습니다.
20. 전원을 넣자마자 곧바로 점등되는 형광등용의 안정기는? 
① 점등관식 
② 래피드스타트식 
③ 글로우스타트식 
④ 필라멘트 단락식
형광등용 안정기(Ballast)는 형광등이 안정적으로 작동할 수 있도록 전류와 전압을 제어하는 장치입니다. 형광등은 점등 시 고압이 필요하고, 점등 후에는 전류를 제한해야 하기 때문에 안정기가 필수적으로 사용됩니다.
래피드스타트식(Rapid Start Type) 안정기는 형광등의 필라멘트를 예열하는 방식으로, 전원을 넣자마자 바로 점등되는 특징이 있습니다. 점등 시 별도의 점등관(Starter)을 필요로 하지 않으며, 빠르게 점등되는 것이 장점입니다.
점등관식:
- 점등관(Starter)이 있어야 형광등이 점등됩니다.
- 점등관이 동작하면서 필라멘트를 예열한 뒤 점등되기 때문에 시간이 걸립니다.
글로우스타트식:
- 점등관식과 유사한 방식으로, 점등관을 사용합니다.
- 예열 시간이 필요하여 전원을 넣자마자 바로 점등되지 않습니다.
필라멘트 단락식:
- 형광등의 필라멘트를 단락하여 점등하는 방식입니다.
- 사용 사례가 드물며, 즉시 점등과는 관계가 없습니다.
2018.09.15
1. 출력 P[㎾], 속도 N[rpm]인 3상 유도전동기의 토크[㎏·m]는?
P=ωT
P : 모터 출력  W
ω : (각)속도  rad/s 
T : 토크  N·m
T = P / ω
: 각속도 [rad/s], n은 초당 회전수.
초당 회전수를 N/60으로 변환하면

토크의 기본 단위는 (뉴턴미터)입니다. 이를 ㎏⋅m 변환하기 위해 중력가속도 g=9.8 m/s를 사용합니다

따라서 최종 결과는

2. 리튬전지의 특징이 아닌 것은?
① 자기방전이 크다.
② 에너지 밀도가 높다.
③ 기전력이 약 3V 정도로 높다.
④ 동작온도범위가 넓고 장기간 사용이 가능하다.
리튬전지의 특징
- 자기방전이 적다: 리튬전지는 자기방전율이 매우 낮아 장기간 보관해도 충전 상태를 비교적 잘 유지합니다.
- 에너지 밀도가 높다: 크기에 비해 많은 에너지를 저장할 수 있어 효율이 높습니다.
- 기전력이 높다: 리튬전지는 일반적으로 약 3V 이상의 높은 전압을 제공합니다.
- 기전력은 전지에서 전자를 이동시키는 "원동력"이자 전압의 근원입니다. 리튬전지는 높은 기전력을 제공하므로, 작고 가벼우면서도 강력한 전원을 제공하는 데 적합합니다.
- 리튬전지의 경우, 화학 반응 특성상 약 3V 정도의 기전력을 가집니다. 이는 일반적인 알칼라인 전지(약 1.5V)보다 높아, 리튬전지가 더 높은 전압을 제공할 수 있다는 특징을 보여줍니다.
 
- 넓은 동작 온도 범위: 영하 및 고온 환경에서도 동작이 가능하며, 장기간 사용에 유리합니다.
3. 트랜지스터의 안정도가 제일 좋은 바이어스법은?
① 고정 바이어스
② 조합 바이어스
③ 전압궤환 바이어스
④ 전류궤환 바이어스
 바이어스는 트랜지스터를 제대로 작동시키기 위해 특정한 전압이나 전류를 미리 걸어주는 것이에요.
쉽게 말하면, 트랜지스터를 예열하는 과정이라고 생각하면 돼요.
바이어스 전압이 안정적이어야 트랜지스터의 출력(전류나 전압)이 원하는 대로 일정하게 유지됩니다.
만약 바이어스 전압이 외부 요인(온도, 전원 변화 등)으로 변하면, 트랜지스터의 출력도 변하게 되는데, 이때 출력이 얼마나 변하느냐가 안정도를 판단하는 기준이 됩니다.
조합 바이어스는 트랜지스터 회로 바이어스법의 일종으로, 전류 궤환 바이어스법과 전압 궤환 바이어스법을 조합시킨 것. 전류 전압 궤환 바이어스라고도 한다. 안정도는 좋으나 전압 궤환 회로의 문제점인 부하가 저항이 아니면 사용할 수 없다는 것과, 교류 동작에도 부궤환이 걸린다는 것이 문제점으로 남아 있다.
궤환은 시스템의 결과를 다시 입력으로 활용해 성능을 조정하거나 안정화하는 과정입니다.
5. 전등효율이 14lm/W인 100W LED 전등의 구면광도는 약 몇 cd인가?
① 95
② 111
③ 120
④ 127
구면광도는 I
구면일 떄 광속은
F = 4 π I (lm)
전등효율이 14lm/W 이니, 100W를 곱하면 광속이 됨
14lm/W * 100W = 1400 lm
따라서
1400 = 4 π I
I = 1400 / 4 π = 111.46
7. 단상 유도전동기 중 기동 토크가 가장 큰 것은?
① 반발 기동형
② 분상 기동형
③ 콘덴서 기동형
④ 세이딩 코일형
단상 유도전동기의 기동토크의 크기
반발 기동형 > 반발 유도형 > 콘덴서 기동형 > 분상 기동형 > 셰이딩 코일형
반반콘분세
① 반발 기동형
브러시와 정류자를 사용하여 초기 기동 토크를 매우 크게 만들 수 있는 단상 유도전동기입니다. 기동 토크는 크지만 구조가 복잡하고 유지보수가 어려워 현재는 거의 사용되지 않습니다.
② 분상 기동형
주 권선과 보조 권선을 사용해 기동하는 단상 유도전동기입니다. 보조 권선은 기동 후에 차단되며, 구조가 간단하고 가격이 저렴하지만 기동 토크가 작아 부하가 작은 기기에 주로 사용됩니다.
③ 콘덴서 기동형
보조 권선에 콘덴서를 추가하여 초기 기동 토크를 크게 만든 단상 유도전동기입니다. 기동 토크가 크고 부하가 큰 냉장고, 에어컨 등에서 사용되지만, 구조가 약간 복잡하고 비용이 높습니다.
④ 세이딩 코일형
고정자에 세이딩 코일(보조 코일)을 설치해 회전자계를 형성하는 단상 유도전동기입니다. 구조가 간단하고 가격이 저렴하지만, 기동 토크가 매우 작아 소형 팬이나 시계 모터와 같은 부하가 작은 기기에 사용됩니다.
10. 열차의 설비에 의한 전력 소비량을 감소시키는 방법이 아닌 것은?
① 회생제동을 한다.
② 직병렬 제어를 한다.
③ 기어비를 크게 한다.
④ 차량의 중량을 경감한다.
회생제동을 한다
- 회생제동은 열차가 정지할 때 운동 에너지를 전기 에너지로 변환하여 전력망으로 반환하는 기술입니다.
- 전력을 재활용하기 때문에 전력 소비량을 줄이는 데 효과적입니다.
직병렬 제어를 한다
- 직병렬 제어는 전동기의 효율적인 구동을 위해 병렬과 직렬을 번갈아 사용하는 방식입니다.
- 필요 없는 전력 낭비를 줄이는 방법으로, 전력 소비량 감소에 기여합니다.
기어비를 크게 한다
- 자전거 기어처럼 기어비가 크다(낮은 기어)면 바퀴를 많이 돌려야함.
- 기어비를 크게 하면 초기 가속력이 커지는 반면, 고속 주행 시 효율이 떨어지고 전력 소비량이 증가합니다.
- 이는 전력 소비량 감소와 반대되는 효과를 줍니다.
차량의 중량을 경감한다
- 차량의 무게를 줄이면 가속과 운행에 필요한 에너지가 감소하여 전력 소비를 줄일 수 있습니다.
- 따라서 전력 소비량 감소에 매우 효과적입니다.
11. 금속관(규격품) 1본의 길이는 약 몇 m인가?
⦁ 금속관 1본의 길이 : 3.66[m]
⦁ 합성 수지관 1본의 길이 : 4[m]
12. 지선과 지선용 근가를 연결하는 금구는?
① 볼쇄클
② U볼트
③ 지선롯드
④ 지선밴드
⦁ 볼쇄클 : 현수 애자를 완금에 내장으로 시공할 때 사용하는 금구류


⦁ U볼트 : 전주 근가를 전주에 부착시키는 금구


⦁ 지선 롯트 : 지선과 지선용 근가를 연결시키는 금구

⦁ 지선 밴드 : 지선을 지지물에 부착할 때 사용하는 금구류
근가 : 콘크리트 전주 또는 지선의 기초 강도를 보강하기 위해 지표면에 설치하는 고정용 블록
13. 비포장 퓨즈의 종류가 아닌 것은?
① 실퓨즈
② 판퓨즈
③ 고리퓨즈
④ 플러그퓨즈
⦁ 포장 퓨즈 : 가용체를 절연물 또는 금속으로 충분히 포장한 구조의 플러그 퓨즈를 말한다.
⦁ 비포장 퓨즈 : 가용체가 노출되어 있는 퓨즈를 말한다.
⦁ 실퓨즈 : 가용체가 실 모양으로 노출되어 있어 비포장 퓨즈입니다.

⦁ 판퓨즈 : 가용체가 판 모양으로 노출되어 있어 비포장 퓨즈입니다.

⦁ 고리퓨즈 : 연합금의 선 또는 판의 양단에 동의 고리를 납땜이나 기타의 방법으로 접착한 것 또는 아연판을 정공하여 그 양단을 고리형으로 만든 퓨즈를 의미한다.

⦁ 플러그퓨즈 : 플러그처럼 생긴 퓨즈로, 플러그 내부에 퓨즈가 들어있다. 이 퓨즈는 납과 주석 또는 아연과 주석의 합금으로 만든다.

14. 수전설비를 주차단장치의 구성으로 분류하는 방법이 아닌 것은?
① CB형
② PF-S형
③ PF-CB형
④ PF-PF형
수전설비(전력을 받아들이는 설비)를 주차단장치의 구성으로 분류할 때 적절하지 않은 방법을 묻고 있습니다. 보기 하나하나를 살펴보면:
- ① CB형: CB는 차단기(Circuit Breaker)를 뜻하며, 주차단장치로 흔히 사용됩니다. 적절한 분류입니다.
- ② PF-S형: PF는 전력퓨즈(Power Fuse)를, S는 스위치(Switch)를 의미합니다. 이 조합도 주차단장치로 사용 가능하며, 적절한 분류입니다.
- ③ PF-CB형: 전력퓨즈(PF)와 차단기(CB)를 조합한 형태입니다. 주차단장치로 사용 가능합니다. 적절한 분류입니다.
- ④ PF-PF형: 전력퓨즈만 두 번 사용하는 형태인데, 이는 주차단장치로 적합하지 않습니다. 전력퓨즈는 단독으로 차단기 역할을 대신할 수는 있지만, 두 개를 조합해서 사용하는 것은 설비 기준에서 적절하지 않은 방식입니다.
15. 행거밴드란 무엇인가?
① 완금을 전주에 설치하는데 필요한 밴드
② 완금에 암타이를 고정시키기 위한 밴드
③ 전주 자체에 변압기를 고정시키기 위한 밴드
④ 전주에 COS 또는 LA를 고정시키기 위한 밴드
⦁ 완금 밴드 : 완금을 전주에 설치하는데 필요한 밴드

⦁ 암타이 밴드 : 완금에 암타이를 고정시키기 위한 밴드
⦁ 행거 밴드 : 전주 자체를 변압기에 고정시키기 위한 밴드


⦁ 브라켓트 : 전주에 COS 또는 LA를 고정시키기 위한 밴드
16. 백열전구의 앵커에 사용되는 재료는?
백열전구의 앵커(전구 필라멘트를 고정하거나 지지하는 부분)에 사용되는 재료는 고온에 강하고 기계적 강도가 뛰어난 금속이어야 합니다. 이를 고려하면 몰리브덴은 높은 녹는점(약 2,623°C)과 우수한 고온 안정성을 가지고 있어 백열전구의 앵커로 적합한 재료입니다.

17. 저압의 전선로 및 인입선의 중성선 또는 접지측 전선을 애자의 빛깔에 의하여 식별하는 경우 어떤 빛깔의 애자를 사용하는가?
① 흑색
② 청색
③ 녹색
④ 백색
특고압용 핀 애자 : 적색
저압용 애자(접지측 제외) : 백색
접지측 애자 : 청색
저압 전선로는 우리가 일상생활에서 사용하는 전기를 전달하는 전력선입니다.
인입선은 전봇대에서 집이나 건물로 전기를 끌어오는 선입니다.
중성선은 전기 회로에서 전기가 빠져나가는 길입니다. 예를 들어, 전기가 플러그를 통해 들어와서 전기 기기를 작동시키고 나면, 다시 빠져나가는 통로가 필요합니다. 이 빠져나가는 통로가 바로 중성선입니다.
접지측 전선은 안전을 위한 전선입니다. 만약 전기에 이상이 생겨서 누전되면, 전기가 땅으로 빠져나가도록 도와주는 역할을 합니다.
19. 금속덕트 공사에서 금속덕트의 설명으로 틀린 것은?
① 덕트 철판의 두께가 1.2㎜ 이상일 것
② 폭이 5㎝를 초과하는 철판으로 제작할 것
③ 덕트의 바깥면만 산화방지를 위한 아연도금을 할 것
④ 덕트의 안쪽면만 전선의 피복을 손상시키는 돌기가 없을 것
① 덕트 철판의 두께가 1.2㎜ 이상일 것
금속덕트의 철판 두께는 안전과 내구성을 위해 규정상 1.2mm 이상이어야 합니다. 이는 맞는 설명입니다.
② 폭이 5㎝를 초과하는 철판으로 제작할 것
금속덕트의 폭은 전선이 충분히 들어갈 수 있도록 5cm를 초과해야 합니다. 이 역시 맞는 설명입니다.
③ 덕트의 바깥면만 산화방지를 위한 아연도금을 할 것
금속덕트는 산화방지를 위해 바깥면뿐만 아니라 안쪽면도 아연도금 처리를 해야 합니다. 내부가 도금되지 않으면 부식 위험이 있으며, 이는 틀린 설명입니다.
④ 덕트의 안쪽면만 전선의 피복을 손상시키는 돌기가 없을 것
금속덕트 내부에는 전선의 피복을 손상시키는 돌기나 날카로운 부분이 없어야 합니다. 이는 맞는 설명입니다.
20. 보호계전기의 종류가 아닌 것은?
① ASS
② OVR
③ SGR
④ OCGR
계전기의 역할
계전기는 전기 회로에서 전압, 전류, 온도, 시간 등 특정 조건을 감지하고, 이 조건이 설정된 기준을 초과하거나 변화하면 회로를 열거나 닫는 명령을 내려줍니다. 역할에 따라 보호, 제어, 신호, 측정 등 다양한 역할을 한다.
보호계전기는 전력 시스템의 이상 상태를 감지하고, 전기 설비를 보호하기 위해 작동하는 장치입니다. 보기에서 제시된 항목들을 하나씩 살펴보겠습니다.
① ASS (Auto Section Switch)
ASS는 자동 구간 개폐기로, 전력선을 자동으로 개폐하여 고장 구간을 분리하는 장치입니다. 보호계전기라기보다는 개폐기의 일종으로, 보호계전기에는 포함되지 않습니다.
② OVR (Over Voltage Relay)
OVR은 과전압 계전기로, 전압이 허용 범위를 초과했을 때 동작하는 보호계전기입니다. 보호계전기의 종류에 해당합니다.
③ SGR (Sensitive Ground Relay)
SGR은 정밀 지락 계전기로, 지락 전류를 감지하여 동작하는 보호계전기입니다. 보호계전기의 종류에 해당합니다.
④ OCGR (Over Current Ground Relay)
OCGR은 과전류 및 지락 계전기로, 과전류와 지락을 감지하여 동작하는 보호계전기입니다. 보호계전기의 종류에 해당합니다.
지락 전류란 전기 회로에서 전선이나 전기 설비가 지면(땅)과 비정상적으로 접촉했을 때 발생하는 전류를 말합니다. 쉽게 말해, 전기가 땅으로 새는 현상이 발생할 때 흐르는 전류를 의미합니다.
2018.04.28
2. 하역 기계에서 무거운 것은 저속으로, 가벼운 것은 고속으로 작업하여 고속이나 저속에서 다 같이 동일한 동력이 요구되는 부하는?
① 정토크 부하
② 정동력 부하
③ 정속도 부하
④ 제곱토크 부하
정토크 부하는 속도와 관계없이 항상 일정한 토크가 필요한 부하입니다. 예를 들어, 엘리베이터가 해당됩니다.
정동력 부하는 속도와 관계없이 항상 일정한 동력이 필요한 부하를 말합니다. 하역 기계는 이 경우에 해당하며, 속도가 변해도 일정한 동력을 유지해야 합니다.
정속도 부하는 일정한 속도로 운전되어야 하는 부하를 의미합니다. 예를 들어, 공작기계나 벨트 컨베이어 등이 이에 해당합니다.
제곱토크 부하는 속도에 따라 토크가 제곱에 비례하여 증가하는 부하를 말합니다. 예를 들어, 팬이나 펌프가 대표적입니다.
동력(P)는 토크(T)와 회전 속도(N)로 표현됩니다:

속도가 증가하면 토크는 감소합니다.
속도가 감소하면 토크는 증가합니다.
이 공식은 정동력 부하의 원리를 이해하는 데 매우 중요한데, 하역 기계처럼 속도와 토크의 관계를 최적화하여 일정한 동력을 유지하는 시스템에서 사용됩니다.
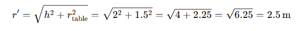
3. 모든 방향에 400cd의 광도를 갖고 있는 전등을 지름 3m의 테이블 중심 바로 위 2m 위치에 달아 놓았다면 테이블의 평균 조도는 약 몇 lx인가?
① 35
② 53
③ 71
④ 90
광도 I = 400
고체각 w = 2π(1−cosθ)
cosθ = 잇접변/빗변 = 2 / 2.5 = 0.8
- 는 전등과 테이블 가장자리 사이의 광선이 이루는 각도입니다.
- 인접변 (h): 전등과 테이블 간의 수직 거리 (높이).
- 빗변 (r′): 전등에서 테이블 가장자리까지의 직선 거리.

광속 F = I * w
면적 S = πr^2
조도 E = F / S = I * w / S = 400 * 2π(1−cosθ) / ( πr1.5^2)
= 400 * 2π(1−0.8) / ( πr1.5^2)
= 71.111111
5. 344kcal를 kWh의 단위로 표시하면?
1cal=4.184J
344kcal=344×1000cal=344,000cal = 4.184 * 344,000 J = 1,440,896J
1,440,896J÷3,600,000J/kWh≈0.4kWh
또는 1kWh = 840kcal 외우기
6. 열차의 자중이 100t이고, 동륜상의 중량이 90t인 기관차의 최대 견인력(kg)은? (단, 레일의 점착계수는 0.2로 한다.)
자중(自重): 열차의 전체 무게를 말합니다.
동륜(動輪): 열차의 구동력을 직접 전달하는 바퀴를 말합니다. 열차의 견인력을 발생시키는 바퀴입니다.
동륜상의 중량: 열차의 전체 무게 중에서 동륜에 실리는 무게를 말합니다. 즉, 구동력(견인력)을 발생시키는 바퀴가 받는 하중입니다.
점착계수: 열차의 구동 바퀴(동륜)가 레일과 접촉할 때 마찰력을 나타내는 비율입니다. 이는 마찰계수와 비슷한 개념으로, 열차의 견인력(traction force)을 결정하는 중요한 요소입니다.
최대 견인력 F=μ⋅W
- : 점착계수 (문제에서 0.2)
- : 동륜상의 중량(kg) (문제에서 90t = 90,000kg)
왜 동륜상의 중량을 사용하는가?
열차의 견인력(최대 견인력)은 동륜이 레일과 접촉하면서 발생하는 마찰력으로 결정됩니다.
이 마찰력은 동륜이 레일을 얼마나 강하게 누르고 있는지(즉, 동륜상의 중량)와 레일과의 점착계수에 따라 달라집니다.
7. SCR에 대한 설명 중 틀린 것은?
① 위상제어의 최대 조절범위는 0°~90°이다.
② 3개 접합면을 가진 4층 다이오드 형태로 되어있다.
③ 게이트단자에 펄스신호가 입력되는 순간부터 도통된다.
④ 제어각이 작을수록 부하에 흐르는 전류도통각이 커진다.
위상제어: 교류 전압의 위상(시간 축)을 조절해 SCR이 도통되는 시점을 조정하는 기술. SCR의 위상제어(Phase Control)는 0°부터 180°까지 조절 가능합니다.
제어각: 교류 전압이 시작된 후 SCR이 도통되기까지의 시간(각도)을 나타냄.
도통각: SCR이 도통 상태로 있는 시간(또는 각도)을 나타냅니다.
위상제어는 제어각()을 조절하여 부하에 전달되는 전력을 조정하는 기술입니다.
예를 들어:
- α=0 : SCR은 교류 전압이 시작되자마자 도통 → 최대 전압 전달.
- α=90: SCR은 사인파의 절반 시점에서 도통 → 전압이 절반으로 감소.
- α=180: SCR은 사인파 끝에서 도통 → 전압이 거의 전달되지 않음.
제어각(α)이 작을수록, 도통각(θ)이 커집니다.
- 예: α= → θ=180∘−30∘=150 ∘
8. n형 반도체에 대한 설명으로 옳은 것은?
① 순수 실리콘 내에 종공의 수를 늘리기 위해 As, P, Sb과 같은 불순물 원자를 첨가한 것
② 순수 실리콘 내에 종공의 수를 늘리기 위해 Al, B, Ga과 같은 불순물 원자를 첨가한 것
③ 순수 실리콘 내에 전자의 수를 늘리기 위해 As, P, Sb과 같은 불순물 원자를 첨가한 것
④ 순수 실리콘 내에 전자의 수를 늘리기 위해 Al, B, Ga과 같은 불순물 원자를 첨가한 것
As(비소), P(인), Sb(안티몬)은 전자 제공 원자(전자 준동체)로, 전자의 수를 늘리는 역할을 합니다.
Al(알루미늄), B(붕소), Ga(갈륨)은 전자 받는 원자(전자 흡수체)로, 종공의 수를 늘리는 역할을 합니다.
n형 반도체는 전자의 수를 늘리기 위해 As, P, Sb과 같은 5족 원소를 불순물로 첨가합니다.
p형 반도체는 중곡의 수를 늘리기 위해 Al, B, Ga과 같은 불순물로 첨가합니다.
중공 (양공, Hole)
- 반도체 내부에서는 전자와 전자가 빠져나간 자리인 종공이 항상 쌍으로 존재합니다.
- 전자가 이동하면, 전자가 떠난 빈자리(종공)는 마치 양전하가 이동하는 것처럼 작용합니다.
- 종공은 실제 입자가 아니라, 전자 부족으로 인해 생긴 효과적인 양전하입니다.
12. HID램프의 종류가 아닌 것은?
① 고압 수은램프
② 고압 옥소램프
③ 고압 나트륨램프
④ 메탈 할라이드램프
HID 램프는 고압 방전을 이용하여 강한 빛을 생성하는 램프입니다. 이 램프는 고효율, 고광량, 긴 수명이 특징이며, 주로 거리 조명, 공장 조명, 스포츠 경기장 조명 등에 사용됩니다.
14. 변압기의 부속품이 아닌 것은?
① 철심
② 권선
③ 부싱
④ 정류자
철심(Core):
- 자속(자기장)을 전달하는 역할을 하며, 효율을 높이기 위해 실리콘강판으로 만듭니다.
권선(Winding):
- 전류가 흐르는 구리선으로, 1차 권선과 2차 권선으로 나뉩니다.
부싱(Bushing):
- 내부 전류를 외부와 연결하는 절연 장치입니다.
절연유(Insulating Oil):
- 열을 제거하고 절연을 돕는 역할을 합니다(대형 변압기에서 사용).
15. 공칭전압 345kV인 경우 현수애자 일련의 개수는?
| 공칭전압(kV) | 현수애자 일련의개수 | 
| 22.9 | 2~3 | 
| 66 | 4 | 
| 154 | 9~11 | 
| 345 | 18~23 | 
| 765 | 38~43 | 
16. 접지 저감제의 구비조건으로 틀린 것은?
접지 저감제는 접지 시스템에서 접지 저항을 낮추기 위해 사용하는 물질입니다. 주로 전기 설비의 안정성과 보호를 위해 사용됩니다. 접지 저감제는 흙과 접지 전극의 접촉 저항을 감소시켜 접지 효과를 향상시킵니다.
접지 저감제는 인체와 환경에 무해하고, 독성이나 폭발성이 없어야 합니다. 장기간 효과가 유지되어야 하며 전류가 잘 흐를 수 있도록 좋은 도체여야 합니다. 또한 전극을 부식시키지 않아야 접지 시스템 수명이 길어지고 안정성을 유지할 수 있습니다.
17. 아크용접기의 2차 전류가 100A 이하일 때 정격 사용률이 50%인 경우 용접용 케이블 또는 기타의 케이블 굵기는 몇 mm2를 시설하여야 하는가?
정격 사용률이 50%라는 것은, 용접기가 10분 동안 5분은 사용되고 5분은 쉬는 상태를 의미합니다.
그냥 외우면 됨
2차전류(A) .......................케이블 굵기(mm^2)
100이하...................................16
150이하.....................................25
250이하.......................................35
400이하.........................................70
600이하.........................................95
18. 플로어 덕트 설치 그림(약식) 중 블랭크 와셔가 사용되어야 할 부분은?

플로어 덕트(Floor Duct) 설치에서 블랭크 와셔(Blank Washer)란, 플로어 덕트의 사용하지 않는 구멍(출구)을 막는 데 사용하는 부품입니다. 이를 통해 불필요한 공간을 차단하고, 덕트 내부의 선을 정리하며, 외부로의 노출을 방지할 수 있습니다.
19. 테이블 탭 에는 단면적 1.5mm2 이상의 코드를 사용하고 플러그를 부속시켜야한다. 이 경우 코드의 최대 길이(m)는?
. 전기기구의 전원선은 단면적이 1.5㎟ 이상의 전선으로 하여야 한다.
. 이동식 전기기구의 전원선은 3m 이하로 하여야 한다.
2018.03.04
1. 정류방식 중 정류 효율이 가장 높은 것은? (단, 저항부하를 사용한 경우이다.)
① 단상 반파방식
② 단상 전파방식
③ 3상 반파방식
④ 3상 전파방식
단상 반파방식: 단상 교류에서 한 주기의 절반만 정류하는 방식으로, 효율이 낮습니다. 출력이 적고, 많은 에너지가 낭비됩니다. 약 40.6%
단상 전파방식: 단상 교류에서 양쪽 주기를 모두 사용해 정류하는 방식입니다. 반파방식보다는 효율이 높지만, 3상 방식보다는 낮습니다. 약 81.2%
3상 반파방식: 3상 교류의 한 주기에서 절반만 정류하는 방식으로, 단상 반파방식보다는 효율이 높지만 여전히 한계가 있습니다. 약 95%
3상 전파방식: 3상 교류를 이용해 모든 주기를 정류하는 방식으로, 가장 높은 효율을 보입니다. 저항 부하를 사용하는 경우, 출력 전압과 전력 손실 면에서 가장 유리합니다. 약 96~98%
2. 전기용접부의 비파괴검사와 관계없는 것은?
① X선 검사
② 자기 검사
③ 고주파 검사
④ 초음파 탐상시험
비파괴검사는 재료나 구조물을 파괴하지 않고 품질이나 결함을 확인하는 검사 방법으로, 주로 X선 검사, Y선 검사, 자기 검사, 초음파 검사, 침투 탐상검사 등이 사용됩니다. 이 방법은 제품의 안전성과 신뢰성을 높이는 데 필수적입니다.
고주파 검사는 일반적으로 통신, 전자기기, 유도 가열 등에 사용되며, 비파괴검사에서 용접부의 결함 탐지 목적으로 사용되지 않습니다. 따라서 비파괴검사와 관계없습니다.
3. 합판 및 비닐막의 접착에 적당한 가열방식은?
① 유도가열
② 적외선가열
③ 직접 저항가열
④ 고주파 유전가열
합판과 비닐막은 열전도율이 낮고 전기가 통하지 않는 절연체입니다. 고주파 유전가열은 이러한 재료의 분자 운동을 유도하여 재료 내부까지 균일하게 가열할 수 있어 접착 효율이 높습니다.
유도가열: 금속처럼 전도성이 높은 물질을 가열하는 데 사용됩니다. 합판이나 비닐막 같은 절연체에는 적합하지 않습니다.
적외선가열: 적외선 복사를 이용해 표면을 가열하는 방식으로, 주로 얇은 표면이나 특정 부위를 빠르게 가열할 때 사용됩니다. 하지만 합판 및 비닐막의 균일한 내부 가열에는 적합하지 않습니다.
직접 저항가열: 전류를 직접 재료에 흘려 내부 저항에 의해 발생하는 열로 가열하는 방식입니다. 주로 금속이나 전도성 재료에 사용되며, 비닐막 같은 비전도성 재료에는 적합하지 않습니다.
고주파 유전가열: 고주파 전기장을 이용하여 비전도성 재료(예: 비닐, 플라스틱, 합판 등) 내부에서 분자의 진동에 의해 열을 발생시키는 방식입니다. 재료의 내부까지 균일하게 가열할 수 있어 접착 작업에 적합합니다.
4. 전지의 자기방전이 일어나는 국부작용의 방지대책으로 틀린 것은?
① 순환전류를 발생시킨다.
② 고순도의 전극재료를 사용한다.
③ 전극에 수은도금(아말감)을 한다.
④ 전해액에 불순물 혼입을 억제시킨다.
순환전류를 발생시킨다:
- 순환전류는 전지 내부에서 불필요한 에너지 손실을 초래하고, 자기방전을 증가시키는 요인이 됩니다. 따라서 자기방전을 방지하기 위해서는 순환전류를 억제해야 하므로 이 선택지는 틀린 대책입니다.
고순도의 전극재료를 사용한다:
- 전극재료에 포함된 불순물은 전지 내부에서 전기화학적 반응을 일으켜 자기방전을 유발할 수 있습니다. 고순도의 전극재료를 사용하면 이러한 문제를 줄일 수 있습니다. 올바른 대책입니다.
전극에 수은도금(아말감)을 한다:
- 전극 표면에 수은도금을 하면 전극의 표면 반응성을 낮추고 불순물로 인한 부식과 반응을 억제할 수 있습니다. 이는 자기방전 방지에 효과적인 방법입니다.
전해액에 불순물 혼입을 억제시킨다:
- 전해액 내 불순물은 자기방전을 유발하는 중요한 원인 중 하나입니다. 불순물을 억제하면 전지의 안정성을 높이고 자기방전을 방지할 수 있습니다. 올바른 대책입니다.
자기방전 (Self-discharge)은 전지를 사용하지 않아도 내부에서 전기가 저절로 소모되는 현상입니다. 이는 전지 내부의 화학적 반응이나 불순물 때문에 발생합니다. 자기방전의 원인으로는 아래와 같습니다.
- 전해액의 불순물: 전해액에 포함된 불순물이 전극과 반응하여 전류가 흐르게 만듭니다.
- 전극 재료의 불순물: 전극 자체의 불순물도 화학 반응을 유발합니다.
- 온도 상승: 높은 온도에서 화학 반응이 빨라져 자기방전이 증가합니다.
국부작용 (Local action) 전지의 사용 여부와 관계없이, 전극 표면에서 발생하는 불필요한 국소적인 화학 반응입니다. 주로 불순물이 전극 표면에서 작은 전지처럼 작동해 전류를 소모시키는 현상입니다.
5. 루소선도가 그림과 같이 표시되는 광원의 하반구 광속은 약 몇 lm인가? (단, 여기서 곡선 BC는 4분원이다.)

왜 하반구는 100*100인지 모르겠음
△ 루소 선도
(1) 광원의 전광속
F = 루소 선도 면적 × (2π)/r[lm]
F = a⦁S(a=상수)
(2) 루소 선도에 의한 광속 계산
① 하반구 광속
F = (2π)/r × S = (2π)/100 × (100×100) = 628[lm]
② 상반구 광속
면적 S = πr²/4 (원의 면적의 1/4)
F = (2π)/r × πr²/4 = 1/2π²r = 493[lm] (r=100)
8. 플라이휠을 이용하여 변동이 심한 부하에 사용되고 가역 운전에 알맞은 속도제어 방식은?
① 일그너 방식
② 워드 래너드 방식
③ 극수를 바꾸는 방식
④ 전원주파수를 바꾸는 방식
플라이휠은 회전 관성을 이용해 에너지를 저장/방출하며, 부하 변동을 줄여주는 장치.
가역 운전은 회전 방향을 자유롭게 바꾸는 운전 방식.
일그너는 독일 엔지니어 이름에서 유래된 속도 제어 기술 방식으로 플라이휠을 활용하여 안정적인 속도 제어와 가역 운전이 가능하게 만든 시스템입니다.
② 워드 래너드 방식:
이 방식은 직류 전동기의 속도를 제어하는데 사용됩니다. 교류 발전기와 직류 발전기를 조합하여 직류 전동기로 안정적인 전원을 공급하고 속도 제어를 가능하게 합니다. 부하 변동에 적응하기는 하지만 플라이휠을 사용하지는 않습니다.
③ 극수를 바꾸는 방식:
이 방식은 모터의 극수(회전 자기장의 수)를 변경하여 속도를 제어합니다. 일반적으로 단순한 속도 제어에는 유용하지만, 부하 변동에 대응하거나 가역 운전에는 적합하지 않습니다.
④ 전원주파수를 바꾸는 방식:
전원 주파수를 변경하여 모터의 속도를 제어하는 방식으로, 주로 인버터를 사용합니다. 정밀한 속도 제어가 가능하지만, 플라이휠 같은 기계적인 부하 안정화는 제공하지 않습니다.
10. 전차의 경제적인 운전방법이 아닌 것은?
① 가속도를 크게 한다.
② 감속도를 크게 한다.
③ 표정속도를 작게 한다.
④ 가속도ㆍ감속도를 작게 한다.
운전방법에 의한 전력소비량 감소
1. 가속도를 크게한다.
가속이 크면 빠른 전류차단 가능
전동기 과부하, 변전소 및 급전선 첨두부하 발생
2. 감속도를 크게 한다.
제동력이 크면 빠른 전류차단 가능
전동기 과부하는 없지만 브레이크의 제동능력과 점착계수가 문제
3. 표정속도를 작게 한다.
표정속도는 전차가 한 구간을 이동하는 데 걸리는 전체 평균 속도를 말합니다. 
동일거리를 장시간 운전(정차시간을 줄이고, 정차장 간의 거리를 늘림)
긴 타행시간, 빠른 전류차단
20. 플로어덕트 배선에 사용하는 절연전선이 연선일 때 단면적은 최소 몇 mm2를 초과하여야 하는가?
플로어덕트(Floor Duct) 배선은 바닥에 설치된 덕트(전선이 지나가는 통로)를 통해 전선을 배치하는 방식입니다. 이 방식은 주로 사무실이나 상업 시설에서 사용되며, 안전성과 효율성을 위해 전선의 최소 단면적 기준이 정해져 있습니다.
① 전선은 절연전선(옥외용 비닐 절연전선을 제외)일 것
② 전선은 연선일 것. 다만, 단면적 10[㎟](알루미늄선을 단면적 16[㎟])은 초과해야 한다.
③ 플로어 덕트 안에는 전선에 접속점이 없도록 할 것. 다만, 전선을 분기하는 경우에 접속점을 쉽게 점
검할 수 있을 때에는 그러하지 아니하다.
연선: 여러 가닥의 가는 전선을 꼬아 만든 형태로, 유연성이 높아 플로어덕트처럼 설치 환경이 복잡한 경우에 적합합니다.
2017.09.23
3. 경사각, 미끄럼 마찰계수 μ의 경사면위에서 중량 M(kg)의 물체를 경사면과 평행하게 속도v(m/s)로 끌어올리는 데 필요한 힘 는?
물체를 끌어올리기 위해서는 중량의 경사면 방향 성분(Mgsinθ)과 마찰력(Mgμcosθ)을 모두 극복해야 합니다.
물체가 경사면 위에 있을 때, 물체의 무게 MgMg (중력)는 항상 아래 방향으로 작용합니다. 하지만 경사면 위에서 힘을 분석하려면, 중력을 경사면과 평행한 방향과 경사면에 수직한 방향으로 나눠서 계산해야 합니다. 이 과정에서 삼각비 sinθ와 cosθ가 사용됩니다.
- 경사면에 평행한 힘 (Mgsinθ)
- 물체가 아래로 미끄러지려는 힘입니다.
- 삼각비에서 sinθ는 경사각 θ에서 대변(평행 방향)의 비율을 나타냅니다.
- 따라서 Mgsinθ 가 평행한 방향의 힘이 됩니다.
 
- 경사면에 수직한 힘 (Mgcosθ)
- 물체를 경사면 쪽으로 누르는 힘입니다.
- 삼각비에서 cosθ는 경사각 θ에서 인접변(수직 방향)의 비율을 나타냅니다.
- 따라서 Mgcosθ 가 수직한 방향의 힘이 됩니다.
 
마찰력은 물체가 표면에 가하는 수직 방향의 힘(즉, Mgcosθ)에 마찰계수 μ를 곱한 값으로 계산됩니다:
5. 반경 r, 휘도가 B 인 완전 확산성 구면 광원의 중심에서 h되는 거리의 점 P에서 이 광원 의 중심으로 향하는 조도의 크기는 얼마인가?
우리는 구 모양의 빛나는 공(구면 광원)이 있다고 생각해 보세요. 이 공의 크기(반경 r)와 얼마나 밝은지(휘도 B)가 주어져 있어요. 그리고, 이 공에서 만큼 떨어진 점에서 빛의 밝기(조도)를 구하려고 하는 거예요.
조도는 얼마나 많은 빛이 특정한 위치에 도달했는지를 나타내는 값이에요.
- 예를 들어, 태양빛이 강하면 땅이 밝고, 조도가 높아요.
- 구에서 나오는 빛이 점점 멀리 퍼지면, 빛이 약해져서 조도는 작아져요.
따라서 πBr²/h²
6. 교류식 전기 철도에서 전압불평형을 경감시키기 위해서 사용하는 변압기 결선방식은?
① Y-결선
② Δ-결선
③ V-결선
④ 스코트 결선
전기철도는 기차를 움직이기 위해 전기를 사용하는데, 전기를 한 방향(단상)으로 사용하는 경우가 많아요. 하지만 우리가 집에서 쓰는 전기나 공장에서 쓰는 전기는 보통 세 방향(삼상)으로 나눠져 있어요. 삼상 전기에서 단상 전기를 쓰면, 한쪽에만 너무 많은 전기가 몰리게 돼요. 이를 "전압 불평형"이라고 해요.
"스코트 결선"은 전기 배분을 공평하게 해주는 특별한 방법이에요. 변압기(전기의 세기를 바꾸는 기계)를 두 개 사용해서 삼상 전기를 단상 전기로 나눠줄 때, 전기가 한쪽으로 몰리지 않게 균형을 맞춰주는 역할을 해요.
다른 방식들(예: Y-결선, Δ-결선)은 삼상 전기에서 사용하는 기본적인 연결 방법이에요. 하지만 전기를 공평하게 나누는 데에는 스코트 결선처럼 특별히 균형을 맞추는 역할을 하지는 못해요.
16. 누전차단기의 동작시간 중 틀린 것은?
① 고감도 고속형: 정격감도전류에서 0.1초 이내
② 중감도 고속형: 정격감도전류에서 0.2초 이내
③ 고감도 고속형: 인체감전보호용은 0.03초 이내
④ 중감도 시연형: 정격감도전류에서 0.1초를 초과하고 2초 이내
| 구분 | 정격 감도 전류[mA] | 동작시간 | |
| 고감도형 | 고속형 | 5 10 15 30 | ⦁ 정격 감도 전류에서 0.1초 이내, 인체 감전 보호용은 0.03초 이내 | 
| 시연형 | ⦁ 정격 감도 전류에서 0.1초 초과하고 2초 이내 | ||
| 반한시형 | ⦁ 정격 감도 전류에서 0.2초 초과하고 1초 이내 ⦁ 정격 감도 전류 1.4배의 전류에서 0.1초를 초과하고 0.5초 이내 ⦁ 정격 감도 전류 4.4배의 전류에서 0.05초 이내 | ||
| 중감도형 | 고속형 | 50, 100, 200, 500, 1000 | ⦁ 정격 감도 전류에서 0.1초 이내 | 
| 시연형 | ⦁ 정격 감도 전류에서 0.1초 초과하고 2초 이내 | ||
| 저감도형 | 고속형 | 3000, 5000, 10000, 20000 | ⦁ 정격 감도 전류에서 0.1초 이내 | 
| 시연형 | ⦁ 정격 감도 전류에서 0.1초 초과하고 2초 이내 | ||
19. 금속관 공사에서 절연부싱을 쓰는 목적은?
① 관의 끝이 터지는 것을 방지
② 관의 단구에서 전선 손상을 방지
③ 박스 내에서 전선의 접속을 방지
④ 관의 단구에서 조영재의 접속을 방지
관: 전선을 보호하는 튜브.
단구: 전선관의 끝부분.
박스: 전선이 모이거나 연결되는 접속함.
조영재: 건물의 기본 구조를 이루는 재료.
절연부싱의 주된 목적은 금속관 끝의 날카로운 부분으로부터 전선의 피복을 보호하는 것입니다
'자격증 > 전기공사기사' 카테고리의 다른 글
| [전기기사][전기공사기사] 암기 (0) | 2025.02.26 | 
|---|---|
| [전기공사기사] 4과목. 회로이론 및 제어공학 (0) | 2025.01.31 | 
| [전기공사기사] 3과목. 전기기기 (0) | 2025.01.30 | 
| [전기공사기사] 2과목. 전력공학 (0) | 2025.01.22 |